постановлением Правительства
Российской Федерации
от 29 марта 2023 г. N 503
1. В Правилах оптового рынка электрической энергии и мощности, утвержденных постановлением Правительства Российской Федерации от 27 декабря 2010 г. N 1172 "Об утверждении Правил оптового рынка электрической энергии и мощности и о внесении изменений в некоторые акты Правительства Российской Федерации по вопросам организации функционирования оптового рынка электрической энергии и мощности" (Собрание законодательства Российской Федерации, 2011, N 14, ст. 1916; 2013, N 23, ст. 2909; 2014, N 34, ст. 4677; 2015, N 36, ст. 5034; N 45, ст. 6256; 2016, N 2, ст. 329; N 26, ст. 4067; N 31, ст. 5017; 2017, N 1, ст. 178; N 25, ст. 3684; N 37, ст. 5531; N 43, ст. 6335; 2018, N 1 ст. 391; N 3, ст. 543; N 15, ст. 2163; N 19, ст. 2756; 2019, N 5, ст. 389; N 13, ст. 1403; 2020, N 27, ст. 4234; 2021, N 6, ст. 985; N 7, ст. 1136, 1146; N 11, ст. 1820; N 36, ст. 6431; N 49, ст. 8218; 2022, N 1, ст. 189; N 21, ст. 3477; N 37, ст. 6373; N 39, ст. 6648):
а) абзац пятый пункта 6 изложить в следующей редакции:
"максимальные цены, указываемые в ценовых заявках на продажу электрической энергии (для генерирующих объектов, поставка мощности которых производится по договорам купли-продажи (поставки) мощности, заключенным по результатам долгосрочного конкурентного отбора мощности генерирующих объектов, подлежащих строительству, проведенного в соответствии с решением Правительства Российской Федерации, принятым в 2021 году или в последующие годы, - не выше значения переменных (топливных) затрат на выработку электрической энергии, указанных поставщиком мощности в ценовой заявке в соответствии с пунктом 112(1) настоящих Правил (указанных в решении Правительства Российской Федерации, принятом в соответствии с абзацем первым пункта 112(5) настоящих Правил) и проиндексированных за период с 1 января года начала поставки мощности нового генерирующего объекта по итогам отбора до 1 января текущего года в порядке, указанном поставщиком мощности в ценовой заявке в соответствии с пунктом 112(1) настоящих Правил (для генерирующих объектов, указанных в решении Правительства Российской Федерации, принятом в соответствии с абзацем первым пункта 112(5) настоящих Правил, - проиндексированных в соответствии с порядком, предусмотренным указанным решением), подаваемых для участия в конкурентном отборе ценовых заявок на сутки вперед и в конкурентном отборе заявок для балансирования системы на каждый час указанного периода, - для участников рынка, функционирующих в ценовых зонах оптового рынка.";
б) абзац третий пункта 51 после слов "пункта 113(1) настоящих Правил" дополнить словами ", для генерирующего объекта, указанного в решении Правительства Российской Федерации, принятом в соответствии с абзацем первым пункта 112(5) настоящих Правил, - объема мощности, составляющего обязательства поставщика по поставке мощности и определенного в соответствии с абзацем четвертым пункта 113(1) настоящих Правил";
в) абзац четвертый пункта 83 после предложения второго дополнить предложением следующего содержания: "При расчете равновесной цены на электрическую энергию для каждого часа планируемых суток не учитываются цены, указанные в ценовых заявках в отношении генерирующих объектов, указанных в решении Правительства Российской Федерации, принятом в соответствии с абзацем первым пункта 112(5) настоящих Правил.";
г) в абзацах восьмом и шестнадцатом пункта 101, абзаце седьмом пункта 112(1) слова "минимальная длительность работы на максимальной (требуемой) мощности," исключить;
д) пункт 112(3) дополнить абзацем следующего содержания:
"Положения настоящего пункта не применяются в случае строительства нового генерирующего объекта в соответствии с решением Правительства Российской Федерации, принятым в соответствии с абзацем первым пункта 112(5) настоящих Правил.";
е) дополнить пунктами 112(5) и 112(6) следующего содержания:
"112(5). В связи с отсутствием по результатам отбора мощности новых генерирующих объектов, проведенного в соответствии с решением Правительства Российской Федерации, принятым в 2022 году, отобранных генерирующих объектов в целях обеспечения покрытия дефицита активной мощности на соответствующей территории технологически необходимой генерации Правительство Российской Федерации не позднее 1 мая 2023 г. (включительно) на основании предложений Правительственной комиссии по вопросам развития электроэнергетики принимает решение об определении генерирующих объектов, подлежащих строительству на соответствующей территории технологически необходимой генерации, а также субъектов оптового рынка (при условии их согласия), которые будут осуществлять поставку мощности с использованием указанных генерирующих объектов по договорам купли-продажи (поставки) мощности, заключенным по результатам отбора мощности новых генерирующих объектов.
