6.1. Нормативное соотношение собственных средств (капитала) и принятых обязательств страховщика (НС) (далее - нормативное соотношение) рассчитывается по формуле:
К - величина собственных средств (капитала), определяемая в соответствии с пунктом 1.1 настоящего Положения;
СЗ - остаточная стоимость полученных страховой организацией субординированных займов, определяемая в соответствии с требованиями пункта 6.2 настоящего Положения;
МРУК - минимальный размер уставного капитала страховой организации, определенный в соответствии с пунктом 3 статьи 25 Закона Российской Федерации "Об организации страхового дела в Российской Федерации", либо минимальный размер собственных средств (капитала) общества взаимного страхования в соответствии с пунктом 3.2 статьи 25 Закона Российской Федерации "Об организации страхового дела в Российской Федерации";
НРМП - нормативный размер маржи платежеспособности, определяемый в соответствии с пунктом 6.3 настоящего Положения;
РК - величина оценки влияния рисков на собственные средства (капитал), определяемая в соответствии с пунктами 6.4 и 6.5 настоящего Положения;
ОР - оценка операционного риска, определяемая в соответствии с пунктом 6.6 настоящего Положения.
6.2. Остаточная стоимость полученных страховой организацией субординированных займов определяется по формуле:
ЧТ - число непогашенных траншей субординированных займов, полученных страховой организацией;
Дi - непогашенная номинальная стоимость (сумма) i-го транша субординированного займа;
Ni - количество полных месяцев до даты погашения i-го транша субординированного займа (0 - в течение первых 3 месяцев с даты привлечения).
Страховая организация определяет подлежащие учету при расчете нормативного соотношения полученные ею субординированные займы и величину, в которой соответствующий субординированный заем подлежит учету, во внутреннем документе.
6.3. Показатель НРМП равен сумме нормативного размера маржи платежеспособности по страхованию жизни и нормативного размера маржи платежеспособности по страхованию иному, чем страхование жизни.
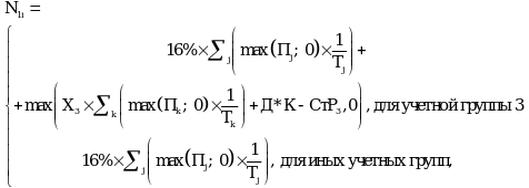
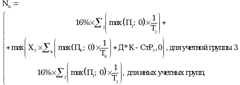
6.3.1. Нормативный размер маржи платежеспособности страховой организации по страхованию жизни (Nж) определяется по формуле:
i, j - индексы суммирования, принимающие значение от 1 до 5;
ТКi(j) - оценка i(j)-го риска, учитываемого при расчете нормативного размера маржи платежеспособности по страхованию жизни по видам риска i(j):
риск смертности (ТКсмертность);
риск долголетия (ТКдолголетие);
риск расходов на ведение дела (ТКрасходы);
риск досрочного прекращения договоров страхования или изменения их условий (ТКпрекращение);
риски по учетной группе 21 (ТКпрочие риски) (далее - прочие риски);
коррi,j - значение коэффициента корреляции между видами рисков i и j в соответствии с таблицей 22 приложения 2 к настоящему Положению.
6.3.1.1. Оценка риска смертности (ТКсмертность) определяется по формуле:
i - договор страхования, отнесенный к учетным группам 18 - 20 в соответствии с подпунктом 5.1.4 пункта 5.1 настоящего Положения, для которого величина
положительна;
- разность между определенными актуарием на расчетную дату по договору страхования i величиной ДПП, рассчитанной с учетом предположения о вероятности наступления смерти, увеличенной на 8 процентов относительно примененной для расчета величины ДПП вероятности наступления смерти, и величиной ДПП. При этом вероятность наступления смерти не может быть больше единицы.
6.3.1.2. Оценка риска долголетия (ТКдолголетие) определяется по формуле:
i - договор страхования, отнесенный к учетным группам 18 - 20 в соответствии с подпунктом 5.1.4 пункта 5.1 настоящего Положения, для которого величина
положительна;
- разность между определенными актуарием на расчетную дату по договору страхования i величиной ДПП, рассчитанной с учетом предположения о вероятности наступления смерти, уменьшенной на 7 процентов относительно примененной для расчета величины ДПП вероятности наступления смерти, и величиной ДПП. При этом вероятности наступления смерти для возрастов 120 или более лет принимаются равными единице.
6.3.1.3. Оценка риска расходов на ведение дела (ТКрасходы) определяется по формуле:
i - договор страхования, отнесенный к учетным группам 18 - 21 в соответствии с подпунктом 5.1.4 пункта 5.1 настоящего Положения;
PVFi - определенная актуарием величина приведенной стоимости денежных потоков по расходам на ведение дела, за исключением агентского и брокерского вознаграждения по договору страхования i в российских рублях из прогноза денежных потоков, строящегося в соответствии с требованиями подпункта 5.3.1 пункта 5.3 настоящего Положения, с учетом вероятности их реализации.
6.3.1.4. Оценка риска досрочного прекращения договоров страхования или изменения их условий (ТКпрекращение) определяется по формуле:
ТКпрекращение = max(LapseRisk1, LapseRisk2),
где величины LapseRisk1 и LapseRisk2 определяются в соответствии с пунктом 14 и пунктом 15 приложения 1 к настоящему Положению соответственно.
