1. Рассматривается резервуар, находящийся в обваловании (рисунок П3.1).
истечение через отверстие однофазное;
резервуар имеет постоянную площадь сечения по высоте;
форма и линейные размеры отверстия на величину массового расхода не влияют;
толщина стенки не учитывается;
поверхность жидкости внутри резервуара горизонтальна;
температура жидкости остается постоянной в течение времени истечения.
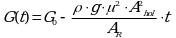
Массовый расход жидкости G (кг/с) через отверстие во времени t (с) определяется по формуле:
где G0 - массовый расход в начальный момент времени, кг/с, определяемый по формуле:
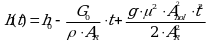
где
- плотность жидкости, кг/м3;
g - ускорение свободного падения (9,81 м/с2);
hhol - высота расположения отверстия, м;
AR - площадь сечения резервуара, м2;
h0 - начальная высота столба жидкости в резервуаре, м.
Высота столба жидкости в резервуаре h (м) в зависимости от времени t определяется по формуле:
2. Условия перелива струи жидкости (при h0 > hhol) через обвалование определяется по формуле:
где H - высота обвалования, м;
L - расстояние от стенки резервуара до обвалования, м.
Рисунок П3.1. Схема для расчета истечения жидкости
из отверстия в резервуаре
Количество жидкости m (кг), перелившейся через обвалование за полное время истечения, определяется по формуле:
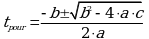
где tpour - время, в течение которого жидкость переливается через обвалование, с (время, в течение которого выполняется условие (П3.4).
Величина tpour определяется по формуле:
где a, b, c - параметры, которые определяются по формулам:
3. В случае если жидкость в резервуаре находится под избыточным давлением
(Па), величина мгновенного массового расхода G0 (кг/с) определяется по формуле:
Для определения количества жидкости, перелившейся через обвалование, и времени перелива следует проинтегрировать соответствующую систему уравнений, где величина
может быть переменной.
- Гражданский кодекс (ГК РФ)
- Жилищный кодекс (ЖК РФ)
- Налоговый кодекс (НК РФ)
- Трудовой кодекс (ТК РФ)
- Уголовный кодекс (УК РФ)
- Бюджетный кодекс (БК РФ)
- Арбитражный процессуальный кодекс
- Конституция РФ
- Земельный кодекс (ЗК РФ)
- Лесной кодекс (ЛК РФ)
- Семейный кодекс (СК РФ)
- Уголовно-исполнительный кодекс
- Уголовно-процессуальный кодекс
- Производственный календарь на 2025 год
- МРОТ 2026
- ФЗ «О банкротстве»
- О защите прав потребителей (ЗОЗПП)
- Об исполнительном производстве
- О персональных данных
- О налогах на имущество физических лиц
- О средствах массовой информации
- Производственный календарь на 2026 год
- Федеральный закон "О полиции" N 3-ФЗ
- Расходы организации ПБУ 10/99
- Минимальный размер оплаты труда (МРОТ)
- Календарь бухгалтера на 2026 год
- Частичная мобилизация: обзор новостей
- Постановление Правительства РФ N 1875
, (П3.1)
, (П3.2)
. (П3.3)
, (П3.4)
, (П3.5)
, (П3.6)
, м/с2; (П3.7)
, м/с; (П3.8)
, м. (П3.9)
. (П3.10)