Согласие субъекта оптового рынка, указанное в абзаце первом настоящего пункта, выражается путем направления в федеральный орган исполнительной власти, осуществляющий функции по выработке и реализации государственной политики и нормативно-правовому регулированию в сфере топливно-энергетического комплекса, заявления о намерении осуществлять поставку мощности с использованием соответствующего генерирующего объекта по договорам купли-продажи (поставки) мощности, заключенным по результатам отбора мощности новых генерирующих объектов.
Указанное в абзаце первом настоящего пункта решение Правительства Российской Федерации должно содержать следующую информацию:
описание территории технологически необходимой генерации, на которой необходимо строительство нового генерирующего объекта, определенное исходя из описания территорий технологически необходимой генерации, указанного в решении Правительства Российской Федерации, на основании которого проводился соответствующий отбор мощности новых генерирующих объектов;
дата начала поставки мощности новых генерирующих объектов;
субъект оптового рынка, который будет осуществлять поставку мощности с использованием нового генерирующего объекта по договорам купли-продажи (поставки) мощности, заключенным по результатам отбора мощности новых генерирующих объектов;
установленная мощность новых генерирующих объектов, значение которой не должно отличаться более чем на 10 процентов от величины, указанной в решении Правительства Российской Федерации, на основании которого проводился соответствующий отбор мощности новых генерирующих объектов;
технические требования к генерирующему объекту, подлежащему строительству (тип генерирующего объекта, вид топлива, минимальный диапазон регулирования мощности, минимальная скорость изменения нагрузки, иные параметры выработки электрической энергии и мощности), определенные исходя из технических требований к генерирующему объекту, подлежащему строительству, указанных в решении Правительства Российской Федерации, на основании которого проводился соответствующий отбор мощности новых генерирующих объектов;
перечень потребителей электрической энергии (мощности), в отношении которых прогнозируется рост потребления электрической энергии, приводящий к возникновению территории технологически необходимой генерации, и прогнозные объемы потребления электрической энергии такими потребителями в период поставки мощности новых генерирующих объектов по договорам купли-продажи (поставки) мощности;
указание на поставку мощности с использованием соответствующих генерирующих объектов потребителям одной или первой и второй ценовых зон оптового рынка;
способ и параметры ежегодной индексации переменных (топливных) затрат, задаваемые функциональной зависимостью от темпа изменения стоимости электрической энергии, определенной по результатам конкурентного отбора ценовых заявок на сутки вперед;
экономические параметры, исходя из которых будет рассчитываться стоимость продаваемой мощности нового генерирующего объекта, включая:
удельные затраты на эксплуатацию генерирующего объекта и инфраструктуры транспортировки газа (при наличии), выраженные в рублях на МВт в месяц в ценах 2022 года;
значение коэффициента, отражающего потребление электрической энергии и мощности на собственные и хозяйственные нужды генерирующего объекта;
переменные (топливные) затраты на выработку электрической энергии, выраженные в рублях на МВт·ч в ценах 2022 года;
длительность периода реализации проекта по строительству нового генерирующего объекта;
базовый уровень нормы доходности инвестированного капитала.
