III. Определение НМЦК методом сопоставимых рыночных цен (анализа рынка)
III. Определение НМЦК методом сопоставимых рыночных цен
(анализа рынка)
3.1. Метод сопоставимых рыночных цен (анализа рынка) заключается в установлении НМЦК на основании информации о рыночных ценах (далее - ценовая информация) идентичных товаров, работ, услуг, планируемых к закупкам, или при их отсутствии однородных товаров, работ, услуг.
3.2. Метод сопоставимых рыночных цен (анализа рынка) является приоритетным для определения и обоснования НМЦК. Использование иных методов допускается в случаях, предусмотренных частями 7 - 11 статьи 22 Федерального закона N 44-ФЗ.
3.3. В целях определения НМЦК методом сопоставимых рыночных цен (анализа рынка) рекомендуется по результатам изучения рынка определить:
3.3.1. товары, работы, услуги, представленные на функционирующем рынке и соответствующие описанию объекта закупки, сформированному в соответствии с пунктом 2.2.4 настоящих Рекомендаций;
3.3.2. товар, работу, услугу, наиболее полно соответствующие описанию объекта закупки, сформированному в соответствии с пунктом 2.2.4 настоящих Рекомендаций.
3.4. Определенные в соответствии с пунктом 3.3.1 настоящих Рекомендаций товары, работы, услуги целесообразно распределить на категории:
3.4.1. товары, работы, услуги, идентичные определенному (определенной) в соответствии с пунктом 3.3.2 настоящих Рекомендаций товару, работе, услуге;
3.4.2. товары, работы, услуги, однородные определенному (определенной) в соответствии с пунктом 3.3.2 настоящих Рекомендаций товару, работе, услуге.
3.5.1. товары, имеющие одинаковые характерные для них основные признаки (функциональные, технические, качественные, а также эксплуатационные характеристики). При определении идентичности товаров могут учитываться, в частности, страна происхождения и производитель. Незначительные различия во внешнем виде товаров могут не учитываться;
3.5.2. работы, услуги, обладающие одинаковыми характерными для них основными признаками (качественными характеристиками), в том числе реализуемые с использованием одинаковых методик, технологий, подходов, выполняемые (оказываемые) подрядчиками, исполнителями с сопоставимой квалификацией.
3.6.1. товары, которые, не являясь идентичными, имеют сходные характеристики и состоят из схожих компонентов, что позволяет им выполнять одни и те же функции и (или) быть коммерчески взаимозаменяемыми. При определении однородности товаров учитываются их качество, репутация на рынке, страна происхождения;
3.6.2. работы, услуги, которые, не являясь идентичными, имеют сходные характеристики, что позволяет им быть коммерчески и (или) функционально взаимозаменяемыми. При определении однородности работ, услуг учитываются их качество, репутация на рынке, а также вид работ, услуг, их объем, уникальность и коммерческая взаимозаменяемость.
3.7. В целях получения ценовой информации в отношении товара, работы, услуги для определения НМЦК рекомендуется осуществить несколько следующих процедур:
3.7.1. направить запросы о предоставлении ценовой информации не менее пяти поставщикам (подрядчикам, исполнителям), обладающим опытом поставок соответствующих товаров, работ, услуг, информация о которых имеется в свободном доступе (в частности, опубликована в печати, размещена на сайтах в сети "Интернет");
3.7.2. разместить запрос о предоставлении ценовой информации в единой информационной системе в сфере закупок товаров, работ, услуг для обеспечения государственных или муниципальных нужд (далее - ЕИС) (до ввода в эксплуатацию ЕИС на официальном сайте Российской Федерации в информационно-телекоммуникационной сети "Интернет" для размещения информации о размещении заказов на поставки товаров, выполнение работ, оказание услуг www.zakupki.gov.ru (далее - официальный сайт);
3.7.3. осуществить поиск ценовой информации в реестре контрактов, заключенных заказчиками. При этом целесообразно принимать в расчет информацию о ценах товаров, работ, услуг, содержащуюся в контрактах, которые исполнены и по которым не взыскивались неустойки (штрафы, пени) в связи с неисполнением или ненадлежащим исполнением обязательств, предусмотренных этими контрактами, в течение последних трех лет. Рекомендации по поиску общедоступной ценовой информации, содержащейся в реестре контрактов, заключенных заказчиками, приведены в приложении N 2 к настоящим Рекомендациям;
