Распоряжением Минтранса России
от 26 ноября 2024 г. N АШ-261-р
1. Настоящая Методика разработана в соответствии с:
- перечнем поручений по итогам стратегической сессии Правительства Российской Федерации по национальному проекту "Инфраструктура для жизни", состоявшейся 11 июня 2024 г., от 8 августа 2024 г. N ММ-П49-25718;
- Положением об организации проектной деятельности в Правительстве Российской Федерации, утвержденным постановлением Правительства Российской Федерации от 31 октября 2018 г. N 1288;
- Порядком разработки (корректировки) и утверждения методик расчета показателей национальных проектов (программ), государственных программ Российской Федерации и их структурных элементов, утвержденным приказом Министерства экономического развития Российской Федерации от 1 июля 2024 г. N 399;
- требованиями национального стандарта Российской Федерации "ГОСТ Р 71136-2023. Национальные цели развития, национальные проекты (программы) и государственные программы Российской Федерации. Методики расчета показателей. Общие положения и требования к применяемым при расчетах данным", утвержденного приказом Федерального агентства по техническому регулированию и метрологии от 6 декабря 2023 г. N 1521-ст.
2. Методика применяется для расчета показателя "Пассажиропоток в железнодорожном сообщении ЦТУ" (далее - показатель) (код П02621-ИВ) в целях мониторинга федерального проекта "Развитие железнодорожной инфраструктуры Центрального транспортного узла" (ИВ) национального проекта "Инфраструктура для жизни" (И), разрабатываемого в соответствии с указом Президента Российской Федерации от 7 мая 2024 г. N 309 "О национальных целях развития Российской Федерации на период до 2030 года и на перспективу до 2036 года".
3. Показатель характеризует пассажиропоток в железнодорожном пригородном сообщении Центрального транспортного узла (далее - ЦТУ).
ЦТУ - совокупность радиальных и кольцевых железнодорожных линий, соединительных ветвей, подходов, путепроводных развязок и железнодорожных станций со всем комплексом обустройств в границах конечных пунктов следования (обращения) пригородных поездов от вокзалов Москвы до Московской области и прилегающих районов граничащих областей (Владимирской, Рязанской, Тульской, Калужской, Тверской областей).
4. Федеральным органом исполнительной власти, ответственным за расчет показателя, а также формирование и предоставление (распространение) информации по нему, является Министерство транспорта Российской Федерации,
5. Расчет показателя осуществляется посредством использования государственной информационной системы "Цифровая аналитическая платформа предоставления статистических данных" (далее - информационная система) в соответствии с алгоритмом расчета, приведенным в настоящей Методике, и на основе значений компонентов показателя, представленных в соответствии с настоящей Методикой.
Сроки расчета показателя в информационной системе:
- ежемесячно не позднее 8-го рабочего дня месяца, следующего за отчетным месяцем (для оперативных данных);
- ежегодно не позднее 18-го апреля года, следующего за отчетным годом (для уточнения годовых данных).
В случае непредставления для расчета показателя в информационную систему значений компонентов показателя в порядке и в сроки, установленные настоящей Методикой, при расчете значения показателя используются данные прошлого периода.
6. Показатель рассчитывается в рамках границ ЦТУ (границы ЦТУ указаны в приложении N 1 к Методике) в целом по Российской Федерации с ежемесячной периодичностью по состоянию на последнее число отчетного месяца, нарастающим итогом с начала отчетного года.
7. Предельное значение показателя стремится к бесконечности.
8. Сроки предоставления (распространения) информации по показателю:
- ежемесячно не позднее 8-го рабочего дня месяца, следующего за отчетным месяцем (для оперативных данных):
- ежегодно не позднее 18-го апреля года, следующего за отчетным годом (для уточнения годовых данных).
9. Единица измерения показателя - пассажиропоток (количество пассажиров) (код по ОКЕИ - 427).
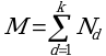
10. Показатель (M) рассчитывается по формуле;
Nd - пассажиропоток (количество пассажиров) в пригородном сообщении по d-му направлению ЦТУ на конец отчетного периода нарастающим итогом с начала года (пасс.):
k - количество направлений в ЦТУ.
11. Компонент (Nd) рассчитывается по формуле:
xij - пассажиропоток (количество пассажиров), проехавших между остановочными пунктами i и j за отчетный период (год или месяц), xij
0;
n - количество остановочным пунктов (станций) (перечень остановочных пунктов в приложении N 2 к методике), расположенных на d-ом направлении в отчетном периоде (год или месяц).
12. Источником информации для компонента (Nd) являются статистические данные о постанционном отправлении и прибытии пассажиров, формируемых на основе данных АСУ "Экспресс" (подсистема АСУ "Пригород") по форме ЦО-22, утвержденной распоряжением ОАО "РЖД" от 10 декабря 2004 г. N 3787р.
Расчет компонента (Nd) осуществляется в Корпоративном информационном хранилище "Пассажирские пригородные перевозки" ГВЦ ОАО "РЖД" на основании указанных статистических данных.
13. Информация по компоненту (Nd) при расчете ежемесячного показателя предоставляется в информационную систему:
- ежемесячно - не позднее 5-ого рабочего дня месяца, следующего за отчетным (для оперативных данных);
- ежегодно - не позднее 5-ого рабочего дня года, следующего за отчетным (для уточненных данных - не позднее 15-го апреля года, следующего за отчетным).
14. Верификация данных по компоненту Nd обеспечивается ОАО "РЖД" посредством проверки полноты и корректности предоставленных данных, а также их арифметической точности.
- Гражданский кодекс (ГК РФ)
- Жилищный кодекс (ЖК РФ)
- Налоговый кодекс (НК РФ)
- Трудовой кодекс (ТК РФ)
- Уголовный кодекс (УК РФ)
- Бюджетный кодекс (БК РФ)
- Арбитражный процессуальный кодекс
- Конституция РФ
- Земельный кодекс (ЗК РФ)
- Лесной кодекс (ЛК РФ)
- Семейный кодекс (СК РФ)
- Уголовно-исполнительный кодекс
- Уголовно-процессуальный кодекс
- Производственный календарь на 2025 год
- МРОТ 2026
- ФЗ «О банкротстве»
- О защите прав потребителей (ЗОЗПП)
- Об исполнительном производстве
- О персональных данных
- О налогах на имущество физических лиц
- О средствах массовой информации
- Производственный календарь на 2026 год
- Федеральный закон "О полиции" N 3-ФЗ
- Расходы организации ПБУ 10/99
- Минимальный размер оплаты труда (МРОТ)
- Календарь бухгалтера на 2026 год
- Частичная мобилизация: обзор новостей
- Постановление Правительства РФ N 1875
, (1)
, (2)