Указание Банка России от 07.10.2014 N 3413-У (ред. от 23.07.2021) "О порядке определения расчетной стоимости финансовых инструментов срочных сделок, не обращающихся на организованных торгах, в целях главы 25 Налогового кодекса Российской Федерации" (Зарегистрировано в Минюсте России 30.10.2014 N 34533)
Зарегистрировано в Минюсте России 30 октября 2014 г. N 34533
ЦЕНТРАЛЬНЫЙ БАНК РОССИЙСКОЙ ФЕДЕРАЦИИ
от 7 октября 2014 г. N 3413-У
ОПРЕДЕЛЕНИЯ РАСЧЕТНОЙ СТОИМОСТИ ФИНАНСОВЫХ ИНСТРУМЕНТОВ
СРОЧНЫХ СДЕЛОК, НЕ ОБРАЩАЮЩИХСЯ НА ОРГАНИЗОВАННЫХ ТОРГАХ,
В ЦЕЛЯХ ГЛАВЫ 25 НАЛОГОВОГО КОДЕКСА РОССИЙСКОЙ ФЕДЕРАЦИИ
Список изменяющих документов
(в ред. Указания Банка России от 23.07.2021 N 5867-У)
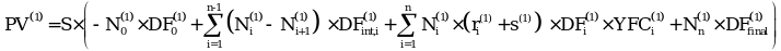
Банк России в соответствии с пунктом 2 статьи 305 Налогового кодекса Российской Федерации (Собрание законодательства Российской Федерации, 2000, N 32, ст. 3340) и Федеральным законом от 10 июля 2002 года N 86-ФЗ "О Центральном банке Российской Федерации (Банке России)" (Собрание законодательства Российской Федерации, 2002, N 28, ст. 2790; 2003, N 2, ст. 157; N 52, ст. 5032; 2004, N 27, ст. 2711; N 31, ст. 3233; 2005, N 25, ст. 2426; N 30, ст. 3101; 2006, N 19, ст. 2061; N 25, ст. 2648; 2007, N 1, ст. 9, ст. 10; N 10, ст. 1151; N 18, ст. 2117; 2008, N 42, ст. 4696, ст. 4699; N 44, ст. 4982; N 52, ст. 6229, ст. 6231; 2009, N 1, ст. 25; N 29, ст. 3629; N 48, ст. 5731; 2010, N 45, ст. 5756; 2011, N 7, ст. 907; N 27, ст. 3873; N 43, ст. 5973; N 48, ст. 6728; 2012, N 50, ст. 6954; N 53, ст. 7591, ст. 7607; 2013, N 11, ст. 1076; N 14, ст. 1649; N 19, ст. 2329; N 27, ст. 3438, ст. 3476, ст. 3477; N 30, ст. 4084; N 49, ст. 6336; N 51, ст. 6695, ст. 6699; N 52, ст. 6975; 2014, N 19, ст. 2311, ст. 2317; N 27, ст. 3634; N 30, ст. 4219) устанавливает порядок определения расчетной стоимости финансовых инструментов срочных сделок, не обращающихся на организованных торгах, которые в соответствии с требованиями пункта 3 статьи 301 Налогового кодекса Российской Федерации не признаются обращающимися на организованном рынке (далее - необращающиеся финансовые инструменты срочных сделок).
1. Расчетная стоимость необращающегося финансового инструмента срочных сделок определяется исходя из:
цены, определенной в соответствии с пунктом 3 настоящего Указания, или
расчетной цены, определенной налогоплательщиком в соответствии с пунктом 4 настоящего Указания, или
цены финансового инструмента срочных сделок, определенной оценщиком, или
в случаях, предусмотренных настоящим Указанием, цены финансового инструмента, определенной по методике, установленной в учетной политике налогоплательщика для целей налогообложения.
2. Налогоплательщик вправе самостоятельно устанавливать в учетной политике для целей налогообложения методику определения расчетной стоимости необращающихся финансовых инструментов срочных сделок, условия которых не позволяют определить их расчетную стоимость в соответствии с пунктами 3 и 4 настоящего Указания.
3. Цена, исходя из которой определяется расчетная стоимость финансового инструмента срочных сделок, определяется одним из следующих способов.
3.1. Как средневзвешенная цена такого же финансового инструмента срочных сделок, определенная по итогам торгов на российской бирже (далее - биржевой финансовый инструмент срочных сделок) в день совершения налогоплательщиком операции с финансовым инструментом срочных сделок.
При этом таким же договором, являющимся финансовым инструментом срочных сделок, считается договор, являющийся финансовым инструментом срочных сделок того же вида, с тем же базисным (базовым) активом, с той же датой окончания срока исполнения договора, а также, если это опционный договор (контракт), - той же ценой исполнения.
В случае если средневзвешенная цена биржевого финансового инструмента срочных сделок была рассчитана более чем на одной бирже, налогоплательщик вправе использовать для определения расчетной стоимости финансового инструмента срочных сделок средневзвешенную цену, сложившуюся на любой из этих бирж.
3.2. Как цена закрытия по такому же финансовому инструменту срочных сделок, сложившаяся по итогам торгов на иностранной бирже (далее - иностранный биржевой финансовый инструмент срочных сделок) в день совершения налогоплательщиком операции с финансовым инструментом срочных сделок, а в случае отсутствия цены закрытия - средневзвешенная или иная цена, используемая для переоценки финансового инструмента срочных сделок, раскрываемая в соответствии с личным законом указанной иностранной биржи.
В случае если цена закрытия рынка иностранного биржевого финансового инструмента срочных сделок была рассчитана более чем на одной иностранной бирже, налогоплательщик вправе использовать для определения расчетной цены финансового инструмента срочных сделок цену закрытия по такому же финансовому инструменту срочных сделок, сложившуюся на любой из этих бирж.
