VIII. Метод расчета максимальных разовых концентраций ЗВ в атмосферном воздухе выбросами групп точечных, линейных и площадных источников выбросов
VIII. Метод расчета максимальных разовых концентраций ЗВ
в атмосферном воздухе выбросами групп точечных, линейных
и площадных источников выбросов
8.1. Приземная концентрация ЗВ c в фиксированной точке местности при наличии группы источников выбросов определяется как сумма концентраций данного вещества от отдельных источников выброса при заданных направлении и скорости ветра:
где c1, c2, ..., cN - концентрации ЗВ соответственно от первого, второго, ..., N-го источников выбросов, расположенных с наветренной стороны при рассматриваемом направлении ветра.
Максимальная разовая концентрация ЗВ cм в фиксированной точке местности при наличии группы источников выбросов определяется как максимальное значение концентраций ЗВ, рассчитанных в этой точке при различных сочетаниях скоростей и направлений ветра. При этом скорости ветра варьируются в диапазоне от 0,5 м/с до своего максимального расчетного значения uм.р (определяется согласно пункту 5.11 настоящих Методов).
Учет влияния рельефа местности и совокупности зданий, строений и сооружений на рассматриваемой территории (далее - застройка) при необходимости осуществляется в соответствии с главами VII и IX настоящих Методов.
В случаях, когда известно, что имеются неучтенные источники выброса того же вещества, в правой части формулы (49) добавляется слагаемое c'Ф, характеризующее фоновое загрязнение атмосферного воздуха от неучтенных источников выброса. Расчет c'Ф проводится в соответствии с главой IX настоящих Методов.
При установлении неблагоприятных условий выброса ЗВ в атмосферный воздух и подготовке исходных данных для расчета концентраций ЗВ должна учитываться нестационарность мощностей и других параметров выброса источников выбросов и их совокупностей (в течение суток, года, технологических циклов). Как и для одиночного источника выброса, при расчетах приземных концентраций ЗВ выбросами группы источников принимается наиболее неблагоприятное сочетание значений Mi и V1i, реально осуществляющееся для всех рассматриваемых источников выброса одновременно.
Допускается в целях ускорения и упрощения расчетов сократить количество рассматриваемых источников выброса путем их объединения (особенно мелких источников) в отдельные виртуальные источники выбросов, то есть во вспомогательные источники выброса или совокупность вспомогательных источников выбросов, которые вводятся для расчета характеристик распространения ЗВ от рассматриваемого источника выброса (как указано в пункте 8.8 настоящих Методов).
8.2. Максимальная суммарная концентрация cм ЗВ от N расположенных близко одиночных точечных источников выбросов, имеющих одинаковые значения высоты, диаметра устья, скорости выхода в атмосферный воздух и температуры ГВС, определяется по формуле (50):
где M - суммарная мощность выброса ЗВ из N рассматриваемых источников выброса, г/с;
V - определяемый по формуле (51) суммарный расход выбрасываемой всеми источниками ГВС, м3/с.
Формула (5) преобразуется к виду (52):
В остальном схема расчета концентраций ЗВ, обусловленных выбросами от группы близко расположенных одинаковых точечных источников выброса, не отличается от приведенной в главе V настоящих Методов схемы расчета для одиночного источника выброса.
При расчетах концентраций ЗВ на промплощадке и за ее пределами источники выброса могут рассматриваться, как близко расположенные, если максимальное расстояние между ними не превосходит, соответственно, Lзв или 0,25 · lmin, где Lзв определено в пункте 9.1.5 настоящих Методов, а lmin - минимальное расстояние от центра тяжести точек размещения источников выброса до расчетных точек за пределами промплощадки.
8.3. Для расчета концентраций ЗВ, обусловленных выбросами из близко расположенных одинаковых точечных источников выбросов, когда
или параметр f
100, мощность M принимается равной суммарной мощности выброса из всех источников, значение V1 определяется по формуле (53а):
а формула (12) преобразуется к виду (53б):
Далее расчет производится с использованием формул, приведенных в главе V настоящих Методов, для одиночного источника выброса.
