к Правилам оптового рынка
электрической энергии и мощности
ПРАВИЛА
ОПРЕДЕЛЕНИЯ ЦЕНЫ НА МОЩНОСТЬ, ОПРЕДЕЛЕНИЯ И ПРИМЕНЕНИЯ
ВЕЛИЧИНЫ ШТРАФА ЗА НЕИСПОЛНЕНИЕ ОБЯЗАТЕЛЬСТВ В ОТНОШЕНИИ
ГЕНЕРИРУЮЩИХ ОБЪЕКТОВ, УКАЗАННЫХ В РЕШЕНИИ ПРАВИТЕЛЬСТВА
РОССИЙСКОЙ ФЕДЕРАЦИИ, ПРИНЯТОМ В СООТВЕТСТВИИ С АБЗАЦЕМ
ПЕРВЫМ ПУНКТА 112(5) ПРАВИЛ ОПТОВОГО РЫНКА ЭЛЕКТРИЧЕСКОЙ
ЭНЕРГИИ И МОЩНОСТИ
ПРАВИЛА
ОПРЕДЕЛЕНИЯ ЦЕНЫ НА МОЩНОСТЬ, ОПРЕДЕЛЕНИЯ И ПРИМЕНЕНИЯ
ВЕЛИЧИНЫ ШТРАФА ЗА НЕИСПОЛНЕНИЕ ОБЯЗАТЕЛЬСТВ В ОТНОШЕНИИ
ГЕНЕРИРУЮЩИХ ОБЪЕКТОВ, УКАЗАННЫХ В РЕШЕНИИ ПРАВИТЕЛЬСТВА
РОССИЙСКОЙ ФЕДЕРАЦИИ, ПРИНЯТОМ В СООТВЕТСТВИИ С АБЗАЦЕМ
ПЕРВЫМ ПУНКТА 112(5) ПРАВИЛ ОПТОВОГО РЫНКА ЭЛЕКТРИЧЕСКОЙ
ЭНЕРГИИ И МОЩНОСТИ
Список изменяющих документов
(введены Постановлением Правительства РФ от 29.03.2023 N 503)
1. В соответствии с настоящими Правилами определяются цена на мощность в отношении генерирующих объектов, указанных в решении Правительства Российской Федерации, принятом в соответствии с абзацем первым пункта 112(5) Правил оптового рынка электрической энергии и мощности, утвержденных постановлением Правительства Российской Федерации от 27 декабря 2010 г. N 1172 "Об утверждении Правил оптового рынка электрической энергии и мощности и о внесении изменений в некоторые акты Правительства Российской Федерации по вопросам организации функционирования оптового рынка электрической энергии и мощности" (далее соответственно - решение Правительства Российской Федерации), поставляемую по договорам купли-продажи (поставки) мощности, заключенным по результатам отбора мощности новых генерирующих объектов (далее - договоры купли-продажи (поставки) мощности), а также порядок определения и применения величины штрафа за неисполнение обязательств по поставке мощности по таким договорам.
2. Цена на мощность, продаваемую по договорам купли-продажи (поставки) мощности (
), рассчитывается коммерческим оператором для генерирующего объекта по итогам каждого месяца m периода поставки мощности по таким договорам, но не ранее месяца, в котором определенный системным оператором предельный объем поставки мощности генерирующего объекта впервые был больше нуля, по формуле (рублей/МВт):
OPEXm - суммарное значение удельных затрат на эксплуатацию генерирующего объекта и эксплуатацию инфраструктуры транспортировки газа (при наличии), указанное в решении Правительства Российской Федерации и проиндексированное за период с 1 января 2022 г. до 31 декабря года, предшествующего году, которому принадлежит месяц m, в соответствии с изменением индекса потребительских цен, определяемого и публикуемого федеральным органом исполнительной власти, осуществляющим функции по формированию официальной статистической информации (рублей/МВт в месяц);
m - порядковый номер месяца поставки мощности новых генерирующих объектов (m = 1 для месяца, соответствующего дате начала поставки мощности генерирующим объектом, указанной в решении Правительства Российской Федерации);
- величина плановой компенсации капитальных затрат для месяца m, определяемая в соответствии с пунктом 3 настоящих Правил (рублей/МВт);
НПm - расчетная величина компенсации затрат на уплату поставщиком налога на прибыль организаций, определяемая в соответствии с пунктом 7 настоящих Правил;
НИm - расчетная величина компенсации затрат на уплату поставщиком налога на имущество организаций, определяемая в соответствии с пунктом 8 настоящих Правил;
- средневзвешенное значение из цен на электрическую энергию, определенных по результатам конкурентного отбора ценовых заявок на сутки вперед, в каждый час предшествующего месяца в группе точек поставки, к которой относится генерирующий объект, указанный в решении Правительства Российской Федерации, по объемам электрической энергии, продаваемой по результатам конкурентного отбора ценовых заявок на сутки вперед в соответствующие часы (рублей/МВт·ч);
