Методика, утв. данным документом, введена в действие с 1 января 2025 года.

VII. Определение значений индивидуального и социального пожарных рисков

VII. Определение значений индивидуального и социального

пожарных рисков

32. Расчет значений индивидуального и социального пожарных рисков в зданиях и на территории объекта, а также в жилой зоне, общественно-деловой зоне или зоне рекреационного назначения вблизи объекта проводится с использованием в качестве промежуточной величины значения соответствующего потенциального пожарного риска.

33. Величина потенциального пожарного риска P(a) (год-1) (далее - потенциальный риск) в определенной точке (a) как на территории объекта, так и в жилой зоне, общественно-деловой зоне или зоне рекреационного назначения вблизи объекта определяется по формуле:

Рисунок 1, (1)

где J - число сценариев развития пожароопасных ситуаций (пожаров, ветвей логического дерева событий);

Qdj(a) - условная вероятность поражения человека в определенной точке территории (a) в результате реализации j-го сценария развития пожароопасных ситуаций, отвечающего определенному инициирующему аварию событию;

Qj - частота реализации в течение года j-го сценария развития пожароопасных ситуаций, год-1.

Условные вероятности поражения человека Qdj(a) определяются по критериям поражения людей опасными факторами пожара, взрыва.

При расчете риска рассматриваются различные метеорологические условия с типичными направлениями ветров и ожидаемой частотой их возникновения.

Частота реализации в течение года j-го сценария пожара определяется по формуле:

Рисунок 2, (2)

где Fi - частота реализации в течение года i-го начального события, год-1;

Kj - число ключевых событий при развитии j-го сценария пожара, связанного с возникновением i-ого начального события;

Ek - условная вероятность реализации k-го ключевого события.

34. В качестве начальных событий рассматриваются пожароопасные ситуации или пожары, возникающие вследствие:

а) поступления в окружающее пространство пожароопасных, пожаровзрывоопасных и (или) взрывоопасных технологических сред;

б) появления источника зажигания, способного инициировать пожар горючих веществ и материалов, обращающихся на участке территории объекта, наружной установке, в здании.

35. Определение состава начальных событий осуществляется для каждого из участков территории объекта, наружной установки, здания (помещения) на основе объемно-планировочных и конструктивных решений, характера размещения технологического оборудования, свойств и характера размещения обращающихся и применяемых горючих веществ и материалов, возможности раздельной герметизации отдельных участков технологических систем, за исключением случаев, предусмотренных пунктом 41 настоящей Методики.

36. При проведении расчета риска рассматриваются различные пожароопасные ситуации, определяются зоны поражения опасными факторами пожара, взрыва и частоты реализации указанных пожароопасных ситуаций, за исключением случаев, предусмотренных пунктом 40 настоящей Методики. Для удобства расчетов территория местности разделяется на зоны, внутри которых величины P(a) полагаются одинаковыми и равными максимальному значению величины P(a) в этих зонах.

37. В необходимых случаях оценка условной вероятности поражения человека проводится с путем оценки совместного воздействия более чем одного опасного фактора. Для расчета условной вероятности поражения человека при реализации сценария, связанного с взрывом резервуара с ЛВЖ под давлением, находящегося в очаге пожара, необходимо учитывать, кроме теплового излучения огненного шара, воздействие волны давления.

38. Условная вероятность поражения человека Qdj(a) от совместного независимого воздействия несколькими опасными факторами в результате реализации j-го сценария развития пожароопасных ситуаций определяется по формуле:

Рисунок 3, (3)

где h - число рассматриваемых опасных факторов;

Qk - вероятность реализации k-го опасного фактора;

Qdjk(a) - условная вероятность поражения k-ым опасным фактором.

39. Величина потенциального риска Pn (год-1) в n-ом помещении определяется по формуле:

Рисунок 4, (4)

где J - число расчетных сценариев развития пожара в здании;

Qj - частота реализации в течение года j-го сценария пожара, год-1;

Lnj - условная вероятность поражения человека при его нахождении в n-ом помещении при реализации j-го сценария пожара.

40. Для здания (помещения) в качестве расчетного допускается рассматривать один наиболее неблагоприятный сценарий пожара. При этом расчетная частота этого сценария пожара должна приниматься равной суммарной частоте реализации всех возможных в здании (помещении) сценариев пожара.