6.3.1.5. Оценка прочих рисков (ТКпрочие риски) определяется по формуле:
ТКпрочие риски = 5% x (max(ДПП; 0) + ДПУ) x Кж,
ДПП (ДПУ) - показатели, определенные в соответствии с требованиями подпунктов 5.3.2 и 5.3.3 пункта 5.3 настоящего Положения и подпунктов 5.4.2 - 5.4.4 пункта 5.4 настоящего Положения по учетной группе 21;
Кж - вспомогательная величина, определяемая по формуле:
ДДПП (ДДПУ) - величина доли перестраховщиков в резерве премий (в резерве убытков) по договорам исходящего перестрахования, которые признаны передающими страховой риск в соответствии с подпунктом 6.3.4 настоящего пункта, по учетной группе 21, рассчитываемая в соответствии с требованиями пункта 5.6 настоящего Положения.
В случае если величина max(ДПП; 0) + ДПУ равна нулю, величина Кж принимается равной единице.
6.3.2. Нормативный размер маржи платежеспособности (N) страховых организаций, осуществляющих страхование иное, чем страхование жизни, и обществ взаимного страхования определяется по формуле:
N = max(N1; N2) + (1 - n) x N3 + N4.
6.3.2.1. Показатель N1 рассчитывается по формуле:
i - номер учетной группы в соответствии с подпунктом 5.1.3 пункта 5.1 настоящего Положения;
Ki - поправочный коэффициент по учетной группе i, рассчитанный в соответствии с подпунктом 6.3.2.4 настоящего пункта;
N1i - первый показатель по учетной группе i, рассчитанный по формуле:
j - договор страхования (кроме договоров, обязательства по которым переданы в составе переданного страхового портфеля), признанный в соответствии с подпунктом 5.1.10 пункта 5.1 настоящего Положения в предшествующие расчетной дате 12 месяцев включительно или признанный ранее, но верхняя граница которого позднее расчетной даты, отнесенный в соответствии с подпунктом 5.1.3 пункта 5.1 настоящего Положения к учетной группе i. При этом в расчете не учитываются договоры, признанные в соответствии с подпунктом 5.1.10 пункта 5.1 настоящего Положения ранее, чем 12 месяцев до расчетной даты, верхняя граница которых позднее расчетной даты, в случае если в течение 12 месяцев, предшествовавших расчетной дате, страховое покрытие по данному договору не действовало по причине неуплаты страхователем страховой премии (страхового взноса);
k - договор страхования (кроме договоров, обязательства по которым переданы в составе переданного страхового портфеля, и договоров входящего перестрахования), признанный в соответствии с подпунктом 5.1.10 пункта 5.1 настоящего Положения в предшествующие расчетной дате 12 месяцев включительно или признанный ранее, но верхняя граница которого позднее расчетной даты, отнесенный в соответствии с подпунктом 5.1.3 пункта 5.1 настоящего Положения к учетной группе 3;
Пj (Пk) - страховая премия по договору страхования j (k) за вычетом возвратов части страховой премии по этому договору, уменьшенная на сумму отчислений от страховых премий по договору страхования j (k), осуществленных страховщиком в соответствии со страховым законодательством Российской Федерации и правилами и стандартами профессиональных объединений, союзов, ассоциаций страховщиков, к полномочиям которых относится аккумулирование производимых страховщиками отчислений от страховых премий, и обязательства страховщика по возвратам страховых премий (страховых взносов) по договору страхования j (k) по состоянию на расчетную дату;
Tj (Tk) - сумма периодов действия страхового покрытия по договору страхования j (k) (в годах), округленная до сотой части числа, в случае если указанная сумма составляет более 1 года, и до целого числа в большую сторону, в случае если указанная сумма составляет менее 1 года;
X3 - установленный в соответствии с таблицей 18 приложения 2 к настоящему Положению коэффициент дополнительных требований по учетной группе 3 в зависимости от показателя "Доля страховых премий (взносов) в общем объеме страховых премий (взносов) по договорам страхования, в процентах" по состоянию на конец ближайшего предшествующего расчетной дате квартала, данные по которому размещены по расчетную дату включительно на официальном сайте Банка России в сети "Интернет" в соответствии с пунктом 5 статьи 28 Закона Российской Федерации "Об организации страхового дела в Российской Федерации", отражающего долю премии страховой организации по договорам страхования, за исключением договоров входящего перестрахования, от суммы страховых премий по соответствующему виду страхования по учетной группе 3 (далее - доля рынка);
СтР3 - вспомогательная величина СтР, рассчитанная в соответствии с пунктом 4 приложения 5 к настоящему Положению, по учетной группе 3;
К - величина собственных средств (капитала), определяемая в соответствии с пунктом 1.1 настоящего Положения;
Д - коэффициент дополнительных требований по учетной группе 3 в зависимости от доли рынка для учета собственных средств (капитала), установленный в соответствии с таблицей 19 приложения 2 к настоящему Положению.
6.3.2.2. Показатель N2 определяется по формуле:
i - номер учетной группы в соответствии с подпунктом 5.1.3 пункта 5.1 настоящего Положения;
N2i - второй показатель по учетной группе i, рассчитываемый по данным за 36 месяцев, предшествующих расчетной дате, по договорам страхования (кроме договоров, обязательства по которым переданы в составе переданного страхового портфеля), отнесенным в соответствии с подпунктом 5.1.3 пункта 5.1 настоящего Положения к учетной группе i, и равный 23 процентам от одной трети неотрицательной суммы:
произведенных страховых выплат за вычетом поступлений по суброгациям, регрессам и (или) от реализации годных остатков;
расходов на исполнение обязательств по страховым случаям;
изменения ДПУ и РПВУ по договорам страхования за вычетом изменения стоимости прав требований по суброгациям и регрессам и изменения стоимости активов в виде полученного страховщиком застрахованного имущества (его годных остатков), от прав на которое страхователь (выгодоприобретатель) отказался в соответствии с пунктом 5 статьи 10 Закона Российской Федерации "Об организации страхового дела в Российской Федерации".