- значение переменных (топливных) затрат на выработку электрической энергии, указанное в решении Правительства Российской Федерации, проиндексированное в соответствии с порядком и параметрами, указанными в решении Правительства Российской Федерации (рублей/МВт·ч);
- объем электрической энергии, равный минимальному из объема фактического производства электрической энергии в месяце m и требуемого объема установленной мощности подлежащего строительству генерирующего объекта, указанного в решении Правительства Российской Федерации, умноженного на количество часов в месяце m (МВт·ч);
- объем электрической энергии, составляющий обязательства по поставке по регулируемым договорам на оптовый рынок в месяце m (МВт·ч);
Ксн - коэффициент, отражающий потребление электрической энергии и мощности на собственные и хозяйственные нужды генерирующего объекта, указанный в решении Правительства Российской Федерации;
- объем мощности, фактически поставленный на оптовый рынок в месяце m (МВт);
- объем мощности, составляющий обязательства по поставке по регулируемым договорам на оптовый рынок в месяце m (МВт).
3. Величина плановой компенсации капитальных затрат для месяца m (
) определяется по формуле:
Rm - не возмещенная по состоянию на начало месяца m периода поставки мощности часть капитальных затрат, определяемая в соответствии с пунктом 5 настоящих Правил;
НДm - норма доходности инвестированного капитала (выражаемая в процентах годовых) в отношении месяца m, равная норме доходности инвестированного капитала, определяемой в соответствии с пунктом 6 настоящих Правил в отношении календарного года, предшествующего году, к которому относится месяц m;
N - срок возврата капитальных затрат, равный 240 месяцам.
4. Не возмещенная по состоянию на начало первого (m = 1) месяца периода поставки мощности часть капитальных затрат на строительство генерирующего объекта (R1) определяется по формуле (рублей/МВт):
КЗуд - суммарное удельное значение капитальных затрат в отношении генерирующего объекта, определяемое как отношение суммы значений капитальных затрат на осуществление мероприятий, планируемых к реализации в рамках строительства нового генерирующего объекта (за исключением затрат на осуществление мероприятий по не подлежащему государственному регулированию технологическому присоединению генерирующего объекта к газовой инфраструктуре, в том числе третьих лиц, включая создание объектов сбора, подготовки и транспортировки газа (установок предварительной подготовки газа, установок комплексной подготовки газа, дожимной компрессорной станции), по технологическому присоединению генерирующего объекта к электрическим сетям), к значению установленной мощности генерирующего объекта, указанных в решении Правительства Российской Федерации (рублей/МВт);
ТПуд - суммарные удельные затраты на осуществление мероприятий по не подлежащему государственному регулированию технологическому присоединению генерирующего объекта к газовой инфраструктуре, в том числе третьих лиц, включая создание объектов сбора, подготовки и транспортировки газа (установок предварительной подготовки газа, установок комплексной подготовки газа, дожимной компрессорной станции), по технологическому присоединению генерирующего объекта к электрическим сетям, определяемые как отношение суммы затрат на осуществление указанных мероприятий к объему установленной мощности генерирующего объекта, указанных в решении Правительства Российской Федерации (рублей/МВт);
Кприв - коэффициент приведения, определяемый по формуле:
НДср - среднее арифметическое значение норм доходности, определенных в отношении Nст календарных месяцев, предшествовавших году, на который приходится дата начала фактической поставки мощности. Норма доходности в отношении календарного месяца равна норме доходности, определяемой в отношении календарного года, к которому относится указанный календарный месяц;
Nст - длительность периода реализации проекта по строительству нового генерирующего объекта, указанная в решении Правительства Российской Федерации.
