Методы, утвержденные данным документом, введены в действие с 1 января 2018 года.

V. Метод расчета максимальных разовых концентраций от выбросов одиночного точечного источника

V. Метод расчета максимальных разовых концентраций

от выбросов одиночного точечного источника

5.1. Положения данной главы используются при расчетах рассеивания выбросов от дымовых труб, вентиляционных шахт, а также от источников организованного выброса загрязняющих атмосферный воздух веществ из установленных отверстий (далее - от точечных источников выброса) при условии, что скорость w0 выхода газовоздушной смеси (далее - ГВС) из устья источника выброса не превосходит скорости звука в атмосферном воздухе (в целях данных Методов принимается равной 330 м/с), а температура Tг ГВС не превышает 3000 °C. В случаях несоблюдения этих условий расчет производится на основе главы XII настоящих Методов.

5.2. Максимальная приземная разовая концентрация ЗВ cм, мг/м3, при выбросе ГВС из одиночного точечного источника с круглым устьем достигается при опасной скорости ветра uм на расстоянии xм от источника выброса и определяется по формуле (3):

Рисунок 4, (3)

где A - коэффициент, зависящий от температурной стратификации атмосферы, определяющий условия горизонтального и вертикального рассеивания ЗВ в атмосферном воздухе;

M - масса ЗВ, выбрасываемого в атмосферный воздух в единицу времени (мощность выброса), г/с;

F - безразмерный коэффициент, учитывающий скорость оседания ЗВ (газообразных и аэрозолей, включая твердые частицы) в атмосферном воздухе;

m и n - безразмерные коэффициенты, учитывающие условия выброса из устья источника выброса;

Рисунок 5 - безразмерный коэффициент, учитывающий влияние рельефа местности (определяемый в соответствии с главой VII настоящих Методов);

H - высота источника выброса, м;

V1 - расход ГВС, определяемый по формуле (4), м3/с;

Рисунок 6 - разность между температурой выбрасываемой ГВС Tг и температурой атмосферного воздуха Tв, °C.

Рисунок 7, (4)

где D - диаметр устья источника выброса, м;

w0 - средняя скорость выхода ГВС из устья источника выброса, м/с.

5.3. Значения коэффициента A, соответствующего неблагоприятным метеорологическим условиям, при которых разовые концентрации ЗВ в атмосферном воздухе достигают максимальных значений, даны в Приложении N 2 к настоящим Методам.

5.4. Мощности M выброса, высоты источников H, диаметры устьев D, температуры Tг и расходы V1 ГВС при проектировании предприятий должны определяться расчетом в технологической части проекта (для проектируемых, вводимых в эксплуатацию построенных и реконструированных объектов), а для действующих производств должны определяться по результатам инвентаризации стационарных источников выбросов вредных (загрязняющих) веществ в атмосферный воздух.

При расчете максимальных разовых концентраций принимаются сочетания при времени осреднения 20 - 30 мин значений M и V1, реально возможные в течение года при безаварийных условиях эксплуатации предприятия, при которых достигается максимальная концентрация cм ЗВ.

Способ определения зависимости мощности выброса M от скорости ветра определяется методикой расчета выбросов вредных (загрязняющих) веществ в атмосферный воздух стационарными источниками выброса <3>. При этом учет зависимости мощности выброса M от скорости ветра осуществляется с помощью соответствующего множителя, который включается в формулу (20), а максимальная приземная концентрация ЗВ и опасная скорость ветра определяются прямым перебором скоростей. При расчете среднегодовых концентраций аналогичный множитель включается в формулу (117).

--------------------------------

<3> Правила разработки и утверждения методик расчета выбросов вредных (загрязняющих) веществ в атмосферный воздух стационарными источниками, утвержденные постановлением Правительства Российской Федерации от 16.05.2016 N 422 (Собрание законодательства Российской Федерации, 2016, N 21, ст. 3018).