3.3. Как среднее арифметическое значение цен, содержащихся в предложениях (в том числе и в парных предложениях противоположной направленности) заключить такие же договоры, являющихся финансовыми инструментами срочных сделок, объявленных кредитными организациями, брокерами, дилерами, и (или) управляющими, и (или) иностранными организациями, имеющими аналогичный статус и отвечающими требованиям, установленным подпунктом 1 пункта 2 статьи 51.1 Федерального закона от 22 апреля 1996 года N 39-ФЗ "О рынке ценных бумаг" (Собрание законодательства Российской Федерации, 1996, N 17, ст. 1918; 2001, N 33, ст. 3424; 2002, N 52, ст. 5141; 2004, N 27, ст. 2711; N 31, ст. 3225; 2005, N 11, ст. 900; N 25, ст. 2426; 2006, N 1, ст. 5; N 2, ст. 172; N 17, ст. 1780; N 31, ст. 3437; N 43, ст. 4412; 2007, N 1, ст. 45; N 18, ст. 2117; N 22, ст. 2563; N 41, ст. 4845; N 50, ст. 6247, ст. 6249; 2008, N 52, ст. 6221; 2009, N 1, ст. 28; N 18, ст. 2154; N 23, ст. 2770; N 29, ст. 3642; N 48, ст. 5731; N 52, ст. 6428; 2010, N 17, ст. 1988; N 31, ст. 4193; N 41, ст. 5193; 2011, N 7, ст. 905; N 23, ст. 3262; N 27, ст. 3880; N 29, ст. 4291; N 48, ст. 6728; N 49, ст. 7040; N 50, ст. 7357; 2012, N 25, ст. 3269; N 31, ст. 4334; N 53, ст. 7607; 2013, N 26, ст. 3207; N 30, ст. 4043, ст. 4082, ст. 4084; N 51, ст. 6699; N 52, ст. 6985; 2014, N 30, ст. 4219).
Для определения расчетной стоимости необращающегося финансового инструмента срочных сделок могут быть использованы значения цен, содержащиеся в предложениях заключить договоры, адресованные как неограниченному, так и ограниченному кругу лиц, в том числе налогоплательщику по его запросу. При этом количество организаций, объявивших указанные цены, используемые для определения расчетной стоимости финансового инструмента срочных сделок, должно быть не менее трех. Налогоплательщик вправе установить в учетной политике для целей налогообложения перечень организаций, цены которых используются для определения расчетной стоимости необращающихся финансовых инструментов срочных сделок, в том числе для определения расчетной стоимости отдельных видов таких инструментов.
Для определения расчетной стоимости необращающегося финансового инструмента срочных сделок используются цены, объявленные в дату совершения налогоплательщиком операции с финансовым инструментом срочных сделок.
Способ оформления предложения о заключении договоров, используемых для определения расчетной цены, устанавливается налогоплательщиком в учетной политике для целей налогообложения.
3.4. Как цена такого же необращающегося финансового инструмента срочных сделок, раскрытая информационным агентством "Рефинитив" (Refinitiv), информационным агентством "Блумберг" (Bloomberg), рассчитанная по итогам дня, в который налогоплательщик совершил операцию с финансовым инструментом срочных сделок.
(в ред. Указания Банка России от 23.07.2021 N 5867-У)
(см. текст в предыдущей редакции)
3.5. Как цена такого же необращающегося финансового инструмента срочных сделок, определенная с использованием типовых моделей расчета цен финансовых инструментов срочных сделок, реализованных информационным агентством "Рефинитив" (Refinitiv) или информационным агентством "Блумберг" (Bloomberg).
(в ред. Указания Банка России от 23.07.2021 N 5867-У)
(см. текст в предыдущей редакции)
При расчете цены необращающегося финансового инструмента срочных сделок с использованием типовых моделей информационных систем информационного агентства "Рефинитив" (Refinitiv) или информационного агентства "Блумберг" (Bloomberg) налогоплательщик должен использовать значения процентных ставок, курса иностранной валюты, иных показателей, сложившихся на дату совершения налогоплательщиком операции с финансовым инструментом срочных сделок, с учетом риска по финансовому инструменту срочных сделок и срока исполнения обязательств по соответствующему договору.
(в ред. Указания Банка России от 23.07.2021 N 5867-У)
(см. текст в предыдущей редакции)
4. Расчетная цена, исходя из которой может быть определена расчетная стоимость необращающегося финансового инструмента срочных сделок, определяется в соответствии с настоящим пунктом.
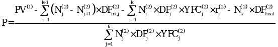
4.1. Расчетная цена форвардного договора (контракта), базисным (базовым) активом которого является товар, за исключением драгоценных металлов, рассчитывается по следующей формуле:
P - расчетная цена форвардного контракта;
S - текущая цена товара на дату заключения форвардного договора (контракта), определяемая в соответствии с пунктом 7 настоящего Указания;
Z - сумма обратно дисконтированных затрат на хранение товара, рассчитанная на дату заключения форвардного договора (контракта);
DF - дисконтный фактор для валюты, в которой выражена цена товара, определяемый по формуле:
r - процентная ставка, рассчитанная в соответствии с учетной политикой налогоплательщика для целей налогообложения, на основании индикаторов (котировок) SOFR (обеспеченная ставка овернайт в долларах США), ESTR (краткосрочная ставка в евро), SONIA (средняя ставка овернайт в фунтах стерлингов), TONAR (средняя ставка овернайт в японских иенах), SARON (средняя ставка овернайт в швейцарских франках), RUONIA, RUSFAR (процентные ставки в российских рублях), своп-договоров (контрактов), форвардных договоров (контрактов) или фьючерсных договоров (контрактов), базисным (базовым) активом которых является процентная ставка, и (или) иных индикаторов процентных ставок (в долях единицы), соответствующих сроку исполнения форвардного договора (контракта);
(в ред. Указания Банка России от 23.07.2021 N 5867-У)
(см. текст в предыдущей редакции)
YFC - срок исполнения форвардного договора (контракта) в годах, рассчитанный исходя из количества календарных дней в году, применяемого для расчета процентных ставок в отношении соответствующей валюты (далее - финансовая база), в которой выражена цена товара.
