7. Порядок расчета объема средств, подлежащих возврату в бюджет Фонда
В случае если работодателем по истечении 3-го, 6-го, 9-го и 12-го месяцев работы трудоустроенного гражданина допущено недостижение значения результата предоставления субсидии, размер средств, подлежащих возврату в бюджет Фонда до 1 июня года, следующего за годом предоставления субсидии (Vвозврата), рассчитывается по формуле:
Vсуб - размер субсидии, предоставленной работодателю;
k - коэффициент возврата субсидии.
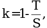
Коэффициент возврата субсидии (k) определяется по формуле:
T - фактически достигнутое по истечении соответствующих периодов значение результата предоставления субсидии;
S - плановое значение результата предоставления субсидии.
Основанием для освобождения работодателя от возврата субсидии в бюджет Фонда является документально подтвержденное наступление обстоятельств непреодолимой силы, препятствующих исполнению соответствующих обязательств.
В случае нарушения получателем субсидий условий, установленных при предоставлении субсидии, выявленного в том числе по фактам проверок, проведенных Фондом и (или) органом государственного финансового контроля (за исключением случая недостижения значения результата предоставления субсидии), к получателю субсидии применяются штрафные санкции в объеме выявленных нарушений, подлежащие перечислению в доход бюджета Фонда.
(в ред. прик. от 30.12.2025 N 1786)
- Гражданский кодекс (ГК РФ)
- Жилищный кодекс (ЖК РФ)
- Налоговый кодекс (НК РФ)
- Трудовой кодекс (ТК РФ)
- Уголовный кодекс (УК РФ)
- Бюджетный кодекс (БК РФ)
- Арбитражный процессуальный кодекс
- Конституция РФ
- Земельный кодекс (ЗК РФ)
- Лесной кодекс (ЛК РФ)
- Семейный кодекс (СК РФ)
- Уголовно-исполнительный кодекс
- Уголовно-процессуальный кодекс
- Производственный календарь на 2025 год
- МРОТ 2026
- ФЗ «О банкротстве»
- О защите прав потребителей (ЗОЗПП)
- Об исполнительном производстве
- О персональных данных
- О налогах на имущество физических лиц
- О средствах массовой информации
- Производственный календарь на 2026 год
- Федеральный закон "О полиции" N 3-ФЗ
- Расходы организации ПБУ 10/99
- Минимальный размер оплаты труда (МРОТ)
- Календарь бухгалтера на 2026 год
- Частичная мобилизация: обзор новостей
- Постановление Правительства РФ N 1875
