11.3. Определение сил трения

11.3.1. Силы трения, препятствующие перемещению груза, опирающегося на один или два вагона без применения турникетных опор, определяются по формулам:

- в продольном направлении:

Рисунок 74; (12)

- в поперечном направлении:

Рисунок 75, (13)

где Рисунок 76 - коэффициент трения между контактирующими поверхностями груза и вагона (или подкладок).

Значения коэффициентов трения скольжения между очищенными от грязи, снега, льда опорными поверхностями груза, подкладок и пола вагона (в зимний период посыпанных тонким слоем песка) принимаются равными:

-

дерево по дереву

0,45;

-

сталь по дереву

0,40;

-

сталь по стали

0,30;

-

железобетон по дереву

0,55;

-

вертикально устанавливаемые рулоны листовой стали (штрипсы) с открытыми торцами по дереву

0,61;

-

пачки промасленной листовой стали по дереву

0,21;

-

резина по дереву (для колесной техники)

0,50;

-

алюминий по дереву

0,38;

-

свинец и цинк по дереву

0,37.

Коэффициент трения качения принимается равным 0,10.

Применение в расчетах иных значений коэффициента трения (для других контактирующих материалов или при особых условиях контактирования) должно быть обосновано в соответствии с требованиями, изложенными в Приложении 2 к настоящей главе.

Особенности определения сил трения, препятствующих перемещению длинномерных грузов при их размещении с применением турникетных опор, рассмотрены в пункте 12.8 настоящей главы.

11.3.2. При размещении на платформе с дерево-металлическим полом груза без применения подкладок, центр тяжести которого совпадает с его геометрическим центром (рисунок 38), силы трения, препятствующие перемещению груза, определяются по формулам:

- в продольном направлении:

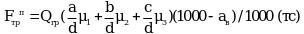
Fтрпр = Fтр1пр + Fтр2пр + Fтр3пр (тс), (14)

где Fтр1пр, Fтр2пр, Fтр3пр - силы трения, действующие на участках опирания груза на поверхность пола. Их значения определяются по формулам:

Рисунок 77; (15)

Рисунок 78; (16)

Рисунок 79, (17)

где Рисунок 80, Рисунок 81, Рисунок 82 - коэффициенты трения части груза о соответствующие участки поверхности пола;

a/d, b/d, c/d - доли массы груза, которые приходятся на соответствующие участки поверхности пола;

- в поперечном направлении:

Рисунок 83, (18)

где aв - удельная вертикальная инерционная сила, определяемая по формуле (10), кгс/т.

Рисунок 84

Рисунок 38 - Силы трения, действующие на участках опирания

груза на поверхность деревометаллического пола платформы

Груз, расположенный несимметрично продольной плоскости симметрии платформы (рисунок 39), может испытывать дополнительное воздействие момента вращения (Mтр) в горизонтальной плоскости относительно вертикальной оси, проходящей через его центр тяжести.

Рисунок 85

Рисунок 39 - Момент вращения, действующий на груз,

расположенный несимметрично относительно продольной

плоскости симметрии платформы с деревометаллическим полом

1 - растяжка; 2 - распорный брусок

Момент вращения Mтр определяется по формуле:

Mтр = Fтрпр r (тсм), (19)

где r - плечо силы трения Fтрпр, определяемое как абсолютная величина разности:

r = |Кцт - КFтр| (м), (20)

где Кцт, КFтр, - координаты в поперечном направлении центра тяжести соответственно груза и силы трения Fтрпр относительно края поверхности опирания груза на пол, м.

Рисунок 86 (21)

При r = 0 момент вращения груза отсутствует, и расчет проводят только для плоско-параллельного движения.

Дополнительные усилия (Fдоп), которые должны создаваться средствами крепления для предотвращения разворота груза, определяют по формуле:

Fдоп = Mтр / lа (тс), (22)

где lа - расстояние между вертикальными плоскостями, проведенными через Fдоп, м.

Усилие в растяжке, соответствующее Fдоп, определяют с учетом углов наклона растяжки.