Страховщик, у которого с даты получения первой лицензии на осуществление страхования или лицензии на осуществление взаимного страхования, кроме лицензии на осуществление добровольного страхования жизни, до расчетной даты прошло менее 3 лет (36 месяцев), или перестраховочная организация, у которой с даты получения лицензии на перестрахование до расчетной даты прошло менее 3 лет (36 месяцев), не рассчитывает второй показатель (N2i).
6.3.2.3. Показатель N3 рассчитывается как сумма вспомогательных величин СР, рассчитанных в соответствии с приложением 6 к настоящему Положению, по учетным группам 5 и 11.
6.3.2.4. Поправочный коэффициент Ki рассчитывается на основе имеющихся данных за 12 месяцев, предшествующих расчетной дате по договорам, отнесенным в соответствии с подпунктом 5.1.3 пункта 5.1 настоящего Положения к учетной группе i, как отношение суммы:
произведенных страховых выплат за вычетом полученных или причитающихся к получению страховых выплат по договорам исходящего перестрахования, заключенным в отношении обязательств по таким страховым выплатам, а также за вычетом выплат, полученных в целях возмещения понесенных расходов на страховые выплаты и (или) на исполнение обязательств страховщика за счет средств бюджетов бюджетной системы Российской Федерации, а также от акционерного общества "ДОМ.РФ";
стоимости доли перестраховщиков в поступлениях по суброгациям, регрессам и (или) от реализации годных остатков, определяемой по условиям договоров исходящего перестрахования, за вычетом поступлений по суброгациям, регрессам и (или) от реализации годных остатков;
расходов на исполнение обязательств по страховым случаям за вычетом возмещения перестраховщиками указанных расходов;
изменения ДПУ и РПВУ за вычетом изменения доли перестраховщиков в ДПУ и РПВУ, учитываемых при определении показателя НРМП;
изменения величины доли перестраховщиков в величине стоимости прав требований страховщика по суброгациям и регрессам и в величине стоимости активов в виде полученного застрахованного имущества (его годных остатков), от прав на которое страхователь (выгодоприобретатель) отказался в соответствии с пунктом 5 статьи 10 Закона Российской Федерации "Об организации страхового дела в Российской Федерации", за вычетом суммы изменения стоимости прав требований страховщика по суброгациям и регрессам и изменения стоимости активов в виде полученного застрахованного имущества (его годных остатков), от прав на которое страхователь (выгодоприобретатель) отказался в соответствии с пунктом 5 статьи 10 Закона Российской Федерации "Об организации страхового дела в Российской Федерации", за расчетный период;
произведенных страховых выплат за вычетом поступлений по суброгации, регрессам и (или) от реализации годных остатков, а также за вычетом выплат, полученных в целях возмещения понесенных расходов на страховые выплаты и (или) на исполнение обязательств страховщика за счет средств бюджетов бюджетной системы Российской Федерации, а также от акционерного общества "ДОМ.РФ";
расходов на исполнение обязательств по страховым случаям;
изменения ДПУ и РПВУ по договорам страхования за вычетом изменения за период стоимости прав требований по суброгациям и регрессам и изменения стоимости активов в виде полученного страховщиком застрахованного имущества (его годных остатков), от прав на которое страхователь (выгодоприобретатель) отказался в соответствии с пунктом 5 статьи 10 Закона Российской Федерации "Об организации страхового дела в Российской Федерации". При отсутствии в указанном периоде страховых выплат по договорам страхования по какой-либо учетной группе поправочный коэффициент по такой учетной группе принимается равным единице.
Для целей расчета поправочного коэффициента используются только договоры исходящего перестрахования, передающие страховой риск. При этом по учетной группе 3 используются только договоры исходящего перестрахования, заключенные в рамках соглашения о перестраховочном пуле, предусмотренного пунктом 3 статьи 21.1 Федерального закона "Об обязательном страховании гражданской ответственности владельцев транспортных средств".
В случае если числитель или знаменатель отношения в расчете Ki по какой-либо учетной группе принимает отрицательное значение, поправочный коэффициент по этой учетной группе принимается равным единице.
В случае если поправочный коэффициент по учетным группам 1, 2.1 и 2.2 меньше 0,85, он принимается равным 0,85, если больше единицы - равным единице.
В случае если поправочный коэффициент по учетной группе 3 меньше 0,05, он принимается равным 0,05, если больше единицы - равным единице.
В случае если поправочный коэффициент по учетным группам 5, 11, 13 и 17 меньше 0,15, он принимается равным 0,15, если больше единицы - равным единице.
В случае если поправочный коэффициент по учетной группе 7 меньше 0,5, он принимается равным 0,5, если больше единицы - равным единице.
В случае если поправочный коэффициент по иным учетным группам меньше 0,3, он принимается равным 0,3, если больше единицы - равным единице.