8.4. Максимальная приземная концентрация ЗВ cм при выбросах через многоствольную трубу (N стволов) рассчитывается по формулам (54а) - (54б):
где l - среднее расстояние между центрами устьев стволов, определяемое как среднее арифметическое из всех расстояний между парами различных устьев, м;
d2 - безразмерный коэффициент, определяемый по формулам (108а), (108б);
- максимальная приземная концентрация ЗВ, определяемая по формуле (3) при параметрах выброса для одного ствола и при мощности выброса M, равной суммарной мощности выброса из всех стволов;
- максимальная приземная концентрация ЗВ, рассчитываемая по формуле (3) при следующих условиях:
- мощность M равна суммарной мощности выброса из всех стволов,
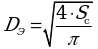
- диаметр D равен эффективному диаметру Dэ, источника выброса, который определяется по формуле (55):
- расход выходящей ГВС V1 равен эффективному расходу V1Э, вычисленному по формуле (33);
d1 - безразмерный коэффициент, определяемый по формуле (56):
В формуле (56) D - диаметр устья одного ствола.
Расстояние xм, на котором достигается максимальная концентрация ЗВ cм, определяется по формулам (57а) - (57б):
где
- расстояние, соответствующее максимальной концентрации ЗВ
, определяемое по формуле (15) при параметрах выброса для одного ствола;
- расстояние, соответствующее максимальной концентрации ЗВ
, определяемое по формуле (15) с учетом D = Dэ, V = V1э.
Опасная скорость ветра uм вычисляется по формулам (58а) - (58б):
где
- опасная скорость ветра, соответствующая максимальной концентрации ЗВ
и определяемая по формулам (18) и (19) при параметрах выброса для одного ствола;
- опасная скорость ветра, соответствующая максимальной концентрации ЗВ
и определяемая по формулам (18) и (19) с учетом D = Dэ, V = V1э.
В остальном расчет производится, как для одиночного источника выброса.
Если многоствольная труба представляет собой трубу, разделенную на секторы, то есть состоит из стволов секторной формы, то расчеты выполняются так же, как для одноствольной трубы при V = V1э (формула (33) и D = Dэ:
где Sс - суммарная площадь устьев всех действующих стволов.
В случае, когда температура Tг и скорость выхода w0 ГВС для отдельных стволов различаются между собой, для расчетов принимаются их средневзвешенные значения, причем веса принимаются равными расходам ГВС для отдельных стволов.
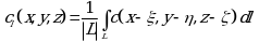
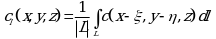
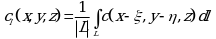
8.5. Концентрация cl ЗВ от линейного источника выброса, расположенного вдоль отрезка L трехмерной кривой, рассчитывается по формуле (60):
где |L| - длина указанного отрезка, и интеграл вычисляется вдоль этого отрезка;
- концентрация ЗВ, создаваемая в расчетной точке (x, y, z) точечным источником выброса, находящимся в точке
отрезка L. При этом в расчетных точках, находящихся с наветренной стороны от источника выброса, значение подынтегральной функции в формуле (60) принимается равным нулю.
В частном случае линейного источника выброса, расположенного на подстилающей поверхности, cl рассчитывается по формуле (61):
Подынтегральные функции в формулах (60) и (61) вычисляются по формулам, приведенным в главах V - VII настоящих Методов, с использованием суммарного выброса от всего рассматриваемого источника выброса.
В случае выбросов от аэрационного фонаря подынтегральная функция в формулах (60) и (61) рассчитывается с использованием суммарной мощности выброса и эффективного диаметра, определяемого по формуле (37).
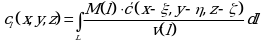
Если линейным источником выброса аппроксимируются выбросы от точечного источника мощности M(t), который за время осреднения перемещается с положительной скоростью v(t), м/с, вдоль отрезка L, то концентрация cl ЗВ вычисляется по формуле (62):
где M(l) и v(l) - значения M(t) и v(t), соответствующие тому моменту времени t, когда перемещающийся источник выброса находится в точке
<6>, а c' - вычисленная по формулам, приведенным в настоящих Методах, концентрация в точке (x, y, z) от одиночного источника выброса ЗВ единичной мощности, располагающегося в точке
.
--------------------------------
<6> Подынтегральная функция в формулах (60) - (62) отлична от нуля в точках отрезка L, координаты которых по оси x отрицательны в декартовой системе координат с началом в расчетной точке и осью x, направленной по направлению ветра.
Участки отрезка L, на которых скорость v(l) < 0,01 м/с, исключаются из области интегрирования в формуле (62) и каждый из них заменяется на точечный источник, мощность выброса которого равна мощности выброса от соответствующего участка.
Для тех участков отрезка L, на которых скорость v(l) < 0, направление интегрирования в формуле (62) изменяется на противоположное с одновременным изменением знака скорости.