К наиболее неблагоприятному сценарию пожара следует относить сценарий пожара, характеризующийся максимальной условной вероятностью поражения человека по отношению к другим сценариям пожара в здании (помещении).

Для определения расчетных сценариев пожара для помещения или пожароопасного участка в пределах помещения допускается рассматривать одно начальное событие. При этом развитие этого события должно привести к реализации наиболее неблагоприятного сценария пожара с частотой реализации, соответствующей суммарной частоте всех сценариев для всего помещения или пожароопасного участка в пределах помещения.

При рассмотрении различных начальных событий, реализация которых возможна в здании (помещении), допускается их объединение в группы, характеризующиеся схожими механизмами возникновения и близкими сценариями развития пожара. При этом для каждой группы начальных событий допускается рассмотрение одного типового представительного начального события с частотой реализации, соответствующей суммарной частоте для всей группы.

41. Для каждого из помещений объекта при определении сценариев пожара следует учитывать наличие и эффективность следующих технических средств и мероприятий по обеспечению пожарной безопасности:

а) системы автоматического обнаружения утечек горючих веществ и иных систем обнаружения пожароопасных ситуаций;

б) системы аварийного отключения технологического оборудования, сброса избыточного давления, опорожнения оборудования и трубопроводов;

в) системы предотвращения образования взрывоопасных смесей горючих газов (паров);

г) средства ограничения распространения пожара и его опасных факторов;

д) установки водяного орошения;

е) системы противодымной защиты (далее - ПДЗ) рассматриваемого помещения и путей эвакуации совместно с системой пожарной сигнализации (далее - СПС);

ж) системы оповещения и управления эвакуацией людей при пожаре (далее - СОУЭ) совместно с СПС;

з) автоматические установки пожаротушения (далее - АУП) в помещении очага пожара (совместно с СПС, в случае если предусматривается только принудительный пуск АУП при срабатывании СПС);

и) иные технические средства и мероприятия по обеспечению пожарной безопасности, учитывающие специфику здания (помещения).

42. При определении расчетных величин пожарного риска для находящихся в здании (помещении) людей должны учитываться технические средства и мероприятия, направленные на обеспечение пожарной безопасности находящихся (эвакуирующихся) из здания (помещения) людей, при этом может быть рассмотрен отказ только от одного из технических средств и мероприятий по обеспечению пожарной безопасности, перечисленных в подпунктах "е", "з" пункта 41 Методики и установленных нормативными документами по пожарной безопасности.

При определении условной вероятности поражения людей, находящихся в помещении очага пожара, не следует учитывать наличие в этом помещении СПС и СОУЭ (за исключением случаев, когда пожар не может быть обнаружен одновременно всеми находящимися в помещении людьми, при этом учитывается время, необходимое для срабатывания СОУЭ при оценке времени начала эвакуации), а также АУП, срабатывание которых допускается только после эвакуации находящихся в защищаемом помещении людей (в частности, при наличии установок газового пожаротушения).

43. При рассмотрении сценариев пожаров на АЭС требуется рассматривать сценарии пожара в блочном пункте управления АЭС (блочном щите управления) и эвакуации оперативного персонала на центральный щит управления (резервный щит управления), резервный пункт управления (блочный пункт управления).

44. На объектах с обращением радиоактивных веществ расчет пожарного риска в зоне их обращения (зона контролируемого доступа) должен проводиться с оценкой времени, затрачиваемого на эвакуацию через шлюзы и двери. Время эвакуации через шлюз определяется экспериментально.

45. Условная вероятность поражения человека Lnj при его нахождении в n-ом помещении при реализации j-го сценария пожара определяется по формуле:

Lnj = (1 - Enj) · (1 - Snj) · (1 - Dnj), (5)

где Enj - вероятность эвакуации людей, находящихся в n-ом помещении, по эвакуационным путям при реализации j-го сценария пожара;

Dnj - вероятность эффективной работы технических средств по обеспечению пожарной безопасности n-го помещения при реализации j-го сценария;

Snj - вероятность выхода людей, находящихся в n-ом помещении, через аварийные или иные выходы при реализации j-го сценария пожара.