3.7.4. осуществить сбор и анализ общедоступной ценовой информации, к которой относится в том числе:
3.7.4.1. информация о ценах товаров, работ, услуг, содержащаяся в рекламе, каталогах, описаниях товаров и в других предложениях, обращенных к неопределенному кругу лиц, в том числе признаваемых в соответствии с гражданским законодательством публичными офертами;
3.7.4.2. информация о котировках на российских биржах и иностранных биржах;
3.7.4.3. информация о котировках на электронных площадках;
3.7.4.4. данные государственной статистической отчетности о ценах товаров, работ, услуг;
3.7.4.5. информация о ценах товаров, работ, услуг, содержащаяся в официальных источниках информации уполномоченных государственных органов и муниципальных органов в соответствии с законодательством Российской Федерации, законодательством субъектов Российской Федерации, муниципальными нормативными правовыми актами, в официальных источниках информации иностранных государств, международных организаций или иных общедоступных изданиях;
3.7.4.6. информация о рыночной стоимости объектов оценки, определенная в соответствии с законодательством, регулирующим оценочную деятельность в Российской Федерации;
3.7.4.7. информация информационно-ценовых агентств. При этом в расчет рекомендуется принимать информацию таких агентств, которая предоставлена на условиях раскрытия методологии расчета цен;
3.7.4.8. иные источники информации, в том числе общедоступные результаты изучения рынка.
3.8. По инициативе заказчика, уполномоченного органа, уполномоченного учреждения, в том числе, на основании контракта, может быть проведено изучение рынка в целях получения ценовой информации, необходимой для определения НМЦК. Результаты такого изучения рынка рекомендуется рассматривать наряду с иными источниками ценовой информации при условии раскрытия в отчетах об их результатах методологии расчета цен.
3.9. В случае направления запроса о предоставлении ценовой информации потенциальными поставщиками (подрядчиками, исполнителями) такой запрос рекомендуется направлять в том числе поставщикам (подрядчикам, исполнителям), имевшим в течение последних трех лет, предшествующих определению НМЦК, опыт выполнения аналогичных контрактов, заключенных с заказчиком и (или) другими заказчиками без применения к поставщику (подрядчику, исполнителю) неустоек (штрафов, пеней) в связи с неисполнением или ненадлежащим исполнением обязательств, предусмотренных соответствующим контрактом. Если таких поставщиков (подрядчиков, исполнителей) было более пяти, то запрос рекомендуется направлять не менее чем пяти поставщикам (подрядчикам, исполнителям), исполнявшим контракты в течение последних трех лет, предшествующих определению НМЦК.
3.10. Запрос на предоставление ценовой информации, направляемый потенциальному поставщику (подрядчику, исполнителю), и (или) запрос о предоставлении ценовой информации, размещаемый в ЕИС (на официальном сайте или иных сайтах) или в печатных изданиях, может содержать:
3.10.1. подробное описание объекта закупки, включая указание единицы измерения, количества товара, объема работы или услуги;
3.10.2. перечень сведений, необходимых для определения идентичности или однородности товара, работы, услуги, предлагаемых поставщиком (подрядчиком, исполнителем);
3.10.3. основные условия исполнения контракта, заключаемого по результатам закупки, включая требования к порядку поставки продукции, выполнению работ, оказанию услуг, предполагаемые сроки проведения закупки, порядок оплаты, размер обеспечения исполнения контракта, требования к гарантийному сроку товара, работы, услуги и (или) объему предоставления гарантий их качества;
3.10.4. сроки предоставления ценовой информации;
3.10.5. информацию о том, что проведение данной процедуры сбора информации не влечет за собой возникновение каких-либо обязательств заказчика;
3.10.6. указание о том, что из ответа на запрос должны однозначно определяться цена единицы товара, работы, услуги и общая цена контракта на условиях, указанных в запросе, срок действия предлагаемой цены, расчет такой цены с целью предупреждения намеренного завышения или занижения цен товаров, работ, услуг.
3.11. Запрос, предусмотренный пунктом 3.7.2 настоящих Рекомендаций, рекомендуется формировать идентичным по содержанию с запросом, предусмотренным пунктом 3.7.1 настоящих Рекомендаций.