6.3.2.5. Для расчета показателя Ki, указанного в подпункте 6.3.2.4 настоящего пункта, и вспомогательной величины СР, определенной в соответствии с требованиями приложения 6 к настоящему Положению, учитываются только договоры исходящего перестрахования, которые признаны передающими страховой риск согласно требованию подпункта 6.3.4 настоящего пункта:
для целей учета страховой премии по договору - на расчетную дату;
для целей учета величины доли перестраховщиков в произведенных выплатах и расходах на исполнение обязательств - на дату получения возмещения перестраховщиков или возникновения права требования включительно;
для целей учета величины доли перестраховщиков в поступлениях по суброгациям, регрессам и (или) от реализации годных остатков - на дату оплаты указанной доли перестраховщику или признания обязательства по оплате указанной доли;
для целей учета величины доли перестраховщиков в величине прав требований по суброгациям и регрессам и величины доли перестраховщиков в стоимости активов в виде полученного застрахованного имущества (его годных остатков), от прав на которое страхователь (выгодоприобретатель) отказался в соответствии с пунктом 5 статьи 10 Закона Российской Федерации "Об организации страхового дела в Российской Федерации", - на дату признания обязательства по оплате доли.
6.3.2.6. Показатель N4 определяется по формуле:
Smax - максимальная страховая сумма по договорам страхования ответственности арбитражного управляющего за причинение убытков лицам, участвующим в деле о банкротстве, и иным лицам в связи с неисполнением или ненадлежащим исполнением возложенных на арбитражного управляющего обязанностей в деле о банкротстве (далее - договоры страхования ответственности арбитражного управляющего), признанным страховщиком в период, равный 54 месяцам по расчетную дату включительно, если расчетная дата совпадает с концом календарного квартала, или в период, равный 54 месяцам, предшествующим календарному кварталу, включающему расчетную дату, если расчетная дата не совпадает с концом такого квартала;
показатель SS определяется по договорам страхования ответственности арбитражного управляющего, признанным страховщиком в период, равный 54 месяцам по расчетную дату включительно, если расчетная дата совпадает с концом календарного квартала, или в период, равный 54 месяцам, предшествующим календарному кварталу, включающему расчетную дату, если расчетная дата не совпадает с концом такого квартала, по формуле:
Si - максимальная страховая сумма по договору i страхования ответственности арбитражного управляющего за причинение убытков лицам, участвующим в деле о банкротстве, и иным лицам в связи с неисполнением или ненадлежащим исполнением возложенных на арбитражного управляющего обязанностей в деле о банкротстве;
SDi - суммарная длительность периодов действия страхового покрытия по договору страхования ответственности арбитражного управляющего i до верхней границы, на наиболее раннюю из дат: даты верхней границы договора или расчетной даты.
6.3.3. Для страховщиков, осуществляющих страхование ответственности туроператора в соответствии со статьей 17.6 Федерального закона от 24 ноября 1996 года N 132-ФЗ "Об основах туристской деятельности в Российской Федерации", а также принимающих в перестрахование обязательства по страховым выплатам по указанному в настоящем подпункте страхованию (далее - страхование ответственности туроператора), нормативный размер маржи платежеспособности увеличивается на сумму рассчитанных в отношении каждого туроператора превышений совокупного объема ответственности нетто-перестрахования по всем действующим на расчетную дату договорам страхования ответственности туроператора (в отношении каждого отдельного туроператора) над показателем, равным 10 процентам от величины собственных средств (капитала) страховщика, определенной в соответствии с главой 1 настоящего Положения.
Совокупный объем ответственности нетто-перестрахования должен быть равным величине денежных средств, подлежащих выплате страховщиком застрахованным лицам или выгодоприобретателям по договорам страхования, при условии одновременного наступления страховых случаев в размере страховой суммы по всем действующим на расчетную дату договорам страхования за вычетом долей перестраховщиков в таких выплатах, предусмотренных в заключенных страховщиком договорах исходящего перестрахования, которые признаны передающими страховой риск в соответствии с подпунктом 6.3.4 настоящего пункта.
6.3.4. Договор исходящего перестрахования признается на расчетную дату передающим страховой риск, если согласно действующим на расчетную дату условиям договора исходящего перестрахования он удовлетворяет одному из следующих условий:
6.3.4.1. Договор исходящего перестрахования заключен в рамках перестраховочного пула <19> для перестрахования рисков гражданской ответственности владельца опасного объекта за причинение вреда в результате аварии на опасном объекте, гражданской ответственности перевозчика за причинение вреда жизни, здоровью, имуществу пассажиров, гражданской ответственности владельцев транспортных средств или ядерных рисков при условии солидарной ответственности участников пула, принимающих такие риски.
--------------------------------
<19> Пункт 1 статьи 14.1 Закона Российской Федерации "Об организации страхового дела в Российской Федерации".
6.3.4.2. Договор исходящего перестрахования одновременно удовлетворяет следующим условиям:
не существует безусловного обязательства, размер которого зависит от сложившегося до даты определения размера такого обязательства финансового результата перестраховщика по договору и (или) группе договоров исходящего перестрахования <20>. Для целей настоящего абзаца финансовым результатом по договору исходящего перестрахования на определенную дату признается сумма денежных потоков, величина и срок платежа которых определены в соответствии с таким договором до этой даты;
--------------------------------
<20> Пункт 1 статьи 13 Закона Российской Федерации "Об организации страхового дела в Российской Федерации".
является договором пропорционального перестрахования <21>.
--------------------------------
<21> Пункт 9 статьи 13 Закона Российской Федерации "Об организации страхового дела в Российской Федерации".
