КонсультантПлюс: примечание.
Федеральным законом от 28.12.2013 N 420-ФЗ с 1 января 2015 года статья 280 НК РФ изложена в новой редакции. О ценных бумагах, которые признаются обращающимися на организованном рынке ценных бумаг, см. пункт 9 статьи 280 НК РФ.
1. Настоящий Порядок определения расчетной цены ценных бумаг, не обращающихся на организованном рынке ценных бумаг (далее - Порядок), устанавливает используемые в целях налогообложения налогом на прибыль организаций способы определения расчетной цены ценных бумаг, не являющихся обращающимися на организованном рынке ценных бумаг в соответствии с пунктом 3 статьи 280 Налогового кодекса Российской Федерации (далее - необращающиеся ценные бумаги).
2. Расчетная цена необращающейся ценной бумаги может быть определена:
как цена, рассчитанная исходя из существующих на рынке ценных бумаг цен этой ценной бумаги в соответствии с пунктом 4 настоящего Порядка;
как цена ценной бумаги, рассчитанная организацией по правилам, предусмотренным пунктами 5 - 19 настоящего Порядка;
как оценочная стоимость ценной бумаги, определенная оценщиком.
3. Если иное не предусмотрено Налоговым кодексом Российской Федерации и настоящим Порядком, расчетная цена необращающейся ценной бумаги определяется организацией исходя из цен, существующих на рынке ценных бумаг (иных значений, используемых для определения расчетной цены), на дату заключения налогоплательщиком сделки с необращающейся ценной бумагой.
4. Расчетная цена, определенная исходя из существующих на рынке ценных бумаг цен этой ценной бумаги, рассчитывается:
4.1. Как средневзвешенная цена предложений о покупке необращающейся ценной бумаги (далее - котировки на покупку), объявленных брокерами, дилерами и (или) управляющими.
Для определения расчетной цены необращающейся иностранной ценной бумаги также могут быть использованы котировки на покупку, объявленные иностранными организациями, имеющими статус, аналогичный российским кредитным организациям, брокерам, дилерам и (или) управляющим на рынке ценных бумаг, и отвечающими требованиям, установленным подпунктом 1 пункта 2 статьи 51.1 Федерального закона от 22.04.1996 N 39-ФЗ <*> "О рынке ценных бумаг".
--------------------------------
<*> Собрание законодательства Российской Федерации, 2002, N 52, ст. 5141; 2009, N 18, ст. 2154.
Для определения расчетной цены необращающейся ценной бумаги могут быть использованы котировки на покупку, адресованные как неограниченному, так и ограниченному кругу лиц, в том числе налогоплательщику по его запросу. При этом количество организаций, объявивших указанные котировки, используемые для определения расчетной цены ценной бумаги, должно быть не менее трех. Налогоплательщик вправе закрепить в учетной политике для целей налогообложения перечень организаций, котировки которых используются для определения расчетной цены необращающихся ценных бумаг, в том числе для определения расчетной цены отдельных видов таких ценных бумаг.
Для определения расчетной цены необращающейся ценной бумаги используются котировки на покупку, объявленные на дату совершения налогоплательщиком сделки с такой ценной бумагой.
4.2. Как цена необращающейся ценной бумаги, рассчитанная на основании котировок на покупку, размещенных в информационной системе, при условии, что:
оператором информационной системы является профессиональный участник рынка ценных бумаг или саморегулируемая организация профессиональных участников рынка ценных бумаг;
хранение информации обо всех объявленных котировках, о лицах, их разместивших, и об условиях, на которых такие котировки были размещены, осуществляется не менее 5 лет с даты размещения котировок необращающихся ценных бумаг;
в информационной системе не могут размещать котировки лица, которые не являются брокерами, дилерами и (или) управляющими;
количество брокеров, дилеров и (или) управляющих, имеющих доступ к информационной системе в режиме размещения котировок необращающихся ценных бумаг, составляет не менее 100;
оператор информационной системы раскрывает на своем сайте в сети Интернет документ (документы), определяющий порядок размещения котировок, правила получения доступа к информационной системе в режиме ознакомления и в режиме размещения котировок ценных бумаг, список лиц, имеющих доступ к информационной системе в режиме размещения котировок ценных бумаг, список необращающихся ценных бумаг, котировки которых размещаются в информационной системе, а также цены необращающихся ценных бумаг, рассчитанные оператором информационной системы в соответствии с настоящим подпунктом.