При определении цены на мощность нового генерирующего объекта, указанного в решении Правительства Российской Федерации, принятом в соответствии с абзацем первым настоящего пункта, учитываются затраты на осуществление только реализуемых в рамках строительства нового генерирующего объекта:
мероприятий по строительству нового генерирующего объекта;
мероприятий по не подлежащему государственному регулированию технологическому присоединению генерирующего объекта к газовой инфраструктуре, в том числе третьих лиц, включая создание объектов сбора, подготовки и транспортировки газа (установок предварительной подготовки газа, установок комплексной подготовки газа, дожимной компрессорной станции);
мероприятий по строительству объектов, предназначенных для транспортировки газа и необходимых для функционирования нового генерирующего объекта, не включаемых в мероприятия по не подлежащему государственному регулированию технологическому присоединению генерирующего объекта к газовой инфраструктуре, в том числе третьих лиц, включая создание объектов сбора, подготовки и транспортировки газа (установок предварительной подготовки газа, установок комплексной подготовки газа, дожимной компрессорной станции);
мероприятий по строительству сетей инженерно-технического обеспечения, необходимых для функционирования нового генерирующего объекта, - инженерных сетей водоснабжения, водоотведения, технического водоснабжения, сетей временного энергоснабжения, автомобильных дорог;
мероприятий по технологическому присоединению к электрическим сетям в объеме, необходимом для присоединения нового генерирующего объекта и соблюдения требований к новому генерирующему объекту и к схеме выдачи мощности нового генерирующего объекта, указанных в решении Правительства Российской Федерации, принятом в соответствии с абзацем первым настоящего пункта.
Положения настоящих Правил, установленные для субъектов оптового рынка и отобранных генерирующих объектов, которые включены в реестр итогов отбора мощности новых генерирующих объектов, проведенного в соответствии с решением Правительства Российской Федерации, принятым в 2021 году или в последующие годы, распространяются на субъекты оптового рынка и генерирующие объекты, указанные в решении Правительства Российской Федерации, принятом в соответствии с абзацем первым настоящего пункта, если иное не предусмотрено настоящими Правилами.
112(6). Правительство Российской Федерации не позднее чем за один месяц до даты начала поставки мощности новых генерирующих объектов, указанной в решении, предусмотренном абзацем первым пункта 112(5) настоящих Правил, на основании предложений Правительственной комиссии по вопросам развития электроэнергетики утверждает величину затрат на осуществление каждого предусмотренного пунктом 112(5) настоящих Правил мероприятия, реализованного в рамках строительства нового генерирующего объекта, а также актуализирует значение коэффициента, отражающего потребление электрической энергии и мощности на собственные и хозяйственные нужды генерирующего объекта, и удельные затраты на эксплуатацию инфраструктуры транспортировки газа (при наличии).
Правительственная комиссия по вопросам развития электроэнергетики не позднее чем за 24 месяца до даты начала поставки мощности новых генерирующих объектов, указанной в решении Правительства Российской Федерации, предусмотренном абзацем первым пункта 112(5) настоящих Правил, рассматривает поступившие в федеральный орган исполнительной власти, осуществляющий функции по выработке и реализации государственной политики и нормативно-правовому регулированию в сфере топливно-энергетического комплекса, предложения субъекта оптового рынка, который будет осуществлять поставку мощности с использованием нового генерирующего объекта, о перечне и описании мероприятий, планируемых к реализации в рамках строительства нового генерирующего объекта, а также о величине затрат на осуществление каждого предусмотренного пунктом 112(5) настоящих Правил мероприятия, планируемого к реализации в рамках строительства нового генерирующего объекта.
В целях рассмотрения Правительственной комиссией по вопросам развития электроэнергетики предложений, указанных в абзаце втором настоящего пункта, субъектом оптового рынка, который будет осуществлять поставку мощности с использованием нового генерирующего объекта, представляются в федеральный орган исполнительной власти, осуществляющий функции по выработке и реализации государственной политики и нормативно-правовому регулированию в сфере топливно-энергетического комплекса, следующие документы:
копии положительного заключения государственной экспертизы проектной документации, копии положительного заключения государственной экспертизы о проверке сметной стоимости мероприятий, планируемых к реализации в рамках строительства нового генерирующего объекта;
копии договоров, обеспечивающих реализацию мероприятий, планируемых к реализации в рамках строительства нового генерирующего объекта, и документы об исполнении обязательств по таким договорам (срок исполнения которых наступил по состоянию на дату представления указанных документов участником оптового рынка).