4.2. Расчетная цена форвардного договора (контракта), базисным (базовым) активом которого является драгоценный металл, рассчитывается по следующей формуле:
P - расчетная цена форвардного договора (контракта);
S - текущая цена драгоценного металла на дату заключения форвардного договора (контракта), определяемая в соответствии с пунктом 7 настоящего Указания;
DF - дисконтный фактор для валюты, в которой выражена цена драгоценного металла, определяемый в соответствии с подпунктом 4.1.2 настоящего пункта;
- дисконтный фактор для соответствующего драгоценного металла, определяемый по формуле:
- ставка доходности по банковским вкладам (в долях единицы), которые размещаются на срок форвардного договора (контракта) и сумма требований по которым определяется исходя из текущей стоимости драгоценного металла. При этом указанная ставка доходности определяется в соответствии с учетной политикой налогоплательщика для целей налогообложения на дату заключения форвардного договора (контракта);
- срок исполнения форвардного договора (контракта) в годах, рассчитанный по финансовой базе драгоценного металла.
4.3. Расчетная цена форвардного договора (контракта), базисным (базовым) активом которого является ценная бумага, рассчитывается по следующей формуле:
P - расчетная цена форвардного договора (контракта);
S - текущая цена ценной бумаги, определенная в соответствии с пунктом 5 или 6 настоящего Указания;
DF - дисконтный фактор для валюты, в которой выражена цена ценной бумаги, определяемый в соответствии с подпунктом 4.1.2 настоящего пункта;
d - сумма обратно дисконтированных на дату заключения форвардного договора (контракта) дивидендов, процентов или иного дохода по ценной бумаге, который должен быть выплачен эмитентом ценной бумаги (лицом, обязанным по ценной бумаге) до истечения срока исполнения форвардного договора (контракта). Если доход по ценной бумаге выплачивается не денежными средствами, а иным имуществом, текущая цена такого имущества для целей величины "d" определяется в валюте, в которой выражена цена этой ценной бумаги, в соответствии с пунктами 5 и 6 настоящего Указания (в зависимости от вида иного имущества) либо иным образом в соответствии с пунктом 9 настоящего Указания.
4.4. Расчетная цена форвардного договора (контракта), базисным (базовым) активом которого является иностранная валюта, рассчитывается по следующей формуле:
P - расчетная цена форвардного договора (контракта);
S - курс валюты, являющейся базисным (базовым) активом форвардного договора (контракта), выраженный в валюте платежа по этому договору (контракту) в соответствии с пунктом 8 настоящего Указания;
- дисконтный фактор для валюты, являющейся базисным (базовым) активом форвардного договора (контракта), определяемый в соответствии с подпунктом 4.1.2 настоящего пункта;
- дисконтный фактор для валюты платежа по форвардному договору (контракту), определяемый в соответствии с подпунктом 4.1.2 настоящего пункта.
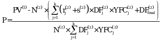
4.5. Расчетная цена своп-договора (контракта), по условиям которого одна сторона уплачивает другой стороне денежные суммы, рассчитанные исходя из номинальной суммы и процентной ставки, величина которой поставлена в зависимость от обстоятельств, в отношении которых неизвестно, наступят они или не наступят, предусмотренных этим договором (контрактом) (далее - плавающая ставка процента), и фиксированного спреда к этой ставке, в случае если спред предусмотрен условиями договора (контракта), а другая сторона уплачивает первой стороне денежные суммы, рассчитанные исходя из номинальной суммы и процентной ставки, величина которой установлена этим договором (контрактом) (далее - фиксированная ставка процента), рассчитывается по следующей формуле:
P - расчетная цена (фиксированная ставка процента) своп-договора (контракта) (в долях единицы);
N - номинальная сумма своп-договора (контракта);
n - количество выплат (процентных периодов) по фиксированной ставке процента до истечения срока договора (контракта);
- дисконтный фактор для валюты своп-договора (контракта) на дату окончания i-го процентного периода выплат по фиксированной ставке процента, определяемый в соответствии с подпунктом 4.1.2 настоящего пункта;
- срок i-го процентного периода выплат по фиксированной ставке процента в годах, рассчитанный по финансовой базе валюты своп-договора (контракта);
- дисконтированная стоимость платежей по плавающей ставке процента, которая рассчитывается по следующей формуле:
k - количество выплат (процентных периодов) по плавающей ставке процента до истечения срока договора (контракта);
- дисконтный фактор для валюты своп-договора (контракта) на дату окончания j-го процентного периода выплат по плавающей ставке процента, определяемый в соответствии с подпунктом 4.1.2 настоящего пункта;
- срок j-го процентного периода выплат по плавающей ставке процента в годах, рассчитанный по финансовой базе валюты своп-договора (контракта);
- определенное в соответствии с учетной политикой налогоплательщика для целей налогообложения расчетное значение плавающей ставки процента на j-й процентный период выплат по плавающей ставке процента (в долях единицы) на основании индикаторов (котировок) SOFR (обеспеченная ставка овернайт в долларах США), ESTR (краткосрочная ставка в евро), SONIA (средняя ставка овернайт в фунтах стерлингов), TONAR (средняя ставка овернайт в японских иенах), SARON (средняя ставка овернайт в швейцарских франках), RUONIA, RUSFAR (процентные ставки в российских рублях), форвардных договоров (контрактов), фьючерсных договоров (контрактов), базисным (базовым) активом которых является процентная ставка, и (или) иных индикаторов процентных ставок (в долях единицы);
(в ред. Указания Банка России от 23.07.2021 N 5867-У)
(см. текст в предыдущей редакции)
N - номинальная сумма своп-договора (контракта);
s - установленное своп-договором (контрактом) значение фиксированного спреда к плавающей ставке (в долях единицы).