Цена необращающейся ценной бумаги, рассчитанная оператором информационной системы на основании котировок на покупку ценной бумаги, размещенных в информационной системе, определяется как средневзвешенная цена из котировок на покупку ценной бумаги, размещенных в информационной системе и адресованных всем лицам, имеющим к ней доступ в режиме размещения котировок на покупку и продажу необращающихся ценных бумаг, при условии, что указанные котировки были размещены не менее чем тремя лицами, имеющими доступ к информационной системе.
Налогоплательщик вправе закрепить в учетной политике для целей налогообложения перечень информационных систем, цены которых используются для определения расчетной цены необращающихся ценных бумаг.
4.3. Как композитная цена на покупку необращающейся ценной бумаги (Thomson Reuters Composite bid), раскрытая информационным агентством Томсон Рейтерс (Thomson Reuters) по итогам дня совершения налогоплательщиком сделки с необращающейся ценной бумагой.
4.4. Как средняя цена закрытия (Bloomberg generic Mid/last) необращающейся ценной бумаги, раскрытая информационным агентством Блумберг (Bloomberg) по итогам дня заключения налогоплательщиком сделки с необращающейся ценной бумагой.
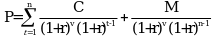
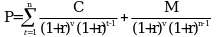
5. Расчетная цена необращающихся облигаций может определяться налогоплательщиком одним из следующих способов:
M - часть номинала облигации, выплачиваемая при погашении;
C - сумма i-ой выплаты по облигации (включая платежи по основному долгу и процентам);
n - число периодов до полного погашения облигации;
r - процентная ставка, соответствующая купонному периоду. Процентная ставка должна соответствовать уровню риска инвестиций в такие облигации. Уровень риска инвестиций в облигации и значения процентных ставок определяются налогоплательщиком на основании оценки рыночной конъюнктуры на дату определения расчетной цены в соответствии с порядком, закрепленным учетной политикой для целей налогообложения;
v - величина, определяемая как:
I - число дней со дня сделки до дня выплаты купона;
B - число дней между выплатами купона.
n - количество платежей по купону;
- сумма платежа по i-му купону;
- процентная ставка, соответствующая сроку
, и отвечающая уровню риска инвестиций в такие облигации. Уровень риска инвестиций в облигации и значения процентных ставок определяются налогоплательщиком на основании оценки рыночной конъюнктуры на дату определения расчетной цены в соответствии с порядком, закрепленным учетной политикой для целей налогообложения;
- количество платежей по номиналу;
- сумма платежа j-ой части стоимости облигаций;
B - база начисления процентов в валюте, в которой выражен номинал облигации, согласно конвенции соответствующей валюты;
Al - величина накопленного купонного дохода на дату определения расчетной цены.
6. Расчетная цена необращающейся обыкновенной акции страховой организации может определяться налогоплательщиком путем деления стоимости чистых активов общества, рассчитанных в соответствии с Порядком оценки стоимости чистых активов страховых организаций, созданных в форме акционерных обществ, утвержденным Приказом Министерства финансов Российской Федерации от 01.02.2007 N 7н и Федеральной службы по финансовым рынкам от 01.02.2007 N 07-10/пз-н (зарегистрирован в Министерстве юстиции Российской Федерации 05.04.2007, регистрационный N 9235), уменьшенной на долю чистых активов, которая приходится на размещенные привилегированные акции общества, на общее количество размещенных обществом обыкновенных акций. Для определения расчетной цены обыкновенных акций используются последние раскрытые страховой организацией на дату определения расчетной цены данные бухгалтерской отчетности.
7. Расчетная цена необращающейся обыкновенной акции кредитной организации может определяться путем деления собственных средств (капитала) кредитной организации, рассчитанного в соответствии с Методикой определения собственных средств (капитала) кредитных организаций, утвержденной Центральным банком Российской Федерации от 10.02.2003 N 215-П (зарегистрирован в Министерстве юстиции Российской Федерации 17.03.2003, регистрационный N 4269), уменьшенных на долю чистых активов, которая приходится на размещенные привилегированные акции общества, на общее количество размещенных обществом обыкновенных акций. Для определения расчетной цены акций используются последние раскрытые кредитной организацией на дату определения расчетной цены данные бухгалтерской отчетности или данные о собственных средствах (капитале) кредитной организации.