3.12. Все документы, содержащие ценовую информацию, полученные, по запросам, предусмотренным пунктами 3.7.1 и 3.7.2 настоящих Рекомендаций, рекомендуется регистрировать в делопроизводстве заказчика, уполномоченного органа, уполномоченного учреждения и использовать в расчетах НМЦК.
3.13. Не рекомендуется использовать для расчета НМЦК ценовую информацию:
3.13.1. представленную лицами, сведения о которых включены в реестр недобросовестных поставщиков (подрядчиков, исполнителей);
3.13.2. полученную из анонимных источников;
3.13.3. содержащуюся в документах, полученных заказчиком по его запросам и не соответствующих требованиям, установленным заказчиком к содержанию таких документов;
3.13.4. не содержащую расчет цен товаров, работ, услуг.
3.14. При использовании в целях определения НМЦК ценовой информации из источников, указанных в пункте 3.7 настоящих Рекомендаций, целесообразно в порядке, предусмотренном пунктом 3.16 настоящих Рекомендаций, привести полученные цены товара, работы, услуги к сопоставимым с условиями планируемой закупки коммерческим и (или) финансовым условиям поставок товаров, выполнения работ, оказания услуг, а также привести цены прошлых периодов (более шести месяцев от периода определения НМЦК) к текущему уровню цен в порядке, предусмотренном пунктом 3.18 настоящих Рекомендаций.
3.15. Коммерческие и (или) финансовые условия поставок товаров, выполнения работ, оказания услуг признаются сопоставимыми, если различия между такими условиями не оказывают влияния на соответствующие результаты или эти различия могут быть учтены с применением корректировок таких условий.
3.16. При использовании в целях определения НМЦК ценовой информации, полученной в соответствии с пунктом 3.7.3 настоящих Рекомендаций, заказчиком, уполномоченным органом, уполномоченным учреждением дополнительно может быть скорректирована цена товара, работы, услуги в зависимости от способа осуществления закупки, явившейся источником информации о цене товара, работы, услуги. При этом рекомендуется использовать следующий порядок:
3.16.1. если закупка осуществлялась путем проведения конкурса - цену товара, работы, услуги при необходимости рекомендуется увеличивать не более чем на 10%;
3.16.2. если закупка осуществлялась путем проведения аукциона - цену товара, работы, услуги при необходимости рекомендуется увеличивать не более чем на 13%;
3.16.3. если закупка осуществлялась путем проведения запроса котировок, запроса предложений - цену товара, работы, услуги при необходимости рекомендуется увеличивать не более чем на 17%;
3.16.4. если закупка осуществлялась у единственного поставщика (подрядчика, исполнителя) - цена товара, работы, услуги в соответствии с настоящим пунктом не корректируется.
3.17. Цены, используемые в расчетах НМЦК, рекомендуется приводить в соответствие с условиями планируемой закупки, в отношении которой определяется НМЦК, с помощью коэффициентов или индексов для пересчета цен товаров, работ, услуг с учетом различий в характеристиках товаров, коммерческих и (или) финансовых условий поставок товаров, выполнения работ, оказания услуг. Перечень и значимость указанных коэффициентов, используемых при расчетах, рекомендуется определять, в том числе на основании результатов анализа исполненных ранее в интересах заказчика контрактов, и указывать в обосновании НМЦК. С помощью указанных коэффициентов в том числе могут быть учтены следующие условия:
количество товара, объем работ, услуг;
наличие и размер аванса по контракту;
срок и объем гарантии качества;
изменение базовой номенклатуры (комплектации, состава работ, услуг), обусловленное изменением удельного веса различных позиций (товаров, работ, услуг) в общем объеме закупки;
дополнительная номенклатура (комплектация) - появление новых (или исключение предусмотренных ранее) позиций (товаров, работ, услуг) в общем объеме закупки;
размер обеспечения исполнения контракта;
срок формирования ценовой информации (учитывается в порядке, предусмотренном пунктом 3.18 настоящих Рекомендаций);
масштабность выполнения работ, оказания услуг;
изменение валютных курсов (для закупок импортной продукции);
3.18. Цены прошлых периодов, используемые в расчетах в соответствии с настоящими Рекомендациями, могут быть приведены к текущему уровню цен путем применения коэффициента, рассчитанного в соответствии с формулой:
- коэффициент для пересчета цен прошлых периодов к текущему уровню цен;
- срок формирования ценовой информации, используемой для расчета;
t - месяц проведения расчетов НМЦК;
- индекс потребительских цен на месяц в процентах к предыдущему месяцу, соответствующий месяцу в интервале от
до t включительно, установленный Федеральной службой государственной статистики (официальный сайт в сети "Интернет" www.gks.ru).
