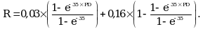
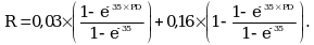
Положение Банка России от 02.11.2024 N 845-П "О порядке расчета величины кредитного риска банками с применением банковских методик управления кредитным риском и моделей количественной оценки кредитного риска" (вместе с "Требованиями к качеству используемых в банковских моделях количественной оценки кредитного риска данных", "Требованиями к консервативной надбавке, применяемой в рамках порядка расчета величины принимаемого банком кредитного риска с применением банковских методик управления кредитным риском и моделей количественной оценки кредитного риска") (Зарегистрировано в Минюсте России 28.12.2024 N 80878)
Этот документ в некоммерческой версии КонсультантПлюс доступен по расписанию:
- по рабочим дням с 20-00 до 24-00 (время московское)
- в выходные и праздничные дни в любое время
Вы можете заказать документ на e-mail
Тексты документов всегда доступны в коммерческой версии КонсультантПлюс.
Получить спецпредложение на покупку КонсультантПлюс или обратиться в региональный центр КонсультантПлюс.
- Гражданский кодекс (ГК РФ)
- Жилищный кодекс (ЖК РФ)
- Налоговый кодекс (НК РФ)
- Трудовой кодекс (ТК РФ)
- Уголовный кодекс (УК РФ)
- Бюджетный кодекс (БК РФ)
- Арбитражный процессуальный кодекс
- Конституция РФ
- Земельный кодекс (ЗК РФ)
- Лесной кодекс (ЛК РФ)
- Семейный кодекс (СК РФ)
- Уголовно-исполнительный кодекс
- Уголовно-процессуальный кодекс
- Производственный календарь на 2025 год
- МРОТ 2026
- ФЗ «О банкротстве»
- О защите прав потребителей (ЗОЗПП)
- Об исполнительном производстве
- О персональных данных
- О налогах на имущество физических лиц
- О средствах массовой информации
- Производственный календарь на 2026 год
- Федеральный закон "О полиции" N 3-ФЗ
- Расходы организации ПБУ 10/99
- Минимальный размер оплаты труда (МРОТ)
- Календарь бухгалтера на 2026 год
- Частичная мобилизация: обзор новостей
- Постановление Правительства РФ N 1875