В случае, если в методике расчета выбросов вредных (загрязняющих) веществ отсутствует способ определения зависимости мощности выброса M от скорости ветра, мощность выброса задается постоянным значением, которое при расчете максимальных концентраций принимается согласно требованиям данного пункта, а при расчете среднегодовых концентраций - согласно требованиям пункта 10.1.4.2 настоящих Методов.

5.5. При определении величины Рисунок 8 для предприятий, работающих по сезонному графику, допускается принимать значения расчетной температуры окружающего атмосферного воздуха Tв равными средним месячным температурам воздуха за самый холодный месяц по СП 131.13330.2012 Свод правил. "Актуализированная редакция СНиП 23-01-99 Строительная климатология" <4>.

--------------------------------

<4> Перечень национальных стандартов и сводов правил (частей таких стандартов и сводов правил), в результате применения которых на обязательной основе обеспечивается соблюдение требований Федерального закона "Технический регламент о безопасности зданий и сооружений", утвержденный постановлением Правительства Российской Федерации от 26.12.2014 N 1521 (Собрание законодательства Российской Федерации, 2015, N 2, ст. 465, N 40, ст. 5568,2016, N 50, ст. 7122).

Для остальных источников выбросов расчетная температура Tв принимается равной средней максимальной температуре воздуха наиболее теплого месяца года по СП 131.13330.2012 Свод правил. "Актуализированная редакция СНиП 23-01-99 Строительная климатология".

5.6. Значение безразмерного коэффициента F приведено в Приложении N 2 к настоящим Методам.

5.7. Коэффициенты m и n определяются в зависимости от характеризующих свойства источника выброса параметров vм, v'м, f и fе:

Рисунок 9, (5)

Рисунок 10, (6)

Рисунок 11, (7)

Рисунок 12. (8)

Коэффициент m определяется по формулам (9а) - (9б):

Рисунок 13, (9а)

Рисунок 14. (9б)

Для fе < f < 100 коэффициент m вычисляется при f = fе.

Коэффициент n при f < 100 определяется по формулам (10а) - (10в):

n = 4,4 · vм при vм < 0,5, (10а)

Рисунок 15, (10б)

n = 1 при vм Рисунок 16 2. (10в)

При f Рисунок 17 100 или Рисунок 18 коэффициент n вычисляется согласно пункту 5.8 настоящих Методов.

5.8. Для f Рисунок 19 100 (или Рисунок 20) и Рисунок 21 (холодные выбросы) при расчете cм вместо формулы (3) используется формула (11):

Рисунок 22, (11)

где

Рисунок 23, (12)

причем n определяется по формулам (10а - 10в) при Рисунок 24.

Аналогично при f < 100 и vм < 0,5 или f Рисунок 25 100 и Рисунок 26 (случаи предельно малых опасных скоростей ветра) расчет cм производится по формуле (13):

Рисунок 27, (13)

где

m' = 2,86 · m при vм < 0,5, (14а)

Рисунок 28. (14б)

Формула (13) при m' = 0,9 применяется также при расчете концентраций ЗВ для источников выбросов, у которых вертикальная составляющая скорости поступающей в атмосферу газовоздушной смеси не превышает 0,01 м/с, а давление в ней, ее плотность и температура отличаются от соответствующих характеристик атмосферного воздуха не более, чем на 0,01% (далее - источник выбросов фиксированной высоты) H при Рисунок 29 и Рисунок 30 <5>.

--------------------------------

<5> Формулы (11) и (13) являются предельными случаями общей формулы (3).

5.9. Расстояние xм от источника выброса, на котором приземная концентрация c ЗВ при неблагоприятных метеорологических условиях достигает максимального значения cм, определяется по формуле (15):

Рисунок 31, (15)

Безразмерный коэффициент d при f < 100 находится по формулам (16а) - (16в)

Рисунок 32, (16а)

Рисунок 33, (16б)

Рисунок 34. (16в)

При f Рисунок 35 100 или Рисунок 36 коэффициент d находится по формулам (17а) - (17в):

Рисунок 37, (17а)

Рисунок 38, (17б)

Рисунок 39. (17в)

Для источника выброса фиксированной высоты H при Рисунок 40 и Рисунок 41 значение xм принимается равным 5,7 · H.