6.3.4.3. Договор исходящего перестрахования одновременно удовлетворяет следующим условиям:
6.3.4.3.1. Актуарием страховщика рассчитан ОДП, составляющий не менее 2,5 процента, который определяется по формуле:
АР - оценка на дату расчета ОДП функции распределения размера финансового результата перестраховщика по договору исходящего перестрахования в соответствии с подпунктом 6.3.5 настоящего пункта с учетом временной стоимости денег;
Р(АР < 0) - оценка на основе АР вероятности наступления отрицательного финансового результата перестраховщика по договору исходящего перестрахования;
|Е(АР|АР < 0)| - абсолютное значение (модуль) оценки условного математического ожидания размера финансового результата перестраховщика на основе АР, при условии отрицательного значения финансового результата перестраховщика;
ОП - сумма оплаченной страховщиком на дату расчета ОДП страховой премии по договору исходящего перестрахования и иных платежей, производимых страховщиком в пользу перестраховщика согласно условиям иных договоров, платежи по которым зависят от условий рассматриваемого договора исходящего перестрахования, и оценки на дату расчета ОДП приведенной стоимости ожидаемого размера еще не оплаченной страховой премии по договору исходящего перестрахования и таких платежей. Расчет ОДП проводится на любую дату, на которую проводится расчет страховых резервов, но не ранее даты признания договора исходящего перестрахования. Перерасчет ОДП проводится только при изменении условий договора исходящего перестрахования.
6.3.4.3.2. Договором исходящего перестрахования предусмотрено условие о невозможности взаимозачета встречных требований по данному договору с какими-либо другими договорами <22> (в том числе не являющимися договорами страхования и исходящего перестрахования), за исключением случая взаимозачета встречных требований с договором перестрахования, если по каждому из указанных договоров не существует безусловного обязательства, размер которого зависит от сложившегося до даты определения размера такого обязательства финансового результата перестраховщика по договору, с которым предусмотрен взаимозачет встречных требований. Для целей настоящего подпункта финансовым результатом по договору исходящего перестрахования на определенную дату признается сумма денежных потоков, величина и срок платежа которых определены в соответствии с таким договором до указанной даты.
--------------------------------
<22> Абзац шестой статьи 411 Гражданского кодекса Российской Федерации.
6.3.4.3.3. Договором исходящего перестрахования предусмотрено осуществление страховой выплаты по договору исходящего перестрахования в период не более 6 месяцев с даты осуществления страховщиком страховой выплаты по основному договору страхования.
6.3.5. Оценка функции распределения финансового результата перестраховщика (АР) по договору исходящего перестрахования осуществляется на основании:
условий договора исходящего перестрахования;
статистических данных об исполнении договоров исходящего перестрахования, содержащих аналогичные такому договору условия в отношении объекта страхования, страховых рисков, порядка определения страховой выплаты и взаиморасчетов (при наличии);
прогноза денежных потоков по учитываемым в расчете основным договорам страхования, строящегося в соответствии с требованиями подпункта 5.3.1 пункта 5.3 настоящего Положения;
прогноза распределения страховых выплат, премий и расходов по ожидаемому портфелю договоров страхования, покрываемому рассматриваемым договором исходящего перестрахования, с учетом положений подпункта 6.3.7 настоящего пункта;
оценок возможной приведенной к дате расчета ОДП стоимости денежных потоков по договору исходящего перестрахования с учетом положений подпункта 6.3.6 настоящего пункта.
6.3.6. Оценки возможной приведенной стоимости денежных потоков по договору исходящего перестрахования должны учитывать все денежные потоки, которые могут возникнуть по условиям договора исходящего перестрахования или условиям иных договоров, платежи по которым зависят от условий рассматриваемого договора исходящего перестрахования (в том числе от размера ответственности перестраховщика, уплаченного перестраховочного вознаграждения, страховой премии по договору исходящего перестрахования), и вероятности реализации данной возможной приведенной стоимости денежных потоков. Сумма вероятностей реализации возможных приведенных стоимостей денежных потоков должна превышать 99,5 процента.
6.3.7. Для целей оценки прогноза распределения страховых выплат, премий и расходов по ожидаемому портфелю договоров страхования, покрываемому рассматриваемым договором исходящего перестрахования, страховщик на основе своего бизнес-плана прогнозирует количество и условия основных договоров страхования, которые будут ей заключены и попадут под условия договора исходящего перестрахования, а актуарий прогнозирует функцию распределения размера и сроков страховых выплат, учитывая поступление страховых премий и несение расходов по таким договорам.
Прогноз распределения убытков по портфелю договоров страхования не должен противоречить информации, предоставляемой страховщиком в Банк России.
6.4. Показатель РК рассчитывается в отношении:
активов и обязательств, определенных в соответствии с главой 1 настоящего Положения, за исключением активов, стоимость которых признана равной нулю в соответствии с пунктом 3.1 настоящего Положения, а также срочных сделок, стоимость которых определяется в соответствии с требованиями абзаца второго пункта 3.3 и абзаца второго пункта 4.6 настоящего Положения, и обязательств, стоимость которых определяется в соответствии с абзацами пятым - одиннадцатым подпункта 5.3.5 пункта 5.3 настоящего Положения;
прав требований в части уплаты страховой премии (страхового взноса), учитываемых в прогнозе денежных потоков, строящемся в соответствии с подпунктом 5.3.1 пункта 5.3 настоящего Положения. Стоимость таких прав требований определяется как неотрицательная наилучшая оценка приведенной стоимости денежных потоков в части поступления страховых премий (страховых взносов) из прогноза денежных потоков, строящегося в соответствии с подпунктом 5.3.1 пункта 5.3 настоящего Положения.