При отсутствии данных вероятность Snj следует принимать равной 0,03 при наличии аварийных или иных выходов и 0,001 при их отсутствии.

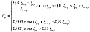
Вероятность эвакуации по эвакуационным путям Enj определяется по формуле:

Рисунок 5, (6)

Вероятность эвакуации Enj из помещений категорий В3, В4, Г и Д по пожарной опасности, входящих в состав зданий или пожарных отсеков, площадь которых соответствует требованиям нормативных документов по пожарной безопасности допускается рассчитывать по формулам:

Рисунок 6, (7)

Рисунок 7, (8)

где tбл.nj - время от начала реализации j-го сценария пожара до блокирования эвакуационных путей из n-го помещения в результате распространения на них опасных факторов пожара, имеющих предельно допустимые для людей значения (время блокирования эвакуационных путей из n-го помещения), с;

tр.nj - расчетное время эвакуации людей из n-го помещения при j-ом сценарии пожара, с;

tН.Эnj - интервал времени от начала пожара до начала эвакуации людей из n-го помещения при j-ом сценарии пожара, с;

Рисунок 8 - стандартное отклонение расчетного времени эвакуации людей tр.nj из n-го помещения при j-ом сценарии пожара, с;

Рисунок 9 - стандартное отклонение времени tбл.nj от начала реализации j-го сценария пожара до блокирования эвакуационных путей из n-го помещения в результате распространения на них опасных факторов пожара, имеющих предельно допустимые для людей значения (время блокирования эвакуационных путей из n-го помещения), с.

Стандартное отклонение Рисунок 10 определяется на основе имеющихся экспериментальных данных о стандартном отклонении расчетного времени эвакуации людей из зданий.

При отсутствии данных следует принимать Рисунок 11 равным:

0,1 tр.nj - для зданий, в которых допускается нахождение только обученного персонала, с которым регулярно проводятся тренировки по действиям при возникновении пожароопасных ситуаций и пожаров;

0,3 tр.nj - в остальных случаях.

Стандартное отклонение Рисунок 12 определяется на основе анализа возможных в здании сценариев пожара с оценкой предусмотренного технологическим регламентом изменения параметров пожарной нагрузки как при ведении технологического процесса, так и проведении регламентных работ.

При отсутствии данных следует принимать Рисунок 13 равным:

0 - для совокупности сценариев, связанных с начальным событием, при котором в пожароопасную ситуацию или пожар вовлечено максимальное количество пожарной нагрузки, а также при выборе в качестве расчетного для здания (помещения) одного наиболее неблагоприятного сценария пожара в соответствии с пунктом 40 Методики;

0,3 tбл.nj - в остальных случаях.

Величина Dnj рассчитывается по формулам:

если пуск ПДЗ и СОУЭ предусматривается от СПС, а пуск АУП осуществляется независимо от СПС:

Рисунок 14, (9)

если пуск АУП, ПДЗ и СОУЭ предусматривается от СПС:

Рисунок 15. (10)

Для более сложных схем пуска величину Dnj следует рассчитывать, используя метод логических деревьев.

46. При рассмотрении сценариев, связанных с факельным горением или пожаром пролива в помещении (помещениях), условная вероятность поражения человека Lnj в этом помещении принимается равной 1 в следующих случаях:

а) если длина пламени при факельном горении больше половины длины, ширины либо высоты помещения;

б) если площадь горящего пролива больше либо равна 50% площади помещения, или высота пламени больше либо равна высоте помещения.

В противном случае оценка условной вероятности поражения человека производится в соответствии с формулой (5) Методики.

47. При рассмотрении сценариев, связанных со сгоранием газо-, паро- или пылевоздушной смеси в помещении категории А или Б по взрывопожарной опасности, условная вероятность Lnj поражения человека в помещении здания принимается равной 1 при сгорании газо-, паро- или пылевоздушной смеси в этом помещении.

Размеры пламени при факельном горении и пожаре пролива определяются в соответствии с методами, указанными в приложении N 3 к Методике.

При распространении опасных факторов пожара на пути эвакуации в зоне с обращением радиоактивных веществ вероятность поражения человека при эвакуации по этим путям принимается равной 1.

