11.2. Определение инерционных сил и ветровой нагрузки, действующих на груз
11.2.1. Продольная инерционная сила (Fпр) определяется по формуле:
где aпр - удельная продольная инерционная сила на 1 т массы груза, тс/т;
Значения aпр для конкретной массы груза определяются по формулам:
- при погрузке с опорой на один вагон:
- при погрузке с опорой на два вагона:
где Qгро - общая масса груза в вагоне или на сцепе, т;
a22, a94, a44, a188 - значения удельной продольной инерционной силы в зависимости от типа крепления при массе брутто соответственно вагона: 22 т и 94 т; сцепа: 44 т и 188 т (принимаются по таблице 28).
Значения удельной продольной инерционной силы в зависимости
от типа крепления груза
|
- проволочные растяжки и обвязки, тросовые растяжки и обвязки с натяжным устройством, металлические полосовые обвязки; - деревянные упорные, распорные бруски; - крепление груза в кассете, пирамиде и т.п. с упором груза в их элементы через деревянные бруски; - крепление металлическими упорными конструкциями, закрепленными к вагону болтами: груза, упакованного в деревянный ящик, неупакованного груза в случае, когда между грузом и металлическим упором уложен деревянный брусок |
||||
|
- крепление груза к вагону болтами, шпильками, иными аналогичными средствами крепления; - в случае размещения груза (за исключением упакованного в деревянный ящик) с непосредственным упором в элементы конструкции вагона; - крепление кассеты, пирамиды и т.п. к стоечной скобе платформы болтами, при помощи металлических стоек или металлических упоров; - крепление металлическими упорными конструкциями, закрепленными к вагону болтами, неупакованного груза из металла, железобетона |
||||
11.2.2. Поперечная горизонтальная инерционная сила Fп с учетом действия центробежной силы определяется по формуле:
где aп - удельная поперечная инерционная сила на 1 т массы груза, кгс/т.
Для грузов с опорой на один вагон aп определяется по формуле:
где aс, aш - удельные поперечные инерционные силы для случаев, когда ЦТгр находится в вертикальных поперечных плоскостях, проходящих соответственно: через середину вагона, через шкворневую балку (таблица 29), кгс/т;
lгр - расстояние от ЦТгр до поперечной плоскости симметрии вагона, м.
Для длинномерных грузов, перевозимых на сцепах с опорой на два вагона, aп принимается по таблице 29.
Значения удельных поперечных инерционных сил
11.2.3. Вертикальная инерционная сила Fв определяется по формуле:
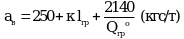
где aв - удельная вертикальная сила на 1 тонну массы груза, кгс/т, которая определяется по формуле:
При загрузке вагона грузом массой менее и равной 10 т значение Qгро принимают равным 10 т. Коэффициент k при погрузке с опорой на один вагон принимают равным 5, с опорой на два вагона - 20.
11.2.4. Ветровая нагрузка Wп определяется с учетом удельной ветровой нагрузки, равной 50 кгс/м2, по формуле:
где Sп - площадь наветренной поверхности груза (проекции поверхности груза, выступающей за пределы боковых бортов платформы либо боковых стен полувагона, на продольную плоскость симметрии вагона), м2. Для цилиндрической поверхности Sп принимается равной половине площади наветренной поверхности груза.
- Гражданский кодекс (ГК РФ)
- Жилищный кодекс (ЖК РФ)
- Налоговый кодекс (НК РФ)
- Трудовой кодекс (ТК РФ)
- Уголовный кодекс (УК РФ)
- Бюджетный кодекс (БК РФ)
- Арбитражный процессуальный кодекс
- Конституция РФ
- Земельный кодекс (ЗК РФ)
- Лесной кодекс (ЛК РФ)
- Семейный кодекс (СК РФ)
- Уголовно-исполнительный кодекс
- Уголовно-процессуальный кодекс
- Производственный календарь на 2025 год
- МРОТ 2026
- ФЗ «О банкротстве»
- О защите прав потребителей (ЗОЗПП)
- Об исполнительном производстве
- О персональных данных
- О налогах на имущество физических лиц
- О средствах массовой информации
- Производственный календарь на 2026 год
- Федеральный закон "О полиции" N 3-ФЗ
- Расходы организации ПБУ 10/99
- Минимальный размер оплаты труда (МРОТ)
- Календарь бухгалтера на 2026 год
- Частичная мобилизация: обзор новостей
- Постановление Правительства РФ N 1875
; (5)
, (6)
, (8)
. (10)