8. Расчетная цена необращающейся обыкновенной акции акционерного инвестиционного фонда может определяться как последняя, рассчитанная на дату совершения налогоплательщиком сделки с акциями такого фонда стоимость чистых активов акционерного инвестиционного фонда в расчете на одну акцию, рассчитанная в соответствии с Положением о порядке и сроках определения стоимости чистых активов акционерных инвестиционных фондов, стоимости чистых активов паевых инвестиционных фондов, расчетной стоимости инвестиционных паев паевых инвестиционных фондов, а также стоимости чистых активов акционерных инвестиционных фондов в расчете на одну акцию, утвержденным Приказом Федеральной службы по финансовым рынкам от 15.06.2005 N 05-21/пз-н (зарегистрировано в Министерстве юстиции Российской Федерации 11.07.2005, регистрационный N 6769), на общее количество размещенных фондом обыкновенных акций.
9. Расчетная цена необращающейся акции акционерного общества, не указанная в пунктах 6 - 8 настоящего Порядка, может определяться путем деления стоимости чистых активов общества, рассчитанных в соответствии с Порядком оценки стоимости чистых активов акционерных обществ, утвержденным Приказом Министерства финансов Российской Федерации от 29.01.2003 N 10н и Федеральной комиссии по рынку ценных бумаг от 29.01.2003 N 03-6/пз (зарегистрирован в Министерстве юстиции Российской Федерации 12.03.2003, регистрационный N 4252), уменьшенной на долю чистых активов, которая приходится на размещенные привилегированные акции общества, на общее количество размещенных обществом обыкновенных акций.
10. Расчетная цена необращающейся акции акционерного общества, отчетность которого составлена в соответствии с международными стандартами финансовой отчетности, может быть определена путем деления капитала общества, рассчитанного согласно указанным стандартам, уменьшенного на долю капитала, которая приходится на размещенные привилегированные акции общества, на общее количество размещенных обществом обыкновенных акций.
11. Расчетная цена необращающейся привилегированной акции акционерного общества может определяться путем деления стоимости чистых активов (капитала) общества, которая приходится на размещенные привилегированные акции общества, на общее количество таких акций.
Стоимость чистых активов (капитала) общества, приходящихся на привилегированные акции общества, определяется исходя из предусмотренных уставом общества ликвидационной стоимости привилегированных акций и размера дивидендов по привилегированным акциям.
12. В случае если в соответствии с учетной политикой для целей налогообложения налогоплательщик определяет расчетную цену акций согласно правилам пунктов 5 - 11 настоящего Порядка, и расчетная цена акции, определенная в соответствии с указанными правилами имеет отрицательное значение, соответствующая расчетная цена принимается равной нулю.
13. Расчетная цена необращающегося дисконтного векселя может определяться налогоплательщиком в следующем порядке:
P - расчетная цена дисконтного векселя;
d - ставка дисконта в процентах от номинала векселя с учетом уровня инвестиций в вексель. Уровень риска инвестиций в вексель определяется налогоплательщиком на основании оценки рыночной конъюнктуры на дату определения расчетной цены в соответствии с порядком, закрепленным учетной политикой для целей налогообложения;
t - срок до погашения векселя в календарных днях. В случае если срок погашения векселя наступил, t принимается равным нулю;
- база расчета срока, равная 365 (366) дням или 360 дням в соответствии с конвенцией валюты, в которой осуществляются расчеты по векселю.
14. Расчетная цена необращающегося процентного векселя может определяться налогоплательщиком в следующем порядке:
P - расчетная цена процентного векселя;
C - процентная ставка по векселю;
r - ставка дисконтирования, соответствующая уровню риска инвестиций в вексель. Уровень риска инвестиций в вексель и значение процентной ставки определяются налогоплательщиком на основании оценки рыночной конъюнктуры на дату определения расчетной цены в соответствии с порядком, закрепленным учетной политикой для целей налогообложения;
t - срок от покупки (продажи) векселя до погашения векселя в календарных днях. В случае если срок погашения векселя наступил, t принимается равным нулю;
- база расчета срока, равная 365 (366) дням или 360 дням в соответствии с конвенцией валюты, в которой осуществляются расчеты по векселю.