Погрешность численного интегрирования при расчете концентраций ЗВ от линейного источника выброса по формулам (60) - (62) не должна превышать 3% во всех расчетных точках.
Для линейного источника, мощность выброса которого изменяется от точки к точке, подынтегральная функция в формулах (60) - (62) умножается на функцию
, описывающую изменчивость мощности выброса вдоль рассматриваемого источника по отношению к ее характерному значению, применяемому при расчете концентрации c ЗВ.
8.6. Концентрация cS ЗВ от источника, выбрасывающего ЗВ в атмосферный воздух с установленной ограниченной поверхности (далее - площадной источник выброса), занимающего область S площадью Sп, рассчитывается по формуле (63):
где
- концентрация ЗВ, создаваемая в расчетной точке (x, y) точечным источником выброса, находящимся в точке
области S, и интеграл в формуле (63) вычисляется по этой области.
Подынтегральная функция в формуле (63) вычисляется по формулам, приведенным в главах V - VII настоящих Методов, с использованием суммарного выброса от всего площадного источника выброса. При этом в расчетных точках, находящихся с наветренной стороны от источника, ее значение принимается равным нулю.
Для площадного источника, мощность выброса которого изменяется от точки к точке, подынтегральную функцию в формуле (63) следует умножить на функцию
, характеризующую изменение удельной мощности выброса в точках рассматриваемого источника по отношению к характерному значению этой удельной мощности, применяемому при расчете концентрации c ЗВ в отсутствии учета функции
.
Алгоритмы интегрирования должны обеспечивать вычисление концентраций ЗВ во всех расчетных точках по формуле (63) с погрешностью не более 3% <7>.
--------------------------------
<7> Допускается вычисление интеграла в формуле (63) настоящих Методов путем представления площадного источника в виде совокупности одинаковых точечных источников, если при этом погрешность вычисления интеграла не превышает 3%.
8.7. Концентрация cV ЗВ от расположенного вблизи подстилающей поверхности источника, выбрасывающего ЗВ в установленном ограниченном объеме (далее - объемный источник выброса), занимающего область V объемом |V|, рассчитывается по формуле (64):
где подынтегральная функция вычисляется по формулам, приведенным в главах V - VIII настоящих Методов.
Алгоритмы интегрирования должны обеспечивать вычисление концентраций ЗВ во всех расчетных точках по формуле (64) с погрешностью не более 3%.
Для объемного источника, мощность выброса которого изменяется от точки к точке, подынтегральная функция в формуле (64) умножается на функцию
, описывающую изменение удельной мощности выброса в точках рассматриваемого источника выброса по отношению к ее характерному значению, применяемому при расчете концентрации c ЗВ.
8.8. С целью сокращения объема вычислений и облегчения анализа их результатов допускается представление совокупности большого числа однотипных источников выбросов, а также рассредоточенных по территории источников неорганизованного выброса, как площадных источников выбросов. Площадными источниками выброса могут аппроксимироваться такие источники, как резервуарные парки предприятий, совокупности мелких бытовых котельных и труб печного отопления в городах, а также группы низких вентиляционных источников выбросов предприятия (при расчетах рассеивания выбросов от указанных источников для участков, расположенных за пределами санитарно-защитной зоны предприятия). Кроме того, площадными источниками могут аппроксимироваться выбросы от автостоянок, мест открытого складирования пылящих материалов или отходов, водоемов, с поверхности которых испаряются вредные вещества, выбросы от автомагистралей.
Группа распределенных по площади точечных источников выброса может быть объединена в площадной источник, если их не менее 20, и расстояние от каждого источника до ближайшего соседнего источника отличается не более чем на 10% от среднего по всем объединяемым источникам расстояния от каждого из них до четырех ближайших соседних источников. Кроме того, для каждого из объединяемых источников такие параметры выброса, как высота (H) и диаметр устья (D), температура (Tг) и скорость выхода (w0) газовоздушной смеси из устьев источников выброса, отличаются от их средних значений по объединяемой группе не более, чем на 10%. При выполнении этих условий расчет загрязнения атмосферного воздуха должен производиться с использованием средних по объединяемой группе значений параметров выброса. При большем разбросе указанных параметров группа источников выброса представляется несколькими площадными источниками выброса с более близкими значениями этих параметров.