При расчете показателя РК группа связанных со страховой организацией юридических лиц (юридические лица, являющиеся основными и дочерними обществами), кроме перестраховщика, созданного в соответствии с законодательством государства - члена ОЭСР, группа кредитного качества которого, определенная в соответствии с подпунктом 6.5.2.2 пункта 6.5 настоящего Положения, принимает значение от 1 до 6 и которому переданы в перестрахование обязательства по страховой выплате по основным договорам страхования (перестрахования), учитывается как одно юридическое лицо - основное общество указанной группы.
6.5. Показатель РК определяется по формуле:
i,j - индексы суммирования, принимающие значение 1 или 2;
corri,j - значение коэффициента корреляции между рисками i и j в соответствии с таблицей 13 приложения 2 к настоящему Положению.
6.5.1. Оценка риска 1 определяется по формуле:
R1i(j) - оценка риска 1 по видам риска i(j):
риск изменения кредитного спреда;
риск изменения процентных ставок;
риск изменения стоимости акций;
риск изменения валютного курса;
риск изменения цен на недвижимость;
риск изменения цен на активы, риск изменения которых не подлежит определению в рамках оценки влияния рисков, указанных в абзацах шестом - восьмом, десятом настоящего подпункта;
corri,j - значение коэффициента корреляции между видами риска i и j в соответствии с таблицей 14 приложения 2 к настоящему Положению.
6.5.2.1. Прогноз денежных потоков по каждой облигации, каждому займу, каждому банковскому вкладу (депозиту), за исключением банковских вкладов (депозитов), указанных в пункте 3.2 настоящего Положения, строится согласно условиям исполнения обязательств по активу до ближайшей даты, по состоянию на которую в соответствии с условиями исполнения обязанным лицом указанные обязательства должны быть исполнены в полном объеме, и включает даты денежных потоков и их величины. В случае если будущие потоки по активу неизвестны, все будущие потоки равны последнему известному на расчетную дату денежному потоку. Для облигаций без срока погашения прогноз денежных потоков строится до ближайшей даты, по состоянию на которую в соответствии с условиями исполнения должником обязательств по такой облигации указанные обязательства могут быть исполнены в полном объеме.
6.5.2.2. В целях определения группы кредитного качества используется уровень кредитного рейтинга облигации или обязанного лица, установленный решением Совета директоров Банка России (при наличии кредитных рейтингов нескольких кредитных рейтинговых агентств, иностранных кредитных рейтинговых агентств выбирается кредитный рейтинг, на основе которого будет присвоена группа кредитного качества с наименьшим номером). При отсутствии кредитного рейтинга, присвоенного кредитным рейтинговым агентством, для объектов рейтинга, не являющихся российскими объектами рейтинга, группа кредитного качества определяется на основе кредитного рейтинга, присвоенного иностранным кредитным рейтинговым агентством. Группа кредитного качества по активу определяется как 19 группа кредитного качества, если актив предусмотрен абзацем третьим пункта 6.4 настоящего Положения и обязанное лицо по нему является юридическим лицом, которому не присвоен кредитный рейтинг, группа кредитного качества по облигации определяется на основании уровня кредитного рейтинга облигации, а в случае его отсутствия - на основании уровня кредитного рейтинга обязанного лица, группа кредитного качества иных активов определяется как группа кредитного качества обязанного лица. Физические лица относятся к 15 группе кредитного качества. Юридические лица, которым не присвоен кредитный рейтинг, относятся к 22 группе кредитного качества.
6.5.3. Оценка концентрационного риска (R1conc) определяется в соответствии с пунктом 1 приложения 1 к настоящему Положению.
6.5.4. Оценка риска изменения кредитного спреда (R1spread) определяется в соответствии с пунктом 2 приложения 1 к настоящему Положению.
6.5.5. Оценка риска изменения процентных ставок (R1interest rate) определяется в соответствии с пунктом 3 приложения 1 к настоящему Положению.
6.5.6. Оценка риска изменения стоимости акций (R1equity) определяется в соответствии с пунктом 4 приложения 1 к настоящему Положению.
6.5.7. Оценка риска изменения цен на недвижимость (R1property) определяется в соответствии с пунктом 5 приложения 1 к настоящему Положению.
6.5.8. Оценка риска изменения стоимости активов, риск изменения стоимости которых не подлежит определению в рамках оценки влияния рисков, указанных в абзацах шестом - восьмом, десятом подпункта 6.5.1 настоящего пункта (R1commodity), определяется в соответствии с пунктом 6 приложения 1 к настоящему Положению.
6.5.9. Оценка риска изменения валютного курса (R1currency) определяется в соответствии с пунктом 7 приложения 1 к настоящему Положению.
6.5.10. Оценка риска 2 определяется в соответствии с пунктами 8 - 11 приложения 1 к настоящему Положению с учетом следующего:
6.5.10.1. При оценке риска 2 рассчитывается концентрация на обязанное лицо для целей расчета риска 2, под которой понимается совокупная стоимость ценных бумаг обязанного лица, активов, по которым обязанное лицо является поручителем (гарантом), прав требований к обязанному лицу (в том числе прав требований из договора банковского счета (вклада), прав требований по возврату ценных бумаг и денежных средств по второй части договора репо, доли перестраховщика в страховых резервах, прав требований по договору страхования в части уплаты страховой премии (страховых взносов).