5.10. Опасная скорость ветра uм на стандартном уровне флюгера (10 м от уровня земли), при которой достигается наибольшая приземная концентрация ЗВ cм, в случае f < 100 определяется по формулам (18а - 18в):

uм = 0,5 при vм Рисунок 42 0,5, (18а)

uм = vм при 0,5 < vм Рисунок 43 2, (18б)

Рисунок 44. (18в)

При f Рисунок 45 100 или Рисунок 46 значение uм вычисляется по формулам (19а - 19в):

Рисунок 47, (19а)

Рисунок 48, (19б)

Рисунок 49. (19в)

Для источника выброса фиксированной высоты H при Рисунок 50 и Рисунок 51 принимается uм = 0,5 м/с.

5.11. Максимальная приземная концентрация ЗВ cм.u при неблагоприятных метеорологических условиях и скорости ветра u, отличающейся от опасной скорости ветра uм, определяется по формуле (20):

cм.u = r · cм, (20)

где r - безразмерная величина, определяемая по формулам (21а - 21б):

Рисунок 52, (21а)

Рисунок 53. (21б)

При проведении расчетов следует использовать значения скорости ветра u в диапазоне от 0,5 м/с до uм.р, где uм.р - максимальная расчетная скорость ветра, значение которой в данной местности в среднем многолетнем режиме превышается в 5% случаев (пункт 4.6 настоящих Методов).

5.12. Расстояние от источника выброса xм.u., на котором при скорости ветра и и неблагоприятных метеорологических условиях достигается максимальная приземная концентрация cм.u ЗВ, определяется по формуле (22):

xм.u = p · xм, (22)

где p - безразмерный коэффициент, определяемый по формулам (23а - 23в):

Рисунок 54, (23а)

Рисунок 55, (23б)

Рисунок 56. (23в)

5.13. При опасной скорости ветра xм приземная концентрация ЗВ c в атмосферном воздухе на оси факела от точечного источника, определяемой как геометрическое место точек в пространстве, которые на каждом заданном расстоянии от источника соответствуют максимальному значению концентрации ЗВ, а также как их проекция на подстилающую поверхность (то есть на взаимодействующую с атмосферой поверхности земли, в том числе, почву, поверхностные воды, снежный и растительный покров), на различных расстояниях x от источника выброса вычисляется по формуле (24):

c = s1 · cм, (24)

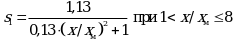
где s1 - безразмерный коэффициент, определяемый в зависимости от отношения x/xм и коэффициента F по формулам (25а - 25е):

s1 = 3 · (x/xм)4 - 8 · (x/xм)3 + 6 · (x/xм)2 при x/xм Рисунок 57 1, (25а)

Рисунок 58, (25б)

Рисунок 59, (25в)

Рисунок 60, (25г)

s1 = 144,3 · (x/xм)-7/3 при x/xм > 100 и F Рисунок 61 1,5, (25д)

s1 = 37,76 · (x/xм)-7/3 при x/xм > 100 и F > 1,5. (25е)

Для наземных и низких источников выброса (высотой H не более 10 м) при x/xм < 1 величина s1 в формуле (24) заменяется на величину Рисунок 62, определяемую по формуле (26):

Рисунок 63 (26)

Аналогично определяется концентрация ЗВ на различных расстояниях по оси факела при неблагоприятных метеорологических условиях и других скоростях ветра Рисунок 64. Сначала по формулам (20) и (22) определяются величины cм.u и xм.u, соответственно. Затем в зависимости от отношения x/xм. определяется значение s1 по формулам (25а) - (25е) и (26). Искомая концентрация c ЗВ определяется путем умножения cм.u на s1.

