30. Интенсивность теплового излучения q (кВт/м2) для пожара пролива ЛВЖ, ГЖ, сжиженного природного газа (далее - СПГ) или СУГ определяется по формуле:
где Ef - среднеповерхностная интенсивность теплового излучения пламени, кВт/м2;
Fq - угловой коэффициент облученности;
- коэффициент пропускания атмосферы.
31. Значение Ef принимается на основе имеющихся экспериментальных данных или по таблице П3.4.
Среднеповерхностная плотность теплового излучения пламени
в зависимости от диаметра очага и удельная массовая скорость
выгорания для некоторых жидких топлив
При использовании данных, представленных в таблице П3.4, для диаметров очага менее 10 м или более 50 м Ef принимается такой же, как и для очагов диаметром 10 м и 50 м соответственно.
При отсутствии данных для нефти и нефтепродуктов величину Ef (кВт/м2) следует определять по формуле:
Ef = 140 · e-0,12·d + 20 · (1 - e-0,12·d), (П3.53)
где d - эффективный диаметр пролива, м.
При отсутствии данных для однокомпонентных жидкостей величину Ef (кВт/м2) следует определять по формуле:
где m' - удельная массовая скорость выгорания, кг/(м2 с);
HСГ - удельная теплота сгорания, кДж/кг;
При отсутствии данных для однокомпонентных жидкостей величину m' (кг/(м2 с) следует определять по формуле:
где Lg - удельная теплота испарения жидкости, кДж/кг;
CP - удельная теплоемкость жидкости, кДж/(кг·К);
Tb - температура кипения жидкости при атмосферном давлении, К;
Ta - температура окружающей среды, К.
Для многокомпонентных смесей жидкостей допускается определение значений Ef и m' по компонентам, для которых величины Ef и m' максимальны.
32. Угловой коэффициент облученности Fq определяется по формуле:
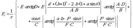
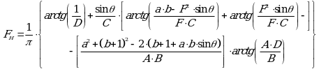
где FV, FH - факторы облученности для вертикальной и горизонтальной площадок соответственно, определяемые для площадок, расположенных в 90° секторе в направлении наклона пламени, по следующим формулам:
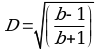
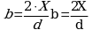
где X - расстояние от геометрического центра пролива до облучаемого объекта, м;
d - эффективный диаметр пролива, м;
- угол отклонения пламени от вертикали под действием ветра.
Для площадок, расположенных вне указанного сектора, а также в случаях отсутствия ветра факторы облученности для вертикальной и горизонтальной площадок рассчитываются по формулам (П3.55) - (П3.57.7) и (П3.59.1), принимая
.
Эффективный диаметр пролива d (м) рассчитывается по формуле:
Длина пламени L (м) определяется по формулам:
где m' - удельная массовая скорость выгорания топлива, кг/(м2·с);
- плотность окружающего воздуха, кг/м3;
- плотность насыщенных паров топлива при температуре кипения, кг/м3;
g - ускорение свободного падения (9,81 м/с2).
Угол отклонения пламени от вертикали под действием ветра
рассчитывается по формуле:
33. Коэффициент пропускания атмосферы
для пожара пролива определяется по формуле:
В случае существенной разницы размеров пролива в различных направлениях (ширина пролива, его протяженность) форму пламени при горении аппроксимируют набором цилиндров с диаметром, равным ширине пролива. Суммарное излучение от совокупности цилиндров будет соответствовать излучению от пролива сложной формы.
- Гражданский кодекс (ГК РФ)
- Жилищный кодекс (ЖК РФ)
- Налоговый кодекс (НК РФ)
- Трудовой кодекс (ТК РФ)
- Уголовный кодекс (УК РФ)
- Бюджетный кодекс (БК РФ)
- Арбитражный процессуальный кодекс
- Конституция РФ
- Земельный кодекс (ЗК РФ)
- Лесной кодекс (ЛК РФ)
- Семейный кодекс (СК РФ)
- Уголовно-исполнительный кодекс
- Уголовно-процессуальный кодекс
- Производственный календарь на 2025 год
- МРОТ 2026
- ФЗ «О банкротстве»
- О защите прав потребителей (ЗОЗПП)
- Об исполнительном производстве
- О персональных данных
- О налогах на имущество физических лиц
- О средствах массовой информации
- Производственный календарь на 2026 год
- Федеральный закон "О полиции" N 3-ФЗ
- Расходы организации ПБУ 10/99
- Минимальный размер оплаты труда (МРОТ)
- Календарь бухгалтера на 2026 год
- Частичная мобилизация: обзор новостей
- Постановление Правительства РФ N 1875
, (П3.52)
, (П3.53.1)
, (П3.53.2)
, (П3.54)
, (П3.55)
, (П3.56)
, (П3.57)
, (П3.57.1)
, (П3.57.2)
, (П3.57.3)
, (П3.57.4)
, (П3.57.5)
, (П3.57.6)
, (П3.57.7)
, (П3.58)
; (П3.59)
(П3.59.1)
(П3.60)
. (П3.61)
. (П3.62)