Интервал времени от начала пожара до начала эвакуации людей Рисунок 16 определяется по результатам исследования поведения людей при пожарах в зданиях конкретного назначения в зависимости от наличия и параметров СОУЭ. В качестве исследований допускается использовать выводы из результатов тренировок по эвакуации.

Если местом возникновения пожара является помещение, в котором отсутствуют препятствия (ограждения, технологическое оборудование, стеллажи, сложная геометрическая форма помещения и тому подобное), мешающие свободному визуальному осмотру всей площади помещения, где пожар может быть обнаружен одновременно всеми находящимися в нем людьми, время начала эвакуации людей (tнэ) допускается принимать равным 0.

При наличии указанных препятствий время начала эвакуации необходимо принимать равным меньшему из значений времени начала эвакуации, полученных по формуле (11) и по формуле (12):

tнэ = 5 + 0,01 · F, (11)

где F - площадь помещения, м2.

Время начала эвакуации для зданий, оборудованных СПС (или АУП, выполняющими функцию СПС) и СОУЭ, определяется по формуле:

Рисунок 17, (12)

где tпор - время достижения порогового значения величины опасного фактора, порогового для срабатывания пожарного извещателя, с;

Рисунок 18 - время задержки, связанное с инерционностью системы обнаружения пожара, с;

Рисунок 19 - время задержки, связанное с задержкой оповещения людей при пожаре, с. Принимается равным нулю при одновременном оповещении людей в здании или определяется алгоритмом оповещения при поэтапном оповещении;

tпредв - время проведения предварительных действий, предшествующих началу эвакуации, включающее время, необходимое на проведение регламентных операций при пожаре. Определяется в соответствии с должностными обязанностями персонала при пожаре. При отсутствии данных значение tпредв следует принимать равным 30 с.

Определение времени достижения порогового значения срабатывания пожарного извещателя tпор и времени задержки, связанного с инерционностью системы обнаружения пожара Рисунок 20, производится по методике определения расчетных величин пожарного риска в зданиях, сооружениях и пожарных отсеках различных классов функциональной пожарной опасности, утвержденной приказом МЧС России от 14 ноября 2022 г. N 1140 <1> (далее - методика определения расчетных величин пожарного риска в зданиях, сооружениях и пожарных отсеках различных классов функциональной пожарной опасности).

--------------------------------

<1> Зарегистрирован Министерством юстиции Российской Федерации 20 марта 2023 г., регистрационный N 72633.

В случае отсутствия необходимых для расчета по формуле (12) данных величина tН.Э принимается по таблице 1.

Таблица 1

Время начала эвакуации из помещений

Для помещений при реализации сценариев пожара

При срабатывании СОУЭ, мин

С отказом СОУЭ/при отсутствии СОУЭ

Для помещений на этаже пожара, мин

Для помещений на остальных этажах, мин

0,5

0,5

2,0

В случае, если для эвакуирующихся предусмотрено надевание и включение в средства индивидуальной защиты органов дыхания (далее - СИЗОД), то ко времени начала эвакуации следует прибавлять время, требуемое для надевания и включения в СИЗОД. Время, требуемое для надевания и включения в СИЗОД, принимается в соответствии с принятыми инструкциями и нормативами, а также может быть определено экспериментально. При отсутствии данных следует принимать это время равным 60 с.

48. Методы определения критической продолжительности пожара по опасным факторам пожара и расчетного времени эвакуации приведены в приложении N 5 к Методике.

Расчетное время эвакуации tрnj рассчитывается при максимально возможной расчетной численности людей в здании, определяемой на основе решений по организации эксплуатации здания. Допускается при расчете времени эвакуации принимать размещение людей в наиболее удаленной от эвакуационных выходов точке помещения.

Допускается определять расчетное времен эвакуации на основе экспериментальных данных или использовать иные методы, содержащиеся в методике определения расчетных величин пожарного риска в зданиях, сооружениях и пожарных отсеках различных классов функциональной пожарной опасности.