4.6. Расчетная цена амортизируемого своп-договора (контракта), по условиям которого одна сторона уплачивает другой стороне денежные суммы, рассчитанные исходя из амортизируемой номинальной суммы и плавающей ставки процента, предусмотренных этим договором (контрактом), и фиксированного спреда к этой ставке, в случае если спред предусмотрен условиями договора (контракта), а другая сторона уплачивает первой стороне денежные суммы, рассчитанные исходя из амортизируемой номинальной суммы и фиксированной ставки, предусмотренных этим договором (контрактом), рассчитывается по следующей формуле:
P, n,
,
- величины, предусмотренные подпунктом 4.5 настоящего пункта;
- номинальная сумма своп-договора (контракта) на начало i-го процентного периода по фиксированной ставке процента;
- дисконтированная стоимость платежей по плавающей ставке процента, которая рассчитывается по следующей формуле:
- номинальная сумма своп-договора (контракта) на начало j-го процентного периода по плавающей ставке процента;
k,
,
,
, s - величины, предусмотренные подпунктом 4.5 настоящего пункта.
4.7. Расчетная цена своп-договора (контракта), базисным (базовым) активом которого является иностранная валюта, определяется одним из следующих способов.
4.7.1. Как разница между курсом валюты на более позднюю дату валютирования (дату, в которую каждая из сторон по договору обязана обеспечить зачисление денежных средств по договору (контракту) на счет другой стороны) и курсом валюты на более раннюю дату валютирования:
P - расчетная цена своп-договора (контракта);
S - курс первой валюты, являющейся базисным (базовым) активом своп-договора (контракта), выраженный во второй валюте, являющейся базисным (базовым) активом этого договора (контракта) в соответствии с пунктом 8 настоящего Указания;
- дисконтный фактор по первой валюте на более раннюю дату валютирования, определяемый в соответствии с подпунктом 4.1.2 настоящего пункта;
- дисконтный фактор по второй валюте на более раннюю дату валютирования, определяемый в соответствии с подпунктом 4.1.2 настоящего пункта;
- дисконтный фактор по первой валюте на более позднюю дату валютирования, определяемый в соответствии с подпунктом 4.1.2 настоящего пункта;
- дисконтный фактор по второй валюте на более позднюю дату валютирования, определяемый в соответствии с подпунктом 4.1.2 настоящего пункта.
4.7.2. Как курс валюты на более позднюю дату валютирования:
P - расчетная цена своп-договора (контракта);
- фактический курс первой валюты, установленный в договоре на более раннюю дату валютирования;
S - курс первой валюты, являющейся базисным (базовым) активом своп-договора (контракта), выраженный во второй валюте этого договора (контракта) в соответствии с пунктом 8 настоящего Указания;
- дисконтный фактор по первой валюте на более раннюю дату валютирования, определяемый в соответствии с подпунктом 4.1.2 настоящего пункта;
- дисконтный фактор по второй валюте на более раннюю дату валютирования, определяемый в соответствии с подпунктом 4.1.2 настоящего пункта;
- дисконтный фактор по первой валюте на более позднюю дату валютирования, определяемый в соответствии с подпунктом 4.1.2 настоящего пункта;
- дисконтный фактор по второй валюте на более позднюю дату валютирования, определяемый в соответствии с подпунктом 4.1.2 настоящего пункта.
4.8. Расчетная цена своп-договора (контракта), базисным (базовым) активом которого являются иностранная валюта и ставка процента, по условиям которого стороны уплачивают друг другу денежные суммы, рассчитанные исходя из предусмотренных этим договором (контрактом) двух номинальных сумм, выраженных в разных валютах, фиксированных ставок процента и (или) плавающих ставок процента и фиксированного спреда в соответствующих валютах, в случае если спред предусмотрен условиями договора (контракта), а также осуществляют приобретение (продажу) номинальной суммы в первой валюте за номинальную сумму во второй валюте с последующей продажей (приобретением) номинальной суммы в первой валюте за номинальную сумму во второй валюте, рассчитывается по следующим формулам:
если условия своп-договора (контракта) предполагают уплату денежных сумм, рассчитанных исходя из номинальной суммы, выраженной во второй валюте, и фиксированной ставки процента (в долях единицы) во второй валюте, где P - расчетная цена в виде фиксированной ставки процента по второй валюте своп-договора (контракта) (в долях единицы);
если условия своп-договора (контракта) предполагают уплату денежных сумм, рассчитанных исходя из номинальной суммы, выраженной во второй валюте, и плавающей процентной ставки (в долях единицы), и фиксированного спреда во второй валюте, где P - расчетная цена в виде значения фиксированного спреда к плавающей ставке по второй валюте своп-договора (контракта);
и при этом в вышеуказанных формулах:
- номинальная сумма во второй валюте;
,
,
- дисконтные факторы по второй валюте, определяемые в соответствии с подпунктом 4.1.2 настоящего пункта соответственно на дату приобретения (продажи) номинальной суммы, выраженной во второй валюте за номинальную сумму, выраженную в первой валюте, на дату окончания j-го процентного периода и на дату последующей продажи (приобретения) номинальной суммы, выраженной во второй валюте за номинальную сумму, выраженную в первой валюте;
k - количество выплат (процентных периодов) по второй валюте до истечения срока своп-договора (контракта);
- срок j-го процентного периода выплат по второй валюте в годах, рассчитанный по финансовой базе второй валюты;
- определенное в соответствии с учетной политикой налогоплательщика для целей налогообложения расчетное значение плавающей ставки процента по второй валюте на j-й процентный период (в долях единицы) на основании индикаторов (котировок) SOFR (обеспеченная ставка овернайт в долларах США), ESTR (краткосрочная ставка в евро), SONIA (средняя ставка овернайт в фунтах стерлингов), TONAR (средняя ставка овернайт в японских иенах), SARON (средняя ставка овернайт в швейцарских франках), RUONIA, RUSFAR (процентные ставки в российских рублях), форвардных договоров (контрактов), фьючерсных договоров (контрактов), базисным (базовым) активом которых является процентная ставка, и (или) иных индикаторов процентных ставок (в долях единицы);
(в ред. Указания Банка России от 23.07.2021 N 5867-У)
(см. текст в предыдущей редакции)
- дисконтированная стоимость платежей по первой валюте, которая рассчитывается в соответствии с подпунктами 4.8.2 и 4.8.3 настоящего пункта.
