Приложение N 9

к руководству по безопасности

при использовании атомной энергии

"Рекомендации к обоснованию

остаточного ресурса строительных

конструкций объектов использования

атомной энергии", утвержденному

приказом Федеральной службы

по экологическому, технологическому

и атомному надзору

от 7 декабря 2020 г. N 502

РЕКОМЕНДАЦИИ
ПО РАСЧЕТУ ОСТАТОЧНОГО РЕСУРСА ПО СТАТИЧЕСКОЙ ПРОЧНОСТИ
СТРОИТЕЛЬНЫХ КОНСТРУКЦИЙ ЗИС

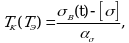
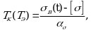
Остаточный ресурс рекомендуется определять по критерию предельного состояния - допускаемому напряжению, который составляет:

Рисунок 15

(1)

где:

Рисунок 16 - предел прочности на момент проведения обследования;

Рисунок 17 - предел прочности по расчету;

Рисунок 18 - скорость снижения механических свойств.

Скорость снижения механических свойств:

Рисунок 19

(2)

где:

Рисунок 20 - нормативный предел прочности;

t - время от начала эксплуатации до момента проведения обследования.