5.14. Приземная концентрация ЗВ в атмосферном воздухе cy на расстоянии y по нормали к оси факела выброса определяется по формуле (27):

cy = s2 · c, (27)

где s2 - безразмерный коэффициент, определяемый по формуле (28):

Рисунок 65, (28)

где

Рисунок 66, (29а)

Рисунок 67. (29б)

5.15. Расчеты распределения максимальных разовых концентраций cz ЗВ на разных высотах z > 2 м над подстилающей поверхностью (пункт 5.13 настоящих Методов) по формулам, приведенным в данном пункте, проводятся для таких расчетных точек, на которых на значения концентрации не влияют ветровые тени близлежащих зданий и сооружений (глава IX настоящих Методов). В частности, такие расчеты производятся при выборе положения устьев воздухозаборных труб и шахт и других объектов, расположенных на открытых участках местности или на участках, где максимальная высота зданий (сооружений) не менее чем в 2,5 раза ниже высоты воздухозабора при условии, что источники выбросов не располагаются в зоне затишья и/или нарушенного ветрового потока, образующейся на подветренной стороне здания (сооружения) (зона подветренной тени), с наветренной стороны (зона наветренной тени или зона подпора), на крыше (зона крышной тени) или между зданиями (зона межкорпусной тени) (далее - ветровая тень зданий и сооружений). В остальных случаях расчет проводится в соответствии с положениями главы IX настоящих Методов.

Для одиночного источника выброса высотой H концентрации cz ЗВ рассчитываются по формуле (30):

Рисунок 68, (30)

где Рисунок 69, Рисунок 70 - вычисляемые по формулам, приведенным в данной главе, при x > 0 приземные концентрации ЗВ от точечных источников выбросов, высоты которых равны H1 = |H - z + 2| и H2 = H + z - 2, соответственно. Остальные параметры выброса рассматриваемого источника выброса (M, D, w0, Tг) сохраняются неизменными.

При H < 2 или при H1 < 2 в (30), соответственно, принимается H = 2 или H1 = 2 (пункт 4.4 настоящих Методов); аналогично, при z < 2 принимается z = 2. При этом расчет концентраций в нижнем двухметровом слое проводится по формулам, приведенным в пунктах 5.1 - 5.14 настоящих Методов.

Расчеты по формуле (30) проводятся на расстояниях x от точечного источника выброса, удовлетворяющих условию x > 10D, где D - диаметр устья источника выброса (пункт 5.2 настоящих Методов); при проведении расчетов используются значения скорости ветра u в диапазоне от 0,5 м/с до uм.р, где uм.р - максимальная расчетная скорость ветра (пункт 5.11 настоящих Методов).

5.16. Расчеты рассеивания выбросов для источников выбросов с прямоугольными устьями (шахт) производятся по формулам, приведенным в данной главе, при значениях D = DЭ и V1 = V и принятии w0 как средней скорости выхода ГВС в атмосферный воздух.

Средняя скорость w0 выхода ГВС в атмосферный воздух определяется по формуле (31):

Рисунок 71, (31)

где Lуст - длина устья, м;

b - ширина устья, м.

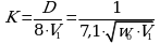
Эффективный диаметр устья DЭ, м, определяется по формуле (32):

Рисунок 72. (32)

Для источника выброса с квадратным устьем (Lуст = b) эффективный диаметр DЭ равняется длине стороны квадрата.

Эффективный расход выходящей в атмосферный воздух в единицу времени ГВС V, м3/с определяется по формуле (33):

Рисунок 73. (33)

В остальном расчет рассеивания выбросов производится так же, как для выбросов из источника выброса с круглым устьем.

5.17. Для каждого источника выброса радиус зоны влияния рассчитывается как наибольшее из двух расстояний от источника выброса x1 и x2, где x1 = 10 · xм, а величина x2 определяется как расстояние от источника выброса, начиная с которого c Рисунок 74 0,05 · ПДКм.р.