Таблица 10. Исходные данные для расчета гидравлических характеристик трубопроводов
для расчета гидравлических характеристик трубопроводов
|
|
||||||||
33. Потери напора
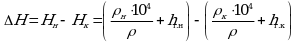
(м) по подающему или обратному трубопроводу при максимальном расходе сетевой воды должны определяться по формуле:
Hн и Hк - полный напор в трубопроводе в начале и конце участка, м;
и
- показания манометров (с поправками), в начале и конце участка трубопровода, кг/см2;
hг.н и hг.к - геодезические отметки (поправки) на положение манометров, установленных в начале и конце участка, м; определяемые по результатам начального (статического) этапа испытания на гидравлические потери в соответствии с пунктом 27 настоящего приложения.
34. Для участков, на которых установлены измерительные диафрагмы, потери напора в них должны исключаться из общей потери напора.
35. Фактическое гидравлическое сопротивление участка сети sф (ч2/м5) определяется по формуле:
Gф - расход сетевой воды при испытаниях, м3/час.
36. Коэффициент гидравлического сопротивления (трения) определяется по формуле:
37. Значение эквивалентной шероховатости (м) определяется по формуле:
Результаты расчетов оформляются в табличном виде в соответствии с таблицей 11 настоящего пункта.
- Гражданский кодекс (ГК РФ)
- Жилищный кодекс (ЖК РФ)
- Налоговый кодекс (НК РФ)
- Трудовой кодекс (ТК РФ)
- Уголовный кодекс (УК РФ)
- Бюджетный кодекс (БК РФ)
- Арбитражный процессуальный кодекс
- Конституция РФ
- Земельный кодекс (ЗК РФ)
- Лесной кодекс (ЛК РФ)
- Семейный кодекс (СК РФ)
- Уголовно-исполнительный кодекс
- Уголовно-процессуальный кодекс
- Производственный календарь на 2025 год
- МРОТ 2026
- ФЗ «О банкротстве»
- О защите прав потребителей (ЗОЗПП)
- Об исполнительном производстве
- О персональных данных
- О налогах на имущество физических лиц
- О средствах массовой информации
- Производственный календарь на 2026 год
- Федеральный закон "О полиции" N 3-ФЗ
- Расходы организации ПБУ 10/99
- Минимальный размер оплаты труда (МРОТ)
- Календарь бухгалтера на 2026 год
- Частичная мобилизация: обзор новостей
- Постановление Правительства РФ N 1875
, (13)
, (14)
(15)
(16)