3.19. В целях определения НМЦК методом сопоставимых рыночных цен (анализа рынка) рекомендуется использовать не менее трех цен товара, работы, услуги, предлагаемых различными поставщиками (подрядчиками, исполнителями).
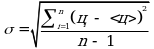
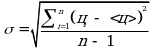
3.20. В целях определения однородности совокупности значений выявленных цен, используемых в расчете НМЦК в соответствии с настоящим разделом, рекомендуется определять коэффициент вариации. Коэффициент вариации цены определяется по следующей формуле:
- среднее квадратичное отклонение;
- цена единицы товара, работы, услуги, указанная в источнике с номером i;
<ц> - средняя арифметическая величина цены единицы товара, работы, услуги;
n - количество значений, используемых в расчете.
3.20.1. Коэффициент вариации может быть рассчитан с помощью стандартных функций табличных редакторов.
3.20.2. Совокупность значений, используемых в расчете, при определении НМЦК считается неоднородной, если коэффициент вариации цены превышает 33%. Если коэффициент вариации превышает 33%, целесообразно провести дополнительные исследования в целях увеличения количества ценовой информации, используемой в расчетах.
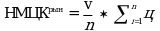
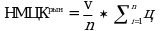
3.21. НМЦК методом сопоставимых рыночных цен (анализа рынка) определяется по формуле:
- НМЦК, определяемая методом сопоставимых рыночных цен (анализа рынка);
v - количество (объем) закупаемого товара (работы, услуги);
n - количество значений, используемых в расчете;
i - номер источника ценовой информации;
- - цена единицы товара, работы, услуги, представленная в источнике с номером i, скорректированная с учетом коэффициентов (индексов), применяемых для пересчета цен товаров, работ, услуг с учетом различий в характеристиках товаров, коммерческих и (или) финансовых условий поставок товаров, выполнения работ, оказания услуг, определяемых в соответствии с пунктом 3.17 настоящих Рекомендаций.
3.22. В случае использования в расчете цены товара, работы, услуги, полученной в ответ на запросы ценовой информации, предусмотренные пунктами 3.7.1 и 3.7.2 настоящих Рекомендаций, корректировка условий не производится, за исключением случаев, когда используется ценовая информация, полученная менее чем за шесть месяцев до периода определения НМЦК. В указанных случаях корректировка осуществляется с применением коэффициента
, рассчитываемого в порядке, предусмотренном пунктом 3.18 настоящих Рекомендаций. Пример определения и обоснования НМЦК методом сопоставимых рыночных цен (анализа рынка) с использованием общедоступной ценовой информации, содержащейся в реестре контрактов, заключенных заказчиками, приведен в приложении N 3 к настоящим Рекомендациям.
- Гражданский кодекс (ГК РФ)
- Жилищный кодекс (ЖК РФ)
- Налоговый кодекс (НК РФ)
- Трудовой кодекс (ТК РФ)
- Уголовный кодекс (УК РФ)
- Бюджетный кодекс (БК РФ)
- Арбитражный процессуальный кодекс
- Конституция РФ
- Земельный кодекс (ЗК РФ)
- Лесной кодекс (ЛК РФ)
- Семейный кодекс (СК РФ)
- Уголовно-исполнительный кодекс
- Уголовно-процессуальный кодекс
- Производственный календарь на 2025 год
- МРОТ 2025
- ФЗ «О банкротстве»
- О защите прав потребителей (ЗОЗПП)
- Об исполнительном производстве
- О персональных данных
- О налогах на имущество физических лиц
- О средствах массовой информации
- Производственный календарь на 2026 год
- Федеральный закон "О полиции" N 3-ФЗ
- Расходы организации ПБУ 10/99
- Минимальный размер оплаты труда (МРОТ)
- Календарь бухгалтера на 2025 год
- Частичная мобилизация: обзор новостей
- Постановление Правительства РФ N 1875
,
,
,