4.8.2. Если условия своп-договора (контракта) предусматривают уплату денежных сумм, рассчитанных на основании номинальной суммы, выраженной в первой валюте, и фиксированной ставки процента (в долях единицы) в первой валюте, дисконтированная стоимость платежей по первой валюте рассчитывается по следующей формуле:
- номинальная сумма, выраженная в первой валюте;
S - курс первой валюты, выраженный во второй валюте и определяемый в соответствии с пунктом 8 настоящего Указания;
n - количество выплат (процентных периодов) по первой валюте до истечения срока своп-договора (контракта);
,
,
- дисконтные факторы по первой валюте, определяемые в соответствии с подпунктом 4.1.2 настоящего пункта, соответственно на дату приобретения (продажи) номинальной суммы, выраженной в первой валюте за номинальную сумму, выраженную во второй валюте, на дату окончания i-го процентного периода и на дату последующей продажи (приобретения) номинальной суммы, выраженной в первой валюте за номинальную сумму, выраженную во второй валюте;
- установленное своп-договором (контрактом) значение фиксированной ставки процента по первой валюте;
- срок i-го процентного периода выплат по первой валюте в годах, рассчитанный по финансовой базе первой валюты.
4.8.3. Если условия своп-договора (контракта) предполагают уплату сумм, рассчитанных на основании номинальной суммы, выраженной в первой валюте, плавающей процентной ставки и фиксированного спреда (в долях единицы) в первой валюте, дисконтированная стоимость платежей по первой валюте рассчитывается по следующей формуле:
, S, n,
,
,
,
- величины, предусмотренные подпунктом 4.8.2 настоящего пункта;
- определенное в соответствии с учетной политикой налогоплательщика для целей налогообложения расчетное значение плавающей ставки процента по первой валюте на i-й процентный период (в долях единицы) на основании индикаторов (котировок) SOFR (обеспеченная ставка овернайт в долларах США), ESTR (краткосрочная ставка в евро), SONIA (средняя ставка овернайт в фунтах стерлингов), TONAR (средняя ставка овернайт в японских иенах), SARON (средняя ставка овернайт в швейцарских франках), RUONIA, RUSFAR (процентные ставки в российских рублях), форвардных договоров (контрактов), фьючерсных договоров (контрактов), базисным (базовым) активом которых является процентная ставка, и (или) иных индикаторов процентных ставок (в долях единицы);
(в ред. Указания Банка России от 23.07.2021 N 5867-У)
(см. текст в предыдущей редакции)
- установленное своп-договором (контрактом) значение фиксированного спреда к плавающей ставке по первой валюте (в долях единицы).
4.9. Расчетная цена своп-договора (контракта), базисным (базовым) активом которого являются иностранная валюта и ставка процента, по условиям которого стороны уплачивают друг другу денежные суммы, рассчитанные исходя из предусмотренных своп-договором (контрактом) двух номинальных сумм в разных валютах, фиксированных ставок процента и (или) плавающих ставок процента и фиксированного спреда в соответствующих валютах, в случае если спред предусмотрен условиями договора (контракта), а также осуществляют приобретение (продажу) номинальной суммы в первой валюте за номинальную сумму во второй валюте, рассчитывается по следующим формулам:
если условия своп-договора (контракта) предусматривают уплату денежных сумм, рассчитанных исходя из номинальной суммы, выраженной во второй валюте, и фиксированной ставки процента (в долях единицы) во второй валюте, где P - расчетная цена в виде фиксированной ставки процента по второй валюте своп-договора (контракта); или
если условия своп-договора (контракта) предусматривают уплату денежных сумм, рассчитанных исходя из номинальной суммы, выраженной во второй валюте, и плавающей ставки процента (в долях единицы), и фиксированного спреда во второй валюте, в случае если спред предусмотрен условиями договора (контракта), где P - расчетная цена в виде значения фиксированного спреда к плавающей ставке по второй валюте своп-договора (контракта);
и при этом в вышеуказанных формулах:
, k,
,
,
,
- величины, предусмотренные подпунктом 4.8.1 настоящего пункта;
- дисконтированная стоимость платежей по первой валюте, которая рассчитывается в порядке, предусмотренном подпунктами 4.9.2 и 4.9.3 настоящего пункта.
4.9.2. Если условия своп-договора (контракта) предусматривают уплату денежных сумм по первой валюте, рассчитанных исходя из номинальной суммы, выраженной в первой валюте, и фиксированной ставки процента (в долях единицы) в первой валюте, дисконтированная стоимость платежей по первой валюте рассчитывается по следующей формуле:
, S, n,
,
,
,
- величины, предусмотренные подпунктом 4.8.2 настоящего пункта.
4.9.3. Если условия своп-договора (контракта) предусматривают уплату денежных сумм, рассчитанных исходя из номинальной суммы, выраженной в первой валюте, и плавающей ставки процента, и фиксированного спреда (в долях единицы) в первой валюте, в случае если спред предусмотрен условиями договора (контракта), дисконтированная стоимость платежей по первой валюте рассчитывается по следующей формуле:
, S, n,
,
,
- величины, предусмотренные подпунктом 4.8.2 настоящего пункта;
,
- величины, предусмотренные подпунктом 4.8.3 настоящего пункта.