В целях формирования предложений, предусмотренных абзацем первым настоящего пункта, Правительственная комиссия по вопросам развития электроэнергетики не позднее чем за 2 месяца до даты начала поставки мощности, указанной в решении Правительства Российской Федерации, принятом в соответствии с абзацем первым пункта 112(5) настоящих Правил, рассматривает поступившие в федеральный орган исполнительной власти, осуществляющий функции по выработке и реализации государственной политики и нормативно-правовому регулированию в сфере топливно-энергетического комплекса, предложения субъекта оптового рынка, который будет осуществлять поставку мощности с использованием нового генерирующего объекта, о величине затрат на осуществление каждого предусмотренного пунктом 112(5) настоящих Правил мероприятия, реализованного в рамках строительства нового генерирующего объекта, а также документы, указанные в абзацах восьмом - одиннадцатом и тринадцатом настоящего пункта.
Для формирования соответствующих предложений Правительственной комиссии по вопросам развития электроэнергетики субъект оптового рынка, который будет осуществлять поставку мощности с использованием нового генерирующего объекта, представляет в совет рынка и федеральный орган исполнительной власти, осуществляющий функции по выработке и реализации государственной политики и нормативно-правовому регулированию в сфере топливно-энергетического комплекса, не позднее чем за 7 месяцев до даты начала поставки мощности, указанной в решении Правительства Российской Федерации, принятом в соответствии с абзацем первым пункта 112(5) настоящих Правил, следующие документы в отношении каждого мероприятия:
копия проектно-сметной документации;
копии положительного заключения повторной государственной экспертизы проектной документации, копии положительного заключения повторной государственной экспертизы о проверке сметной стоимости мероприятий, предусмотренных пунктом 112(5) настоящих Правил, планируемых к реализации в рамках строительства нового генерирующего объекта, полученные по инициативе участника оптового рынка в случае внесения в проектную документацию, ранее получившую положительное заключение государственной экспертизы, изменений, не предусмотренных частью 3.8 статьи 49 Градостроительного кодекса Российской Федерации, с обоснованием необходимости осуществления капитальных затрат;
копии договоров, обеспечивающих реализацию мероприятий, планируемых к реализации в рамках строительства нового генерирующего объекта, и документы об исполнении обязательств по таким договорам (срок исполнения которых наступил по состоянию на дату представления указанных документов участником оптового рынка);
результаты технологического аудита и ценового аудита каждого предусмотренного пунктом 112(5) настоящих Правил мероприятия, реализуемого в рамках строительства нового генерирующего объекта, предусмотренного пунктом 112(5) настоящих Правил.
Технологический аудит и ценовой аудит для целей настоящего пункта понимаются в значениях, предусмотренных пунктом 170(1) настоящих Правил, и осуществляются в том числе с целью подтверждения выбора мероприятий с целью минимизации их стоимости.
Совет рынка при условии получения в соответствии с требованиями настоящего пункта документов от субъекта оптового рынка, который будет осуществлять поставку мощности с использованием нового генерирующего объекта, не позднее чем за 3 месяца до даты начала поставки мощности, указанной в решении Правительства Российской Федерации, принятом в соответствии с абзацем первым пункта 112(5) настоящих Правил, направляет в федеральный орган исполнительной власти, осуществляющий функции по выработке и реализации государственной политики и нормативно-правовому регулированию в сфере топливно-энергетического комплекса, предложения о величине затрат по каждому предусмотренному пунктом 112(5) настоящих Правил мероприятию, реализованному в рамках строительства нового генерирующего объекта, сформированные по результатам анализа документов, полученных от субъекта оптового рынка, которым будет осуществляться поставка мощности с использованием нового генерирующего объекта.";
ж) в пункте 113:
абзац пятый дополнить словами ", а в случае принятия Правительством Российской Федерации решения в соответствии с абзацем первым пункта 112(5) настоящих Правил - с даты, указанной в таком решении";
предложение первое абзаца шестого изложить в следующей редакции:
"В случае если решение Правительства Российской Федерации о проведении отбора мощности новых генерирующих объектов или решение Правительства Российской Федерации, принятое в соответствии с абзацем первым пункта 112(5) настоящих Правил, содержит указание на поставку мощности с использованием соответствующих генерирующих объектов потребителям первой и второй ценовых зон оптового рынка, продажа мощности таких генерирующих объектов осуществляется в первой и второй ценовых зонах оптового рынка.";
з) пункт 113(1) после абзаца третьего дополнить абзацем следующего содержания:
"мощность генерирующих объектов, указанных в решении Правительства Российской Федерации, принятом в соответствии с абзацем первым пункта 112(5) настоящих Правил, в объеме, указанном в таком решении.";
и) в пункте 115(1):
абзац первый дополнить предложением следующего содержания: "В отношении генерирующих объектов, указанных в решении Правительства Российской Федерации, принятом в соответствии с абзацем первым пункта 112(5) настоящих Правил, оплата мощности, поставляемой по договору купли-продажи (поставки) мощности, заключенному по результатам отбора мощности новых генерирующих объектов, проведенного в соответствии с решением Правительства Российской Федерации, принятым в 2021 году или в последующие годы, осуществляется по цене, определенной в соответствии с приложением N 6.";
абзац второй после слов "или в последующие годы" дополнить словами "(за исключением договоров, заключенных в отношении генерирующих объектов, указанных в решении Правительства Российской Федерации, принятом в соответствии с абзацем первым пункта 112(5) настоящих Правил)";
дополнить абзацами следующего содержания:
"Договоры купли-продажи (поставки) мощности, заключенные по результатам отбора мощности новых генерирующих объектов, проведенного в соответствии с решением Правительства Российской Федерации, принятым в 2021 году или в последующие годы, в отношении генерирующих объектов, указанных в решении Правительства Российской Федерации, принятом в соответствии с абзацем первым пункта 112(5) настоящих Правил, предусматривают размер и порядок применения штрафа за полное или частичное неисполнение сторонами договора купли-продажи (поставки) мощности, заключенного по результатам отбора мощности новых генерирующих объектов, проведенного в соответствии с решением Правительства Российской Федерации, принятым в 2021 году или в последующие годы, которые определяются в соответствии с приложением N 6 к настоящим Правилам.
В случаях и порядке, которые предусмотрены договором о присоединении к торговой системе оптового рынка, права и обязанности поставщика по договорам купли-продажи (поставки) мощности, заключенным по результатам отбора мощности новых генерирующих объектов, проведенного в соответствии с решением Правительства Российской Федерации, принятым в 2021 году или в последующие годы в отношении генерирующих объектов, указанных в решении Правительства Российской Федерации, принятом в соответствии с абзацем первым пункта 112(5) настоящих Правил, могут быть переданы другому лицу.";
к) абзац двенадцатый пункта 121 дополнить словами "(в отношении генерирующих объектов, указанных в решении Правительства Российской Федерации, принятом в соответствии с абзацем первым пункта 112(5) настоящих Правил, - в соответствии с приложением N 6 к настоящим Правилам)";
л) пункт 122 после абзаца девятого дополнить абзацами следующего содержания:
"Объем фактического пикового потребления в отношении соответствующей группы точек поставки покупателя, указанного в решении Правительства Российской Федерации о проведении отбора мощности новых генерирующих объектов или в решении Правительства Российской Федерации, принятом в соответствии с абзацем первым пункта 112(5) настоящих Правил, в порядке, установленном в договоре о присоединении к торговой системе оптового рынка, принимается равным величине:
с даты начала поставки нового генерирующего объекта и до 31 декабря 2031 г. (включительно), - максимальной из величин объема фактического пикового потребления, определенного в соответствии с абзацем шестым настоящего пункта, и объема потребления мощности, соответствующего максимальному за год часовому значению объема потребления электрической энергии, указанному в таком решении;
с 1 января 2032 г. и до окончания периода поставки мощности соответствующего нового генерирующего объекта по договорам, определенного в соответствии с абзацем пятым пункта 113 настоящих Правил, - максимальной из величин объема фактического пикового потребления, определенного в соответствии с абзацем шестым настоящего пункта, и максимальной за 2031 год величины объема фактического пикового потребления, определенного в соответствии с абзацем шестым настоящего пункта.";