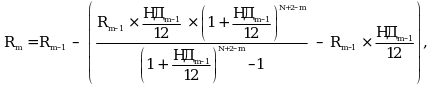
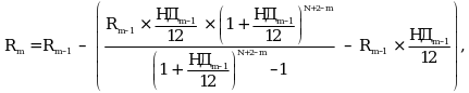
5. Не возмещенная по состоянию на начало месяца m периода поставки мощности, наступающего позднее 1-го месяца (m > 1) периода поставки мощности нового генерирующего объекта, часть капитальных затрат (Rm) определяется по формуле:
где Rm-1 - не возмещенная по состоянию на начало месяца, предшествующего месяцу m, часть капитальных затрат (рублей/МВт).
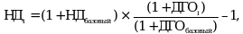
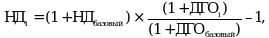
6. Норма доходности инвестированного капитала (выражаемая в процентах годовых) в отношении календарного года i (НДi) определяется по формуле:
НДбазовый - базовый уровень нормы доходности инвестированного капитала, размер которого определен решением Правительства Российской Федерации;
ДГОi - средняя доходность долгосрочных государственных обязательств, определяемая по результатам года i коммерческим оператором оптового рынка в порядке, установленном федеральным органом исполнительной власти, осуществляющим функции по выработке государственной политики и нормативно-правовому регулированию в сфере анализа и социально-экономического развития, с учетом особенностей, предусмотренных договором о присоединении к торговой системе оптового рынка;
ДГОбазовый - базовый уровень доходности долгосрочных государственных обязательств, равный 8,5 процента годовых.
7. Расчетная величина компенсации затрат на уплату поставщиком налога на прибыль организаций (НПm) определяется по формуле:
te - плановый срок (в годах) полезного использования генерирующего объекта, равный 20 годам;
N - срок возврата капитальных затрат, равный 240 месяцам;
ставка НПm - налоговая ставка налога на прибыль организаций, равная величине, указанной в абзаце первом пункта 1 статьи 284 Налогового кодекса Российской Федерации (в редакции, действующей по состоянию на 1 января года, к которому относится месяц m).
8. Расчетная величина компенсации затрат на уплату поставщиком налога на имущество организаций (НИm) определяется по формуле:
где ставка НИm - налоговая ставка налога на имущество организаций, равная величине, указанной в пункте 1 статьи 380 Налогового кодекса Российской Федерации (в редакции, действующей по состоянию на 1 января года, к которому относится месяц m).
9. Договором купли-продажи (поставки) мощности определяется выплачиваемая поставщиком мощности сумма, в случае если предельный объем поставки мощности генерирующего объекта меньше объема, равного 95 процентам объема мощности, составляющего обязательства по поставке мощности по договорам купли-продажи (поставки) мощности, размер которой не может быть меньше величины Sm, определяемой по формуле (рублей):
- цена на мощность генерирующего объекта, определяемая по формуле (рублей/МВт):
Vm - объем мощности, составляющий обязательства по поставке мощности с использованием генерирующего объекта (МВт);
- предельный объем мощности генерирующего объекта, определенный в отношении месяца m по результатам аттестации (в случае задержки начала поставки мощности
равен нулю) (МВт).
- Гражданский кодекс (ГК РФ)
- Жилищный кодекс (ЖК РФ)
- Налоговый кодекс (НК РФ)
- Трудовой кодекс (ТК РФ)
- Уголовный кодекс (УК РФ)
- Бюджетный кодекс (БК РФ)
- Арбитражный процессуальный кодекс
- Конституция РФ
- Земельный кодекс (ЗК РФ)
- Лесной кодекс (ЛК РФ)
- Семейный кодекс (СК РФ)
- Уголовно-исполнительный кодекс
- Уголовно-процессуальный кодекс
- Производственный календарь на 2025 год
- МРОТ 2025
- ФЗ «О банкротстве»
- О защите прав потребителей (ЗОЗПП)
- Об исполнительном производстве
- О персональных данных
- О налогах на имущество физических лиц
- О средствах массовой информации
- Производственный календарь на 2026 год
- Федеральный закон "О полиции" N 3-ФЗ
- Расходы организации ПБУ 10/99
- Минимальный размер оплаты труда (МРОТ)
- Календарь бухгалтера на 2025 год
- Частичная мобилизация: обзор новостей
- Постановление Правительства РФ N 1875









