к Руководству по безопасности
"Методика оценки риска аварий на
опасных производственных объектах
магистрального трубопроводного
транспорта газа", утвержденному
приказом Федеральной службы по
экологическому, технологическому
и атомному надзору
от 22 декабря 2022 г. N 454
1. Параметры (размеры) облака газа в приземном слое оцениваются консервативно по распределению концентрации в свободной, не взаимодействующей с окружающим загромождением, струе газа, истекающей в критическом режиме. Такой подход позволяет консервативно оценить протяженность зоны загазованности.
2. Для критических условий (М = 1 - число Маха) аварийного истечения газа из конца разорванного участка газопровода (в аварийном выходном сечении участка газопровода, индекс "E") с учетом параметров в разрушенном газопроводе определяются следующие газодинамические параметры потока: скорость uE равная местной скорости звука aE, плотность
, давление pE. Данные величины могут быть рассчитаны в приложении N 7 Руководства и использоваться в данном приложении в качестве начальных параметров расчета характеристик газового облака.
3. После выходного сечения на определенном участке (в пределах нескольких диаметров трубы) при превышении статическим давлением на срезе трубы атмосферного давления происходит изоэнтропическое расширение газа с разгоном потока до сверхзвуковых скоростей (М > 1) и формированием системы скачков уплотнения (без изменения расходных характеристик в образующемся струйном течении) с потерей полного давления. В конце данного участка давление в поперечной плоскости течения (ударной плоскости) выравнивается и становится равным атмосферному. Параметры именно в этой плоскости: температура Ts, число Маха Мs, плотность
и диаметр эквивалентного сечения струи ds в ударной плоскости - используются при расчете процесса рассеяния струи (пункт 4 настоящего приложения).
Для определения перечисленных выше параметров в ударно-волновой плоскости (параметры с индексом "s") рекомендуется использовать методы численного моделирования, в том числе на основе решения уравнений, представленных в Руководстве по безопасности "Методика оценки последствий аварий на взрывопожароопасных химических производствах", утвержденном приказом Ростехнадзора от 28 ноября 2022 г. N 415.
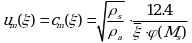
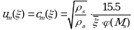
4. Распределение скорости и объемной концентрации по осевой
координате на расстояниях, существенно превышающих длину участка расширения, описывается функциями:
для струй, распространяющихся в неограниченном воздушном пространстве:
для настильных струй, распространяющихся вдоль поверхности земли:
где
- плотность атмосферного воздуха, а функция
определяется как:
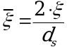
Безразмерная координата
определяется из соотношения:
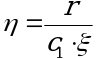
5. Распределение скорости и концентрации в поперечном к оси струи направлении r задаются зависимостями:
значение c1 принимается равным
(рекомендуется c1 = 0.22).
Рис. 1. Параметры свободного струйного истечения природного газа из одного конца поврежденного газопровода
6. Пример результатов расчета. На рисунке 1 приведены результаты расчета длины и полуширины струи, соответствующих НКПР метана, при свободном истечении при сверхкритических параметрах в неподвижную атмосферу из одного конца поврежденного МГ диаметром 1420 мм с максимальным рабочим давлением 7,5 МПа при разрыве посередине перегона между КС длиной 120 км.
Из полученных результатов видно, что максимальная длина (по оси струи) зоны загазованности при выбросе из МГ большого диаметра не превышает 800 - 900 м. С учетом того, что при независимом выбросе струй из двух концов участка разрыва они будут ориентированы вдоль исходной оси МГ с возможным отклонением от нее (по оценкам) не более чем на 15 - 20°, потенциально опасная (воспламеняемая) зона загазованности не выходит за пределы нормативных разрывов между МГ и населенными пунктами.
Описанный выше подход позволяет оценить лишь протяженность максимальных зон загазованности (консервативный подход). Для более точного расчета реальных ситуаций, связанных с образованием зон загазованности, и определения реалистичных зон поражения необходимо использовать подходы, учитывающие нестационарность процессов, взаимодействие струй друг с другом, с землей и с загроможденным окружающим пространством. С этой целью рекомендуется использовать методы численного моделирования, в том числе на основе решения уравнений, представленных в Руководстве по безопасности "Методика оценки последствий аварий на взрывопожароопасных химических производствах", утвержденном приказом Ростехнадзора от 28 ноября 2022 г. N 415.
- Гражданский кодекс (ГК РФ)
- Жилищный кодекс (ЖК РФ)
- Налоговый кодекс (НК РФ)
- Трудовой кодекс (ТК РФ)
- Уголовный кодекс (УК РФ)
- Бюджетный кодекс (БК РФ)
- Арбитражный процессуальный кодекс
- Конституция РФ
- Земельный кодекс (ЗК РФ)
- Лесной кодекс (ЛК РФ)
- Семейный кодекс (СК РФ)
- Уголовно-исполнительный кодекс
- Уголовно-процессуальный кодекс
- Производственный календарь на 2025 год
- МРОТ 2026
- ФЗ «О банкротстве»
- О защите прав потребителей (ЗОЗПП)
- Об исполнительном производстве
- О персональных данных
- О налогах на имущество физических лиц
- О средствах массовой информации
- Производственный календарь на 2026 год
- Федеральный закон "О полиции" N 3-ФЗ
- Расходы организации ПБУ 10/99
- Минимальный размер оплаты труда (МРОТ)
- Календарь бухгалтера на 2026 год
- Частичная мобилизация: обзор новостей
- Постановление Правительства РФ N 1875
; (1)
, (2)
, (3)
(4)
, (5)
, (6)
;