м) дополнить приложением N 6 следующего содержания:
к Правилам оптового рынка
электрической энергии и мощности
ОПРЕДЕЛЕНИЯ ЦЕНЫ НА МОЩНОСТЬ, ОПРЕДЕЛЕНИЯ И ПРИМЕНЕНИЯ
ВЕЛИЧИНЫ ШТРАФА ЗА НЕИСПОЛНЕНИЕ ОБЯЗАТЕЛЬСТВ В ОТНОШЕНИИ
ГЕНЕРИРУЮЩИХ ОБЪЕКТОВ, УКАЗАННЫХ В РЕШЕНИИ ПРАВИТЕЛЬСТВА
РОССИЙСКОЙ ФЕДЕРАЦИИ, ПРИНЯТОМ В СООТВЕТСТВИИ С АБЗАЦЕМ
ПЕРВЫМ ПУНКТА 112(5) ПРАВИЛ ОПТОВОГО РЫНКА ЭЛЕКТРИЧЕСКОЙ
ЭНЕРГИИ И МОЩНОСТИ
1. В соответствии с настоящими Правилами определяются цена на мощность в отношении генерирующих объектов, указанных в решении Правительства Российской Федерации, принятом в соответствии с абзацем первым пункта 112(5) Правил оптового рынка электрической энергии и мощности, утвержденных постановлением Правительства Российской Федерации от 27 декабря 2010 г. N 1172 "Об утверждении Правил оптового рынка электрической энергии и мощности и о внесении изменений в некоторые акты Правительства Российской Федерации по вопросам организации функционирования оптового рынка электрической энергии и мощности" (далее соответственно - решение Правительства Российской Федерации), поставляемую по договорам купли-продажи (поставки) мощности, заключенным по результатам отбора мощности новых генерирующих объектов (далее - договоры купли-продажи (поставки) мощности), а также порядок определения и применения величины штрафа за неисполнение обязательств по поставке мощности по таким договорам.
2. Цена на мощность, продаваемую по договорам купли-продажи (поставки) мощности (
), рассчитывается коммерческим оператором для генерирующего объекта по итогам каждого месяца m периода поставки мощности по таким договорам, но не ранее месяца, в котором определенный системным оператором предельный объем поставки мощности генерирующего объекта впервые был больше нуля, по формуле (рублей/МВт):
OPEXm - суммарное значение удельных затрат на эксплуатацию генерирующего объекта и эксплуатацию инфраструктуры транспортировки газа (при наличии), указанное в решении Правительства Российской Федерации и проиндексированное за период с 1 января 2022 г. до 31 декабря года, предшествующего году, которому принадлежит месяц m, в соответствии с изменением индекса потребительских цен, определяемого и публикуемого федеральным органом исполнительной власти, осуществляющим функции по формированию официальной статистической информации (рублей/МВт в месяц);
m - порядковый номер месяца поставки мощности новых генерирующих объектов (m = 1 для месяца, соответствующего дате начала поставки мощности генерирующим объектом, указанной в решении Правительства Российской Федерации);
- величина плановой компенсации капитальных затрат для месяца m, определяемая в соответствии с пунктом 3 настоящих Правил (рублей/МВт);
НПm - расчетная величина компенсации затрат на уплату поставщиком налога на прибыль организаций, определяемая в соответствии с пунктом 7 настоящих Правил;
НИm - расчетная величина компенсации затрат на уплату поставщиком налога на имущество организаций, определяемая в соответствии с пунктом 8 настоящих Правил;
- средневзвешенное значение из цен на электрическую энергию, определенных по результатам конкурентного отбора ценовых заявок на сутки вперед, в каждый час предшествующего месяца в группе точек поставки, к которой относится генерирующий объект, указанный в решении Правительства Российской Федерации, по объемам электрической энергии, продаваемой по результатам конкурентного отбора ценовых заявок на сутки вперед в соответствующие часы (рублей/МВт·ч);
- значение переменных (топливных) затрат на выработку электрической энергии, указанное в решении Правительства Российской Федерации, проиндексированное в соответствии с порядком и параметрами, указанными в решении Правительства Российской Федерации (рублей/МВт·ч);
- объем электрической энергии, равный минимальному из объема фактического производства электрической энергии в месяце m и требуемого объема установленной мощности подлежащего строительству генерирующего объекта, указанного в решении Правительства Российской Федерации, умноженного на количество часов в месяце m (МВт·ч);
- объем электрической энергии, составляющий обязательства по поставке по регулируемым договорам на оптовый рынок в месяце m (МВт·ч);
Ксн - коэффициент, отражающий потребление электрической энергии и мощности на собственные и хозяйственные нужды генерирующего объекта, указанный в решении Правительства Российской Федерации;
- объем мощности, фактически поставленный на оптовый рынок в месяце m (МВт);
- объем мощности, составляющий обязательства по поставке по регулируемым договорам на оптовый рынок в месяце m (МВт).