Группа точечных источников выбросов может также объединяться в виртуальный точечный источник с мощностью выброса, равной суммарной мощности этих источников, если такие их параметры выброса, как высота H и диаметр D устья, температура Tг и скорость выхода w0 ГВС из устьев источников, удовлетворяют приведенному в данном пункте критерию близости, а максимальное расстояние между любыми парами объединяемых источников выброса, по крайней мере, в 10 раз меньше, чем расстояние от центра масс объединяемых источников до ближайшей к нему расчетной точки, в которой вычисляется концентрация от указанного виртуального источника. При большем разбросе указанных параметров выброса группа источников выбросов может при необходимости представляться в виде совокупности нескольких виртуальных источников с использованием этого же критерия для каждого виртуального источника.
По примесям, которым соответствует значение безразмерного коэффициента F = 1, допускается также объединение произвольных точечных источников выброса в единый виртуальный источник, при условии, что максимальное расстояние между любыми парами объединяемых источников, по крайней мере, в 10 раз меньше, чем расстояние от центра масс объединяемых источников выброса до ближайшей к нему расчетной точки. Мощность выброса объединенного источника равна суммарной мощности этих источников, а параметры выброса объединенного источника, такие, как высота H и диаметр D устья, температура Tг и скорость выхода w0 ГВС из устьев источника, приняты их минимальными значениями для источников объединяемой группы.
8.9. Для совокупности источников выбросов отдельных предприятий рассчитываются зоны влияния, включающие в себя круги радиусом x1, равным 10 · xм, проведенные вокруг каждого из основных источников выброса (труб или других источников) предприятия, и участки местности, где рассчитанная по формуле (49) суммарная концентрация ЗВ от всей совокупности источников данного предприятия, включая источники низких и неорганизованных выбросов, превышает 0,05 · ПДКм.р.
Зоны влияния должны рассчитываться по каждому ЗВ (группе ЗВ комбинированного вредного действия) отдельно.
8.10. Размеры расчетной области, общее количество узлов и шаги расчетной сетки должны соответствовать размерам зоны влияния рассматриваемой совокупности источников выбросов. Погрешность вычисленных суммарных концентраций ЗВ в узлах задаваемой регулярной сетки точек, а также в дополнительно заданных промежуточных точках не должна превышать 3%. При известном точном решении погрешность вычисления суммарных концентраций определяется путем сопоставления результатов вычислений с указанным точным решением. Если точное решение неизвестно, то погрешность определяется путем сопоставления результатов вычисления суммарных концентраций с уточненными результатами вычислений. Уточненные результаты вычислений определяются путем проведения последовательных расчетов этих суммарных концентраций с измельчением на каждом шагу в два раза параметров, определяющих погрешность вычислений (шагов интегрирования, используемых при вычислении интегралов, шагов перебора аргументов, по которым ищется экстремум в выражении для суммарных концентраций). Такое измельчение продолжается до тех пор, пока различие в последовательных значениях суммарных концентраций не станет меньше 0.3% при значениях суммарной концентрации, соответственно, более 0.05 ПДКмр или 0.05 ПДКсс. Для расчетных точек, в которых указанные условия не выполняются, уточненное решение определяется из требования, чтобы различие в последовательных значениях суммарных концентраций было, соответственно, меньше 0.00015 ПДКмр или 0.00015 ПДКсс.
- Гражданский кодекс (ГК РФ)
- Жилищный кодекс (ЖК РФ)
- Налоговый кодекс (НК РФ)
- Трудовой кодекс (ТК РФ)
- Уголовный кодекс (УК РФ)
- Бюджетный кодекс (БК РФ)
- Арбитражный процессуальный кодекс
- Конституция РФ
- Земельный кодекс (ЗК РФ)
- Лесной кодекс (ЛК РФ)
- Семейный кодекс (СК РФ)
- Уголовно-исполнительный кодекс
- Уголовно-процессуальный кодекс
- Производственный календарь на 2025 год
- МРОТ 2026
- ФЗ «О банкротстве»
- О защите прав потребителей (ЗОЗПП)
- Об исполнительном производстве
- О персональных данных
- О налогах на имущество физических лиц
- О средствах массовой информации
- Производственный календарь на 2026 год
- Федеральный закон "О полиции" N 3-ФЗ
- Расходы организации ПБУ 10/99
- Минимальный размер оплаты труда (МРОТ)
- Календарь бухгалтера на 2026 год
- Частичная мобилизация: обзор новостей
- Постановление Правительства РФ N 1875
, (50)
. (52)
, (53а)
. (53б)
, (54а)
, (54б)
, (55)
. (56)
, (57а)
, (57б)
, (58а)
, (58б)
, (59)
, (60)
. (61)
, (62)
, (63)
, (64)