II. Метод оценки параметров процесса при истечении сжатого или сжиженного газа из отверстия в резервуаре
II. Метод оценки параметров процесса при истечении сжатого
или сжиженного газа из отверстия в резервуаре
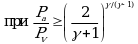
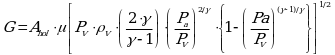
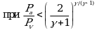
4. Массовая скорость истечения сжатого газа из отверстия в резервуаре определяется по формулам:
где G - массовый расход, кг/с;
Pа - атмосферное давление, Па;
PV - давление газа в резервуаре, Па;
- коэффициент истечения (при отсутствии данных принимается равным 0,8);
- плотность газа в резервуаре при давлении PV, кг/м3.
5. Массовая скорость истечения паровой фазы GV (кг/с) определяется по формуле:
PC - критическое давление сжиженного газа, Па;
R - универсальная газовая постоянная, равная 8,31 Дж/(К·моль);
TC - критическая температура сжиженного газа, К;
PR = PV / PC - безразмерное давление сжиженного газа в резервуаре;
PV - давление сжиженного газа в резервуаре, Па.
Массовую скорость истечения паровой фазы можно также определять по формулам (П3.11) - (П3.14).
Массовая скорость истечения жидкой фазы GL (кг/с) определяется по формуле:
где
- плотность жидкой фазы, кг/м3;
- плотность паровой фазы, кг/м3;
- Гражданский кодекс (ГК РФ)
- Жилищный кодекс (ЖК РФ)
- Налоговый кодекс (НК РФ)
- Трудовой кодекс (ТК РФ)
- Уголовный кодекс (УК РФ)
- Бюджетный кодекс (БК РФ)
- Арбитражный процессуальный кодекс
- Конституция РФ
- Земельный кодекс (ЗК РФ)
- Лесной кодекс (ЛК РФ)
- Семейный кодекс (СК РФ)
- Уголовно-исполнительный кодекс
- Уголовно-процессуальный кодекс
- Производственный календарь на 2025 год
- МРОТ 2026
- ФЗ «О банкротстве»
- О защите прав потребителей (ЗОЗПП)
- Об исполнительном производстве
- О персональных данных
- О налогах на имущество физических лиц
- О средствах массовой информации
- Производственный календарь на 2026 год
- Федеральный закон "О полиции" N 3-ФЗ
- Расходы организации ПБУ 10/99
- Минимальный размер оплаты труда (МРОТ)
- Календарь бухгалтера на 2026 год
- Частичная мобилизация: обзор новостей
- Постановление Правительства РФ N 1875
; (П3.11)
; (П3.12)
; (П3.13)
, (П3.14)
, (П3.15)
, (П3.16)