4.10. Расчетная цена амортизируемого своп-договора (контракта), базисным (базовым) активом которого являются иностранная валюта и ставка процента, по условиям которого стороны уплачивают друг другу денежные суммы, рассчитанные исходя из предусмотренных договором (контрактом) двух амортизируемых номинальных сумм в разных валютах, фиксированных и (или) плавающих ставок процента, и фиксированного спреда в соответствующих валютах, в случае если спред предусмотрен условиями договора (контракта), а также осуществляют приобретение (продажу) номинальной суммы, выраженной в первой валюте за номинальную сумму, выраженную во второй валюте, с учетом обеих номинальных сумм, с последующей продажей (приобретением) номинальной суммы, выраженной в первой валюте за номинальную сумму, выраженную во второй валюте на условиях рассрочки оплаты, рассчитывается по следующим формулам:
если условия своп-договора (контракта) предусматривают уплату денежных сумм, рассчитанных исходя из номинальной суммы, выраженной во второй валюте, и фиксированной ставки процента (в долях единицы) во второй валюте, где P - расчетная цена в виде фиксированной ставки процента по второй валюте своп-договора (контракта); или
если условия своп-договора (контракта) предусматривают уплату денежных сумм, рассчитанных исходя из номинальной суммы, выраженной во второй валюте, и плавающей ставки процента и фиксированного спреда (в долях единицы) во второй валюте, в случае если спред предусмотрен условиями договора (контракта), где P - расчетная цена в виде значения фиксированного спреда к плавающей ставке по второй валюте своп-договора (контракта);
и при этом в вышеуказанных формулах:
k,
,
,
,
- величины, предусмотренные подпунктом 4.8.1 настоящего пункта;
,
,
,
- номинальная сумма, выраженная во второй валюте на начало j-го, (j + 1)-го, начального и k-го процентного периода, по второй валюте;
и
- дисконтные факторы по второй валюте (в долях единицы), определяемые в соответствии с подпунктом 4.1.2 настоящего пункта соответственно на дату j-го платежа, осуществляемого при продаже (приобретении) номинальной суммы, выраженной во второй валюте, за номинальную сумму, выраженную в первой валюте, с учетом амортизации на условиях рассрочки, и на дату окончательного платежа, осуществляемого при продаже (приобретении) номинальной суммы, выраженной во второй валюте за номинальную сумму, выраженную в первой валюте, с учетом амортизации;
- дисконтированная стоимость платежей, осуществляемых в первой валюте, которая рассчитывается в порядке, предусмотренном подпунктами 4.10.2 и 4.10.3 настоящего пункта;
- установленное своп-договором (контрактом) значение фиксированного спреда к плавающей ставке по второй валюте (в долях единицы).
4.10.2. Если условия своп-договора (контракта) предусматривают уплату денежных сумм, рассчитанных исходя из номинальной суммы, выраженной в первой валюте, и фиксированной ставки процента (в долях единицы) в первой валюте, дисконтированная стоимость платежей, осуществляемых в первой валюте, рассчитывается по следующей формуле:
S, n,
,
,
,
- величины, предусмотренные подпунктом 4.8.2 настоящего пункта;
и
- дисконтные факторы по первой валюте (в долях единицы), определяемые в соответствии с подпунктом 4.1.2 настоящего пункта соответственно на дату i-го платежа, осуществляемого при продаже (приобретении) номинальной суммы, выраженной в первой валюте, за номинальную сумму, выраженную во второй валюте, с учетом амортизации, и на дату окончательного платежа, осуществляемого при продаже (приобретении) номинальной суммы, выраженной в первой валюте за номинальную сумму, выраженную во второй валюте, с учетом амортизации;
,
,
,
- номинальная сумма, выраженная в первой валюте на начало i-го, (i + 1)-го, начального и n-го процентного периода, по первой валюте.
4.10.3. Если условия своп-договора (контракта) предусматривают уплату денежных сумм, рассчитанных исходя из номинальной суммы, выраженной в первой валюте, и плавающей ставки процента (в долях единицы) в первой валюте, дисконтированная стоимость платежей, осуществляемая в первой валюте, рассчитывается по следующей формуле:
S, n,
,
,
- величины, предусмотренные подпунктом 4.8.2 настоящего пункта;
- величина, предусмотренная подпунктом 4.8.3 настоящего пункта;
,
,
,
,
,
- величины, предусмотренные подпунктом 4.10.2 настоящего пункта;
- значение фиксированного спреда к плавающей ставке (в долях единицы).
4.11. Расчетная цена амортизируемого своп-договора (контракта), базисным (базовым) активом которого являются иностранная валюта и ставка процента, по условиям которого стороны уплачивают друг другу денежные суммы, рассчитанные исходя из предусмотренных договором (контрактом) двух амортизируемых номинальных сумм, выраженных в разных валютах, фиксированных и (или) плавающих ставок процента, и фиксированного спреда в соответствующих валютах, в случае если спред предусмотрен условиями договора (контракта), а также осуществляют приобретение (продажу) номинальной суммы, выраженной в первой валюте, за номинальную сумму, выраженную во второй валюте, с учетом амортизации обеих номинальных сумм, рассчитывается по следующим формулам:
если условия своп-договора (контракта) предусматривают уплату денежных сумм во второй валюте, рассчитанных исходя из номинальной суммы, выраженной во второй валюте, и фиксированной ставки процента (в долях единицы) во второй валюте, в случае если спред предусмотрен условиями договора (контракта), где P - расчетная цена в виде значения фиксированного спреда к плавающей ставке по второй валюте своп-договора (контракта); или
если условия своп-договора (контракта) предусматривают уплату денежных сумм во второй валюте, рассчитанных исходя из номинальной суммы, выраженной во второй валюте, и плавающей ставки процента (в долях единицы) во второй валюте, где P - расчетная цена в виде значения фиксированного спреда к плавающей ставке по второй валюте своп-договора (контракта);
и при этом в обеих вышеуказанных формулах:
k,
,
,
- величины, предусмотренные подпунктом 4.8.1 настоящего пункта;
,
,
,
,
- величины, предусмотренные подпунктом 4.10.1 настоящего пункта;
- дисконтированная стоимость платежей, осуществляемых в первой валюте, которая рассчитывается в порядке, предусмотренном подпунктами 4.11.2 и 4.11.3 настоящего пункта.
4.11.2. Если условия своп-договора (контракта) предусматривают уплату денежных сумм, рассчитанных исходя из номинальной суммы, выраженной в первой валюте, и фиксированной ставки процента (в долях единицы) в первой валюте, дисконтированная стоимость платежей, осуществляемых в первой валюте, рассчитывается по следующей формуле:
S, n,
,
,
- величины, предусмотренные подпунктом 4.8.2 настоящего пункта;
,
,
,
,
- величины, предусмотренные подпунктом 4.10.2 настоящего пункта.