3. Величина плановой компенсации капитальных затрат для месяца m (
) определяется по формуле:
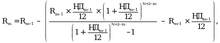
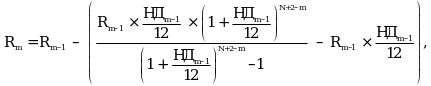
Rm - не возмещенная по состоянию на начало месяца m периода поставки мощности часть капитальных затрат, определяемая в соответствии с пунктом 5 настоящих Правил;
НДm - норма доходности инвестированного капитала (выражаемая в процентах годовых) в отношении месяца m, равная норме доходности инвестированного капитала, определяемой в соответствии с пунктом 6 настоящих Правил в отношении календарного года, предшествующего году, к которому относится месяц m;
N - срок возврата капитальных затрат, равный 240 месяцам.
4. Не возмещенная по состоянию на начало первого (m = 1) месяца периода поставки мощности часть капитальных затрат на строительство генерирующего объекта (R1) определяется по формуле (рублей/МВт):
КЗуд - суммарное удельное значение капитальных затрат в отношении генерирующего объекта, определяемое как отношение суммы значений капитальных затрат на осуществление мероприятий, планируемых к реализации в рамках строительства нового генерирующего объекта (за исключением затрат на осуществление мероприятий по не подлежащему государственному регулированию технологическому присоединению генерирующего объекта к газовой инфраструктуре, в том числе третьих лиц, включая создание объектов сбора, подготовки и транспортировки газа (установок предварительной подготовки газа, установок комплексной подготовки газа, дожимной компрессорной станции), по технологическому присоединению генерирующего объекта к электрическим сетям), к значению установленной мощности генерирующего объекта, указанных в решении Правительства Российской Федерации (рублей/МВт);
ТПуд - суммарные удельные затраты на осуществление мероприятий по не подлежащему государственному регулированию технологическому присоединению генерирующего объекта к газовой инфраструктуре, в том числе третьих лиц, включая создание объектов сбора, подготовки и транспортировки газа (установок предварительной подготовки газа, установок комплексной подготовки газа, дожимной компрессорной станции), по технологическому присоединению генерирующего объекта к электрическим сетям, определяемые как отношение суммы затрат на осуществление указанных мероприятий к объему установленной мощности генерирующего объекта, указанных в решении Правительства Российской Федерации (рублей/МВт);
Кприв - коэффициент приведения, определяемый по формуле:
НДср - среднее арифметическое значение норм доходности, определенных в отношении Nст календарных месяцев, предшествовавших году, на который приходится дата начала фактической поставки мощности. Норма доходности в отношении календарного месяца равна норме доходности, определяемой в отношении календарного года, к которому относится указанный календарный месяц;
Nст - длительность периода реализации проекта по строительству нового генерирующего объекта, указанная в решении Правительства Российской Федерации.
5. Не возмещенная по состоянию на начало месяца m периода поставки мощности, наступающего позднее 1-го месяца (m > 1) периода поставки мощности нового генерирующего объекта, часть капитальных затрат (Rm) определяется по формуле:
где Rm-1 - не возмещенная по состоянию на начало месяца, предшествующего месяцу m, часть капитальных затрат (рублей/МВт).