При оценке риска 2 и определении концентрации на обязанное лицо для целей расчета риска 2 не учитываются:
активы, обязанным лицом по которым является Российская Федерация, и активы, обязанным лицом по которым является Банк России;
авансовые платежи медицинским организациям и учреждениям санаторно-курортного профиля, содержащимся в Перечне санаторно-курортных учреждений, внесенные в соответствии с договором, заключенным в целях оказания застрахованным лицам медицинских услуг в рамках договоров страхования;
недвижимое имущество и товары;
авансовые платежи по налогам, задолженности бюджетов по налогам и сборам;
права требования к центральному депозитарию и квалифицированному центральному контрагенту в случаях, если такая задолженность обусловлена осуществлением указанными лицами операций в рамках расчетов по сделкам с ценными бумагами и погашения ценных бумаг, за исключением требований по возврату денежных средств по второй части договора репо;
права требования, расчеты по которым осуществляются в рамках соглашения о прямом возмещении убытков, соглашений о перестраховочных пулах по видам обязательного страхования;
права требования, регламентированные правилами профессиональной деятельности;
права требования к перестраховщику по договорам страхования гражданско-правовой ответственности за убытки и вред, причиненные радиационным воздействием, при осуществлении указанным перестраховщиком перестрахования в составе пулов по страхованию ядерных рисков при условии солидарной ответственности участников пула, принимающих такие риски;
права требования в части уплаты страховой премии (страхового взноса), учитываемые в прогнозе денежных потоков, строящемся в соответствии с подпунктом 5.3.1 пункта 5.3 настоящего Положения по договорам страхования жизни;
доля перестраховщика в страховых резервах, стоимость которой принимает отрицательное значение;
облигации российских эмитентов, решение о выпуске которых содержит условие об использовании всех денежных средств, полученных от размещения указанных облигаций, на цели, связанные с финансированием проектов технологического суверенитета и проектов структурной адаптации экономики Российской Федерации, определенных в соответствии с пунктом 2 Положения об условиях отнесения проектов к проектам технологического суверенитета и проектам структурной адаптации экономики Российской Федерации, о представлении сведений о проектах технологического суверенитета и проектах структурной адаптации экономики Российской Федерации и ведении реестра указанных проектов, а также о требованиях к организациям, уполномоченным представлять заключения о соответствии проектов требованиям к проектам технологического суверенитета и проектам структурной адаптации экономики Российской Федерации, утвержденного постановлением Правительства Российской Федерации от 15 апреля 2023 года N 603, при одновременном выполнении следующих условий (далее - проектные облигации):
проектные облигации имеют кредитный рейтинг не ниже уровня, установленного Советом директоров Банка России;
значение нормативного соотношения не ниже порогового значения, указанного в таблице 20 приложения 2 к настоящему Положению, исходя из наибольшего номера уровня кредитного качества проектных облигаций, в случае его расчета без учета в составе активов, определяемом в соответствии с пунктом 1.1 настоящего Положения, следующих активов:
акций и облигаций, паев иностранных инвестиционных фондов, эмитентом которых (лицом обязанным по которым) является иностранное лицо и в отношении которых у страховщика имеются достаточные данные, подтверждающие, что права на такие ценные бумаги учитываются на счете лица, действующего в интересах других лиц, открытом российскому депозитарию в иностранной организации, имеющей право в соответствии с ее личным законом осуществлять учет и переход прав на ценные бумаги, являющейся резидентом иностранного государства и (или) территории, включенных в перечень иностранных государств и территорий, совершающих в отношении Российской Федерации, российских юридических лиц и физических лиц недружественные действия, утвержденный распоряжением Правительства Российской Федерации от 5 марта 2022 года N 430-р (далее - иностранные государства, совершающие недружественные действия), и (или) эмитентом которых (лицом, обязанным по которым) является резидент иностранного государства, совершающего недружественные действия, а также прав требований к эмитентам, являющимся резидентами иностранных государств, совершающих недружественные действия, по выплатам по таким ценным бумагам;
прав требований по денежному обязательству к лицам иностранных государств, совершающих недружественные действия, возникших из договора банковского счета (вклада), брокерского договора;
прав требований по уплате просроченной задолженности по выплатам по ценным бумагам, вызванной задержкой исполнения обязательств иностранной организацией, являющейся резидентом иностранного государства, совершающего недружественные действия, и имеющей право в соответствии с ее личным законом осуществлять учет и переход прав на ценные бумаги;
прав требований к лицам иностранных государств, совершающих недружественные действия, или подконтрольным им лицам, исключая резидентов Российской Федерации, по договорам входящего и исходящего перестрахования в части уплаты просроченной задолженности, за исключением доли перестраховщика в страховых резервах.
В целях определения уровня кредитного качества проектных облигаций используется уровень, установленный Советом директоров Банка России для кредитного рейтинга проектных облигаций (при наличии кредитных рейтингов нескольких кредитных рейтинговых агентств выбирается кредитный рейтинг, на основе которого будет присвоен наибольший номер уровня кредитного качества проектных облигаций).
6.5.10.2. Вероятность дефолта актива и права требования в части уплаты страховой премии (страховых взносов) по договорам страхования иного, чем страхование жизни (далее - право требования по договору страхования в части уплаты премии), в отношении которых определяется оценка риска 2, рассчитывается как произведение вероятности дефолта, определенной по таблице 1 приложения 2 к настоящему Положению исходя из группы кредитного качества актива, и коэффициента z, и для прав требования в части уплаты страховой премии (страховых взносов), которые в соответствии с договором должны быть удовлетворены в течение следующих за расчетной датой 365 календарных дней, коэффициента, равного числу дней до даты удовлетворения требований, деленному на 365.
Вероятность дефолта обязанного лица определяется по таблице 1 приложения 2 к настоящему Положению исходя из группы кредитного качества обязанного лица.
Коэффициент z принимает следующие значения:
коэффициент 1 - для прав требований по договору страхования в части уплаты премии, за исключением прав требований по договорам страхования средств наземного транспорта (за исключением средств железнодорожного транспорта), заключенным в рамках генерального полиса (договора), если условиями договоров страхования предусмотрена возможность их расторжения в случае неуплаты страхователем очередного страхового взноса, а также при условии что на расчетную дату число договоров страхования, верхняя граница по которым позднее расчетной даты, в рамках такого генерального полиса (договора) составляет не менее 5000 единиц и стоимость прав требований по договорам страхования в части уплаты премии, срок уплаты которой наступил по расчетную дату включительно, составляет не более 5 процентов от страховой премии в рамках генерального полиса (договора) и количество договоров страхования, по которым существуют права требования в части уплаты премии, срок уплаты которой наступил по расчетную дату включительно, составляет не более 5 процентов от общего количества договоров страхования, верхняя граница по которым позднее расчетной даты, в рамках такого генерального полиса (договора);
коэффициент 2 - в ином случае.
Коэффициент z определяется по таблице 16 приложения 2 к настоящему Положению.
6.6. Оценка операционного риска определяется по формуле:
К - определяется в соответствии с абзацем четвертым пункта 6.1 настоящего Положения;
СЗ - определяется в соответствии с абзацем пятым пункта 6.1 настоящего Положения;
k - коэффициент операционного риска, равный:
0 процентов, - если не более чем в одном файле, содержащем формы отчетности в порядке надзора, составленной на любую дату (даты) в течение 6 месяцев, предшествующих расчетной дате, или в одном файле, содержащем детализированную информацию по показателям в разрезе групп аналитических признаков, объединяющих аналитические признаки, запрошенную у страховщика на любую дату (даты) в течение 6 месяцев, предшествующих расчетной дате, в соответствии с подпунктом 4 пункта 5 статьи 30 Закона Российской Федерации "Об организации страхового дела в Российской Федерации" структурным подразделением Банка России, уполномоченным на осуществление контроля и надзора за деятельностью субъектов страхового дела (далее - уполномоченное подразделение), представленных страховщиком в Банк России в течение 6 месяцев, предшествующих расчетной дате (далее - файл отчетности), уполномоченным подразделением выявлено (выявлены) нарушение (нарушения) требований пункта 4 статьи 28 и (или) подпунктов 1 и (или) 2 и (или) 4 пункта 5 статьи 30 Закона Российской Федерации "Об организации страхового дела в Российской Федерации", об устранении которого (которых) страховщику уполномоченным подразделением в течение 6 месяцев до расчетной даты выдано (выданы) предписание (предписания) (далее - нарушение);
3 процента, - если нарушение (нарушения) выявлены в двух файлах отчетности;
9 процентов, - если нарушение (нарушения) выявлены в трех файлах отчетности;
12 процентов, - если нарушение (нарушения) выявлены в четырех файлах отчетности;
16 процентов, - если нарушение (нарушения) выявлены в пяти файлах отчетности;
20 процентов, - если нарушение (нарушения) выявлены в шести и более файлах отчетности.
6.7. Минимально допустимое значение нормативного соотношения составляет 1.
Пороговое значение нормативного соотношения составляет 1,05.
6.8. Документы, содержащие сведения, используемые для расчета нормативного размера маржи платежеспособности, осуществляемого в соответствии с пунктом 6.3 настоящего Положения, и расчета ОДП, осуществляемого в соответствии с подпунктом 6.3.4.3.1 пункта 6.3 настоящего Положения, включая все данные и расчет всех показателей, использованных в указанных расчетах, хранятся страховщиком на территории Российской Федерации не менее 5 лет с даты расчета.
- Гражданский кодекс (ГК РФ)
- Жилищный кодекс (ЖК РФ)
- Налоговый кодекс (НК РФ)
- Трудовой кодекс (ТК РФ)
- Уголовный кодекс (УК РФ)
- Бюджетный кодекс (БК РФ)
- Арбитражный процессуальный кодекс
- Конституция РФ
- Земельный кодекс (ЗК РФ)
- Лесной кодекс (ЛК РФ)
- Семейный кодекс (СК РФ)
- Уголовно-исполнительный кодекс
- Уголовно-процессуальный кодекс
- Производственный календарь на 2025 год
- МРОТ 2025
- ФЗ «О банкротстве»
- О защите прав потребителей (ЗОЗПП)
- Об исполнительном производстве
- О персональных данных
- О налогах на имущество физических лиц
- О средствах массовой информации
- Производственный календарь на 2026 год
- Федеральный закон "О полиции" N 3-ФЗ
- Расходы организации ПБУ 10/99
- Минимальный размер оплаты труда (МРОТ)
- Календарь бухгалтера на 2025 год
- Частичная мобилизация: обзор новостей
- Постановление Правительства РФ N 1875