4.11.3. Если условия своп-договора (контракта) предусматривают уплату денежных сумм, рассчитанных исходя из номинальной суммы, выраженной в первой валюте, и плавающей ставки процента и фиксированного спреда (в долях единицы) в первой валюте, в случае если спред предусмотрен условиями договора (контракта), дисконтированная стоимость платежей, осуществляемых в первой валюте, рассчитывается по следующей формуле:
S, n,
,
- величины, предусмотренные подпунктом 4.8.2 настоящего пункта;
,
- величины, предусмотренные подпунктом 4.8.3 настоящего пункта;
,
,
,
,
- величины, предусмотренные подпунктом 4.10.2 настоящего пункта.
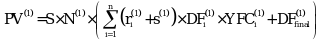
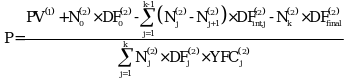
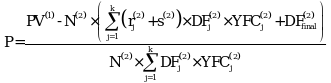
4.12. Расчетная цена опционного договора (контракта), предусматривающего право одной стороны в день или дни, определенные таким договором, требовать от другой стороны продажи (передачи) первой стороне базисного (базового) актива, рассчитывается по следующей формуле:
P - расчетная цена опционного договора (контракта);
DF - дисконтный фактор по валюте, в которой устанавливается цена исполнения опционного договора (контракта), определяемый в соответствии с подпунктом 4.1.2 настоящего пункта;
F - определенная в соответствии с подпунктами 4.1 - 4.4 настоящего пункта расчетная цена форвардного договора (контракта), базисный (базовый) актив и срок исполнения которого является также базисным (базовым) активом и сроком исполнения опционного договора (контракта);
- функция стандартного нормального распределения;
K - цена исполнения опционного договора (контракта);
и
- величины, которые рассчитываются по следующим формулам:
YFC - срок опционного договора (контракта) в годах, рассчитанный по финансовой базе валюты, в которой устанавливается цена исполнения опционного договора (контракта);
- величина волатильности, рассчитанная для базисного (базового) актива опционного договора (контракта) в соответствии с пунктом 10 настоящего Указания.
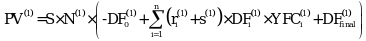
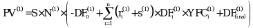
4.13. Расчетная цена опционного договора (контракта), предусматривающего право одной стороны в день или дни, определенные таким договором (контрактом), требовать от другой стороны купить (оплатить) у первой стороны базисный (базовый) актив, рассчитывается по следующей формуле:
P - расчетная цена опционного договора (контракта);
DF - дисконтный фактор по валюте, в которой устанавливается цена исполнения опционного договора (контракта), определяемый в соответствии с подпунктом 4.1.2 настоящего пункта;
F - определенная в соответствии с подпунктами 4.1 - 4.4 настоящего пункта расчетная цена форвардного договора (контракта), базисный (базовый) актив и срок исполнения которого являются также базисным (базовым) активом и сроком исполнения опционного договора (контракта);
- функция стандартного нормального распределения;
K - цена исполнения опционного договора (контракта);
и
- величины, которые рассчитываются по следующим формулам:
YFC - срок опционного контракта в годах, рассчитанный по финансовой базе валюты, в которой устанавливается цена исполнения опционного договора (контракта);
- величина волатильности (вмененная волатильность), рассчитанная для базисного (базового) актива опционного договора (контракта) в соответствии с пунктом 10 настоящего Указания.
5. Текущая цена ценной бумаги, не обращающейся на организованном рынке ценных бумаг, используемая при определении расчетной цены финансовых инструментов срочных сделок, принимается равной расчетной стоимости соответствующей ценной бумаги, определенной в соответствии с Порядком определения расчетной цены ценных бумаг, не обращающихся на организованном рынке ценных бумаг, в целях 25 главы Налогового кодекса Российской Федерации, утвержденным приказом ФСФР России от 9 ноября 2010 года N 10-66/пз-н "Об утверждении Порядка определения расчетной цены ценных бумаг, не обращающихся на организованном рынке ценных бумаг, в целях 25 главы Налогового кодекса Российской Федерации", зарегистрированным Министерством юстиции Российской Федерации 29 ноября 2010 года N 19061 (Российская газета от 1 декабря 2010 года).
6. Текущая цена ценной бумаги, обращающейся на организованном рынке ценных бумаг, используемая при определении расчетной стоимости финансовых инструментов срочных сделок, признается равной:
рыночной цене ценной бумаги, рассчитанной организатором торговли на рынке ценных бумаг, включая биржу, по итогам дня, в который налогоплательщик совершил операцию с финансовым инструментом срочных сделок, - для ценных бумаг, допущенных к торгам российского организатора торговли на рынке ценных бумаг, включая биржу. В случае если рыночная цена ценной бумаги, являющейся базисным (базовым) активом финансового инструмента срочных сделок, была рассчитана более чем одним организатором торговли на рынке ценных бумаг, включая биржу, для определения текущей цены ценной бумаги допускается использование рыночной цены ценной бумаги, рассчитанной любым из этих организаторов торговли, включая биржу;
цене закрытия рынка по ценной бумаге, рассчитанной иностранной фондовой биржей, по итогам дня, в который налогоплательщик совершил операцию с финансовым инструментом срочных сделок, - для ценных бумаг, допущенных к торгам иностранной фондовой биржи. В случае если цена закрытия рынка по ценной бумаге, являющейся базисным (базовым) активом финансового инструмента срочных сделок, была рассчитана более чем одной иностранной фондовой биржей, для определения текущей цены ценной бумаги допускается использование цены закрытия рынка по ценной бумаге, сложившейся на любой из этих иностранных фондовых бирж.