15. Расчетная цена необращающейся российской депозитарной расписки может определяться как стоимость соответствующих депозитарной расписке представляемых ценных бумаг, определенная на основании цены закрытия таких ценных бумаг на иностранной фондовой бирже на дату совершения сделки с российскими депозитарными расписками.
В случае если цена закрытия по представляемой ценной бумаге была рассчитана более чем на одной иностранной фондовой бирже, налогоплательщик вправе использовать для определения расчетной цены депозитарной расписки цену закрытия, сложившуюся на любой из таких бирж.
16. Расчетная цена необращающейся ценной бумаги иностранного эмитента, удостоверяющей права в отношении эмиссионных ценных бумаг российских эмитентов, может быть определена на основании средневзвешенной цены соответствующих ценных бумаг российских эмитентов, сложившейся на фондовой бирже в день совершения сделки с указанными ценными бумагами иностранного эмитента.
В случае если средневзвешенная цена ценной бумаги была рассчитана более чем на одной фондовой бирже, налогоплательщик вправе использовать для определения расчетной цены иностранной ценной бумаги, удостоверяющей права в отношении эмиссионных ценных бумаг российских эмитентов, средневзвешенную цену, сложившуюся на любой из таких бирж.
17. Расчетная цена необращающейся ценной бумаги иностранного эмитента, удостоверяющей права в отношении эмиссионных ценных бумаг других иностранных эмитентов, может быть определена на основании цены закрытия по соответствующим ценным бумагам таких иностранных эмитентов, сложившейся на иностранных фондовых биржах в день совершения налогоплательщиком сделки с ценными бумагами иностранного эмитента, удостоверяющей права в отношении эмиссионных ценных бумаг других иностранных эмитентов. В случае если цена закрытия по ценной бумаге была рассчитана более чем на одной иностранной фондовой бирже, налогоплательщик вправе использовать для определения расчетной цены иностранной ценной бумаги, удостоверяющей права в отношении эмиссионных ценных бумаг других иностранных эмитентов, цену закрытия по ценным бумагам, сложившуюся на любой из таких бирж.
18. Если иное не предусмотрено положениями главы 25 Налогового кодекса Российской Федерации, расчетная цена необращающегося инвестиционного пая инвестиционного фонда определяется как последняя рассчитанная на день совершения сделки с инвестиционными паями сумма денежной компенсации, причитающаяся владельцу инвестиционного пая в связи с его погашением.
19. Расчетная цена ценной бумаги также может определяться как оценочная стоимость такой ценной бумаги, указанная оценщиком в отчете об оценке ценной бумаги.
20. Способы определения налогоплательщиком расчетной цены необращающихся ценных бумаг, установленные настоящим Порядком, условия применения налогоплательщиком конкретных способов устанавливаются налогоплательщиком в учетной политике для целей налогообложения.
- Гражданский кодекс (ГК РФ)
- Жилищный кодекс (ЖК РФ)
- Налоговый кодекс (НК РФ)
- Трудовой кодекс (ТК РФ)
- Уголовный кодекс (УК РФ)
- Бюджетный кодекс (БК РФ)
- Арбитражный процессуальный кодекс
- Конституция РФ
- Земельный кодекс (ЗК РФ)
- Лесной кодекс (ЛК РФ)
- Семейный кодекс (СК РФ)
- Уголовно-исполнительный кодекс
- Уголовно-процессуальный кодекс
- Производственный календарь на 2025 год
- МРОТ 2026
- ФЗ «О банкротстве»
- О защите прав потребителей (ЗОЗПП)
- Об исполнительном производстве
- О персональных данных
- О налогах на имущество физических лиц
- О средствах массовой информации
- Производственный календарь на 2026 год
- Федеральный закон "О полиции" N 3-ФЗ
- Расходы организации ПБУ 10/99
- Минимальный размер оплаты труда (МРОТ)
- Календарь бухгалтера на 2026 год
- Частичная мобилизация: обзор новостей
- Постановление Правительства РФ N 1875
, где:
, где:
, где:
, где: