III. Метод оценки параметров процесса при растекании жидкости при квазимгновенном разрушении резервуара
III. Метод оценки параметров процесса при растекании
жидкости при квазимгновенном разрушении резервуара
6. При квазимгновенном разрушении резервуара (внезапный, в течение секунд или долей секунд, распад резервуара на приблизительно равные по размеру части) часть хранимой в резервуаре жидкости может перелиться через обвалование.
7. Ниже представлена математическая модель, позволяющая оценить долю жидкости, перелившейся через обвалование при квазимгновенном разрушении резервуара. Приняты следующие допущения:
рассматривается плоская одномерная задача;
временем разрушения резервуара не учитывается;
трение жидкости о поверхность земли отсутствует;
поверхность земли является плоской, горизонтальной.
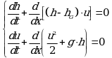
Система уравнений, описывающих движение жидкости, имеет вид:
где h - высота столба жидкости над фиксированным уровнем, м;
hG - высота подстилающей поверхности над фиксированным уровнем, м;
u - средняя по высоте скорость движения столба жидкости, м/с;
x - координата вдоль направления движения жидкости, м;
g - ускорение свободного падения (9,81 м/с2).
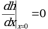
Граничные условия (рисунок П3.2) имеют вид:
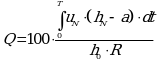
Массовая доля жидкости Q(%), перелившейся через обвалование к моменту времени T, определяется по формуле:
где uN - средняя по высоте скорость движения столба жидкости при x = b, м/с;
hN = высота столба жидкости при x = b, м;
h0 - начальная высота столба жидкости в резервуаре, м;
График расчетной и экспериментальной зависимостей массовой доли перелившейся через обвалование жидкости Q от параметра a/h0 представлен на рисунке П3.3.
Рисунок П3.2. Типичная картина движения жидкости в обваловании при квазимгновенном разрушении резервуара:
Рисунок П3.3. Зависимость доли перелившейся
через обвалование жидкости Q от параметра a/h0: 1 - расчет;
2 - эксперимент
- Гражданский кодекс (ГК РФ)
- Жилищный кодекс (ЖК РФ)
- Налоговый кодекс (НК РФ)
- Трудовой кодекс (ТК РФ)
- Уголовный кодекс (УК РФ)
- Бюджетный кодекс (БК РФ)
- Арбитражный процессуальный кодекс
- Конституция РФ
- Земельный кодекс (ЗК РФ)
- Лесной кодекс (ЛК РФ)
- Семейный кодекс (СК РФ)
- Уголовно-исполнительный кодекс
- Уголовно-процессуальный кодекс
- Производственный календарь на 2025 год
- МРОТ 2026
- ФЗ «О банкротстве»
- О защите прав потребителей (ЗОЗПП)
- Об исполнительном производстве
- О персональных данных
- О налогах на имущество физических лиц
- О средствах массовой информации
- Производственный календарь на 2026 год
- Федеральный закон "О полиции" N 3-ФЗ
- Расходы организации ПБУ 10/99
- Минимальный размер оплаты труда (МРОТ)
- Календарь бухгалтера на 2026 год
- Частичная мобилизация: обзор новостей
- Постановление Правительства РФ N 1875
, (П3.17)
; (П3.18)
; (П3.19)
; (П3.20)
, (П3.21)
, (П3.22)