7. Текущая цена соответствующего товара, в том числе драгоценных металлов, используемая для определения расчетной цены финансовых инструментов срочных сделок, равняется одной из следующих цен:
средневзвешенной цене товара, рассчитанной российской биржей по итогам дня, в который налогоплательщик совершил операцию с финансовым инструментом срочных сделок, на основании сделок, предусматривающих обязанность поставить товар не позднее двух дней с даты их заключения (включительно). В случае если средневзвешенная цена товара, являющегося базисным (базовым) активом финансового инструмента срочных сделок, была рассчитана более чем одной биржей, для определения текущей цены товара допускается использование средневзвешенной цены товара, сложившейся на любой из этих бирж;
цене товара на рынке "спот" (spot price, cash price), опубликованной иностранной биржей, иностранным либо российским поставщиком внебиржевых цен на товары (S&P Global, Platts, Argus Media, Refinitiv, LBMA, LEBA, LPPM, CRU, Steel Business Briefing Ltd, Fastmarkets MB), при условии, что российская биржа не осуществляла расчет (раскрытие) средневзвешенной цены товара в соответствующий день. В случае если цена товара на рынке "спот" была опубликована более чем одной иностранной биржей, иностранным либо российским поставщиком внебиржевых цен на товары, то для определения текущей цены товара допускается использование цены товара на рынке "спот", опубликованной любой из этих иностранных бирж, иностранным либо российским поставщиком внебиржевых цен на товары;
(в ред. Указания Банка России от 23.07.2021 N 5867-У)
(см. текст в предыдущей редакции)
текущему курсу (учетным ценам) Банка России, установленному в отношении аффинированных драгоценных металлов;
рыночной стоимости товара, определенной оценщиком, если средневзвешенная цена товара и цена товара на рынке "спот" не рассчитывались российской и иностранной биржами.
8. Если иное не установлено настоящим Указанием, курс иностранной валюты к российскому рублю (другой иностранной валюте), используемый для определения расчетной цены финансовых инструментов срочных сделок, принимает значение официального курса, установленного Банком России на дату совершения налогоплательщиком операции с финансовым инструментом срочных сделок.
В случае отсутствия такого курса курс иностранной валюты может быть определен с использованием установленного Банком России официального курса доллара США по отношению к рублю, действующего на дату совершения налогоплательщиком операции, и курса иностранной валюты по отношению к доллару США на дату, предшествующую дате совершения налогоплательщиком операции.
В качестве курсов иностранных валют по отношению к доллару США могут быть использованы котировки данных валют по отношению к доллару США, представленные в информационных системах "Рефинитив" (Refinitiv) или "Блумберг" (Bloomberg) или опубликованные в газете "Financial Times" (в том числе в их представительствах в информационно-телекоммуникационной сети "Интернет").
(в ред. Указания Банка России от 23.07.2021 N 5867-У)
(см. текст в предыдущей редакции)
9. Налогоплательщик вправе самостоятельно устанавливать в учетной политике для целей налогообложения порядок определения источников данных, а также методики расчета процентных ставок (процентных кривых), используемых для определения расчетной стоимости финансовых инструментов срочных сделок в соответствии с настоящим Указанием.
В случае отсутствия обеспечения исполнения обязательств по финансовому инструменту срочных сделок налогоплательщик вправе корректировать расчетные значения процентных ставок с учетом кредитного риска по финансовому инструменту срочных сделок, рассчитанного на основании изменения рыночной конъюнктуры на день определения расчетной стоимости в соответствии с порядком, установленным в учетной политике для целей налогообложения.
Определение уровня риска по финансовому инструменту срочных сделок может осуществляться налогоплательщиком с привлечением третьих лиц, если это предусмотрено в учетной политике для целей налогообложения.
10. Налогоплательщик вправе самостоятельно устанавливать в учетной политике для целей налогообложения порядок определения источников данных, а также методики расчета величины волатильности, используемой для определения расчетной стоимости финансовых инструментов срочных сделок (в том числе опционных договоров (контрактов) в соответствии с настоящим Указанием.
11. Способы определения расчетной стоимости финансовых инструментов срочных сделок, установленные настоящим Указанием, и условия применения налогоплательщиком указанных способов устанавливаются налогоплательщиком в учетной политике для целей налогообложения.
12. Настоящее Указание вступает в силу по истечении 10 дней после дня его официального опубликования в "Вестнике Банка России".
13. Со дня вступления в силу настоящего Указания не применять приказ ФСФР России от 9 ноября 2010 года N 10-67/пз-н "Об утверждении Порядка определения расчетной стоимости финансовых инструментов срочных сделок, не обращающихся на организованном рынке, в целях 25 главы Налогового кодекса Российской Федерации", зарегистрированный Министерством юстиции Российской Федерации 29 ноября 2010 года N 19063 (Российская газета от 1 декабря 2010 года).
Председатель Центрального банка
Российской Федерации
Э.С.НАБИУЛЛИНА
Министр финансов
Российской Федерации
А.Г.СИЛУАНОВ
- Гражданский кодекс (ГК РФ)
- Жилищный кодекс (ЖК РФ)
- Налоговый кодекс (НК РФ)
- Трудовой кодекс (ТК РФ)
- Уголовный кодекс (УК РФ)
- Бюджетный кодекс (БК РФ)
- Арбитражный процессуальный кодекс
- Конституция РФ
- Земельный кодекс (ЗК РФ)
- Лесной кодекс (ЛК РФ)
- Семейный кодекс (СК РФ)
- Уголовно-исполнительный кодекс
- Уголовно-процессуальный кодекс
- Производственный календарь на 2025 год
- МРОТ 2026
- ФЗ «О банкротстве»
- О защите прав потребителей (ЗОЗПП)
- Об исполнительном производстве
- О персональных данных
- О налогах на имущество физических лиц
- О средствах массовой информации
- Производственный календарь на 2026 год
- Федеральный закон "О полиции" N 3-ФЗ
- Расходы организации ПБУ 10/99
- Минимальный размер оплаты труда (МРОТ)
- Календарь бухгалтера на 2026 год
- Частичная мобилизация: обзор новостей
- Постановление Правительства РФ N 1875
,
,
,
,
,
,
,
,
,
,
,
,
,
,
,
,
,
,
,
,
,
,
,
,
,
,
,
;
,
,
;
,