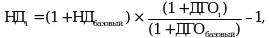
6. Норма доходности инвестированного капитала (выражаемая в процентах годовых) в отношении календарного года i (НДi) определяется по формуле:
НДбазовый - базовый уровень нормы доходности инвестированного капитала, размер которого определен решением Правительства Российской Федерации;
ДГОi - средняя доходность долгосрочных государственных обязательств, определяемая по результатам года i коммерческим оператором оптового рынка в порядке, установленном федеральным органом исполнительной власти, осуществляющим функции по выработке государственной политики и нормативно-правовому регулированию в сфере анализа и социально-экономического развития, с учетом особенностей, предусмотренных договором о присоединении к торговой системе оптового рынка;
ДГОбазовый - базовый уровень доходности долгосрочных государственных обязательств, равный 8,5 процента годовых.
7. Расчетная величина компенсации затрат на уплату поставщиком налога на прибыль организаций (НПm) определяется по формуле:
te - плановый срок (в годах) полезного использования генерирующего объекта, равный 20 годам;
N - срок возврата капитальных затрат, равный 240 месяцам;
ставка НПm - налоговая ставка налога на прибыль организаций, равная величине, указанной в абзаце первом пункта 1 статьи 284 Налогового кодекса Российской Федерации (в редакции, действующей по состоянию на 1 января года, к которому относится месяц m).
8. Расчетная величина компенсации затрат на уплату поставщиком налога на имущество организаций (НИm) определяется по формуле:
где ставка НИm - налоговая ставка налога на имущество организаций, равная величине, указанной в пункте 1 статьи 380 Налогового кодекса Российской Федерации (в редакции, действующей по состоянию на 1 января года, к которому относится месяц m).
9. Договором купли-продажи (поставки) мощности определяется выплачиваемая поставщиком мощности сумма, в случае если предельный объем поставки мощности генерирующего объекта меньше объема, равного 95 процентам объема мощности, составляющего обязательства по поставке мощности по договорам купли-продажи (поставки) мощности, размер которой не может быть меньше величины Sm, определяемой по формуле (рублей):
- цена на мощность генерирующего объекта, определяемая по формуле (рублей/МВт):
Vm - объем мощности, составляющий обязательства по поставке мощности с использованием генерирующего объекта (МВт);
- предельный объем мощности генерирующего объекта, определенный в отношении месяца m по результатам аттестации (в случае задержки начала поставки мощности
равен нулю) (МВт).".
2. В пункте 2 постановления Правительства Российской Федерации от 1 сентября 2021 г. N 1463 "О внесении изменений в Правила оптового рынка электрической энергии и мощности по вопросам проведения отборов мощности новых генерирующих объектов" (Собрание законодательства Российской Федерации, 2021, N 36, ст. 6431):
а) в абзаце втором цифры "2023" заменить цифрами "2025";
б) абзац третий после слов "в решении Правительства Российской Федерации о проведении отбора мощности новых генерирующих объектов" дополнить словами "(решении Правительства Российской Федерации, принятом в соответствии с абзацем первым пункта 112(5) Правил оптового рынка электрической энергии и мощности, утвержденных постановлением Правительства Российской Федерации от 27 декабря 2010 г. N 1172 "Об утверждении Правил оптового рынка электрической энергии и мощности и о внесении изменений в некоторые акты Правительства Российской Федерации по вопросам организации функционирования оптового рынка электрической энергии и мощности)".
- Гражданский кодекс (ГК РФ)
- Жилищный кодекс (ЖК РФ)
- Налоговый кодекс (НК РФ)
- Трудовой кодекс (ТК РФ)
- Уголовный кодекс (УК РФ)
- Бюджетный кодекс (БК РФ)
- Арбитражный процессуальный кодекс
- Конституция РФ
- Земельный кодекс (ЗК РФ)
- Лесной кодекс (ЛК РФ)
- Семейный кодекс (СК РФ)
- Уголовно-исполнительный кодекс
- Уголовно-процессуальный кодекс
- Производственный календарь на 2025 год
- МРОТ 2026
- ФЗ «О банкротстве»
- О защите прав потребителей (ЗОЗПП)
- Об исполнительном производстве
- О персональных данных
- О налогах на имущество физических лиц
- О средствах массовой информации
- Производственный календарь на 2026 год
- Федеральный закон "О полиции" N 3-ФЗ
- Расходы организации ПБУ 10/99
- Минимальный размер оплаты труда (МРОТ)
- Календарь бухгалтера на 2026 год
- Частичная мобилизация: обзор новостей
- Постановление Правительства РФ N 1875