49. Время tблnj от начала реализации j-го сценария пожара до блокирования эвакуационных путей из n-го помещения в результате распространения на них опасных факторов пожара определяется путем выбора из полученных в результате расчетов значений критической продолжительности пожара минимального времени:

Рисунок 21, (13)

где Рисунок 22 - критическая продолжительность пожара по условию блокирования эвакуационных путей в результате воздействия теплового излучения и (или) повышенной температуры, мин;

Рисунок 23 - критическая продолжительность пожара по условию блокирования эвакуационных путей по потере видимости, мин;

Рисунок 24 - критическая продолжительность пожара по условию блокирования эвакуационных путей в результате снижения концентрации кислорода, мин;

Рисунок 25 - критическая продолжительность пожара по условию блокирования эвакуационных путей в результате повышения концентрации токсичных продуктов горения и термического разложения, мин.

Критические продолжительности пожара определяют по результатам расчета значений опасных факторов пожара на эвакуационных путях в различные моменты времени по методам, приведенным в приложении N 5 к Методике.

50. Индивидуальный пожарный риск (далее - индивидуальный риск) для работников и посетителей (для объектов, где это обусловлено спецификой их функционирования, в частности, автозаправочные станции) объекта оценивается частотой поражения определенного работника и посетителя объекта опасными факторами пожара, взрыва в течение года.

Области, на которые разбита территория объекта, нумеруются:

i = 1, ..., I.

Работники (посетители) объекта нумеруются:

m = 1, ..., M.

Номер работника (посетителя) m однозначно определяет наименование должности работника, его категорию и другие особенности его профессиональной деятельности (действий посетителя), необходимой для оценки пожарной безопасности. Допускается проводить расчет индивидуального риска для работника объекта, относя его к одной категории наиболее опасной профессии, и для посетителя, относя его к группе посетителей, для которых угроза при нахождении на объекте максимальна.

51. Величина индивидуального риска Rm (год-1) для работника (посетителя) m объекта при его нахождении на территории объекта определяется по формуле:

Рисунок 26, (14)

где P(i) - величина потенциального риска в i-ой области территории объекта, год-1;

qim - вероятность присутствия работника (посетителя) m в i-ой области территории объекта.

52. Величина индивидуального риска Rm (год-1) для работника (посетителя) m при его нахождении в здании объекта, обусловленная опасностью пожаров в здании, определяется по формуле:

Рисунок 27, (15)

где Pn - величина потенциального риска в n-ом помещении, год-1;

qnm - вероятность присутствия работника (посетителя) m в n-ом помещении;

N - число помещений в здании.

53. Индивидуальный риск работника (посетителя) m объекта определяется как сумма величин индивидуального риска при нахождении работника (посетителя) на территории и в зданиях объекта, определенных по формулам (14) и (15).

Индивидуальный риск работника (посетителя) m объекта при его нахождении в нескольких зданиях объекта определяется как сумма величин индивидуального риска при нахождении работника (посетителя) в каждом из зданий объекта, определенных по формуле (15).

54. Вероятности qim и qnm определяются исходя из доли времени нахождения рассматриваемого человека в i-ой области территории и (или) в n-ом помещении здания в течение года на основе решений по организации эксплуатации и технического обслуживания оборудования и зданий объекта.

55. Для людей, находящихся в жилой зоне, общественно-деловой зоне или зоне рекреационного назначения вблизи объекта, индивидуальный риск принимается на основе потенциального риска в этих зонах и доли времени присутствия людей в зданиях, прочих открытых территориях, расположенных в жилой, общественно-деловой или рекреационной зонах вблизи производственного объекта и вычисляется по формуле:

Ri = Pi · qi, (16)

где Pi - величина потенциального риска в месте расположения указанных зданий, а также прочих открытых территорий в жилой, общественно-деловой или рекреационной зонах, год-1;

qi - доля времени присутствия, принимаемая:

для зданий класса функциональной пожарной опасности Ф1 - 1;

для зданий классов функциональной пожарной опасности Ф2, Ф3, Ф4 и Ф5 - доля времени присутствия людей в соответствии с организационно-распорядительными документами для этих зданий;

для прочих открытых территорий в общественно-деловой или рекреационных зонах определяется на основе времени нахождения в них людей, а при отсутствии сведений ее следует принимать равной 1.

Социальный пожарный риск (далее - социальный риск) принимается равным частоте возникновения событий, ведущих к гибели 10 и более человек.

Для людей, находящихся в жилой, общественно-деловой или рекреационной зонах вблизи объекта, социальный риск S (год-1) определяется по формуле:

Рисунок 28, (17)

где L - число сценариев развития пожароопасных ситуаций (пожаров), для которых выполняется условие Nj Рисунок 29 10;

Nj - среднее число погибших людей в жилой, общественно-деловой или рекреационной зонах вблизи объекта в результате реализации j-го сценария в результате воздействия опасных факторов пожара, взрыва.

56. Величина Nj определяется по формуле:

Рисунок 30, (18)

где I - количество областей, на которые разделена территория, прилегающая к объекту (i - номер области);

Qdij - условная вероятность поражения человека, находящегося в i-ой области, опасными факторами при реализации j-го сценария;

ni - среднее число людей, находящихся в i-ой области.

57. Величина потенциального риска P(r) (год-1) в определенной точке на расстоянии r от оси магистрального трубопровода определяется по формуле:

Рисунок 31, (19)

где Рисунок 32 - удельная частота разгерметизации линейной части магистрального трубопровода для j-го типа разгерметизации на участке m магистрального трубопровода, год-1·м-1;

K0 - число сценариев развития пожароопасной ситуации или пожара. При этом подлежат рассмотрению для каждого типа разгерметизации следующие сценарии: факельное горение, пожар пролива (для истечения жидкой фазы), пожар-вспышка, сгорание газопаровоздушной смеси в открытом пространстве;

J0 - число рассматриваемых типов разгерметизации;

Qjk - условная вероятность реализации k-го сценария развития пожароопасной ситуации (пожара) для j-го типа разгерметизации;

Qnopjk(x,r) - условная вероятность поражения человека в рассматриваемой точке на расстоянии r от оси магистрального трубопровода в результате реализации k-го сценария развития пожароопасной ситуации (пожара), произошедшей на участке магистрального трубопровода с координатой x, расположенной в пределах участка влияния k-го сценария развития пожара для j-го типа разгерметизации;

X1jk, X2jk - координаты начала и окончания участка влияния. Границы участка влияния определяются для k-го сценария развития пожароопасной ситуации (пожара) из условия, что зона поражения опасными факторами пожара (взрыва) при аварии на магистральном трубопроводе за пределами этого участка не достигает рассматриваемой точки на расстоянии r от оси магистрального трубопровода. Допускается интегрирование проводить по всей длине трубопровода.

Метод определения удельных частот различных типов разгерметизации магистрального трубопровода приведен в приложении N 6 к Методике.

Число рассматриваемых сценариев развития пожароопасной ситуации (пожара) при разгерметизации линейной части магистрального трубопровода, условные вероятности Qjk и Qnopjk(x,r) определяются в зависимости от специфики пожарной опасности магистрального трубопровода и транспортируемого вещества.

58. Индивидуальный риск для работников, обслуживающих линейную часть магистрального трубопровода, определяется в соответствии с пунктом 32 Методики.

Для людей, находящихся в жилой, общественно-деловой или рекреационной зонах вблизи линейной части магистрального трубопровода, индивидуальный риск определяется в соответствии с пунктом 55 Методики.

59. Для людей, находящихся в жилой, общественно-деловой зоне или рекреационной зоне вблизи линейной части магистрального трубопровода, социальный риск S (год-1) определяется по формуле:

S = max{S1, S2, ..., Sp, ..., SQ}, (20)

где S1, S2, Sp, SQ - величины социального риска для различных потенциально опасных участков линейной части магистрального трубопровода, (год-1), определяемые в соответствии с пунктами 55 и 56 Методики;

Q - количество потенциально опасных участков линейной части магистрального трубопровода.

Количество потенциально опасных участков линейной части магистрального трубопровода определяется на основе анализа плана трассы магистрального трубопровода и прилегающей к ней территории. Границы потенциально опасных участков линейной части магистрального трубопровода определяются из условия расположения вблизи них территорий городских и сельских поселений, зданий, не относящихся к магистральному трубопроводу, расположенных на расстоянии менее значений, регламентированных нормативными документами по пожарной безопасности.