к Правилам недискриминационного
доступа перевозчиков к инфраструктуре
железнодорожного транспорта общего
пользования, грузоотправителей к услуге
по перевозке грузов железнодорожным
транспортом общего пользования
1. Настоящая методика устанавливает порядок формирования плана экспортных перевозок угольной продукции грузоотправителей (угольных компаний) в восточном направлении на предстоящий месяц (далее - план) и мониторинга исполнения плана.
под грузоотправителями (угольными компаниями) понимаются юридические лица и индивидуальные предприниматели, осуществляющие добычу или переработку угля на угольных обогатительных предприятиях (фабриках) на территории Кемеровской области - Кузбасса (на основании данных Министерства энергетики Российской Федерации);
под перевозками угля железнодорожным транспортом общего пользования в восточном направлении понимаются экспортные перевозки угля в универсальном подвижном составе со станций Западно-Сибирской железной дороги, расположенных на территории Кемеровской области - Кузбасса (далее - станции отправления), в направлении терминалов (портов) и железнодорожных пунктов пропуска через государственную границу Российской Федерации (далее - железнодорожные пункты пропуска), расположенных в границах Восточно-Сибирской, Забайкальской и Дальневосточной железных дорог.
2. План утверждается перевозчиком не позднее 20-го числа месяца, предшествующего месяцу планирования перевозки угля.
3. Проект плана формируется на основе:
а) заявок грузоотправителей (угольных компаний) на перевозку угля (далее - заявки на перевозку угля);
б) пропускных и провозных способностей инфраструктуры железнодорожного транспорта общего пользования (далее - инфраструктура) в восточном направлении в терминалы (порты) и железнодорожные пункты пропуска;
в) информации о максимальной перерабатывающей способности примыкающих к станциям отправления железнодорожных путей необщего пользования, на которых осуществляется погрузка угольной продукции;
г) информации о максимальной перерабатывающей способности терминалов (портов) по перевозке и выгрузке угля, об ограничениях на осуществление деятельности по перевалке в терминалах (портах), в которых осуществляется деятельность по перевалке угля, о показателях оборачиваемости вагонов на железнодорожных путях необщего пользования к терминалам (портам), в которых осуществляется деятельность по перевалке угля;
д) фактических объемов перевозок угля грузоотправителями (угольными компаниями) на внутренний рынок и на экспорт, в том числе через железнодорожные пункты пропуска.
4. Максимальная перерабатывающая способность терминалов (портов) по перевозке и выгрузке угля и показатели оборачиваемости вагонов на железнодорожных путях необщего пользования к терминалам (портам), в которых осуществляется деятельность по перевалке угля, определяются перевозчиком на основании информации Министерства транспорта Российской Федерации.
5. Перевозчик определяет максимальный объем перевозки угля в восточном направлении в терминалы (порты) и железнодорожные пункты пропуска (количество вагонов в месяц, сутки).
6. Грузоотправители (угольные компании) направляют перевозчику заявки на перевозку угля со станций отправления в терминалы (порты) на планируемый месяц не позднее чем за 40 дней до начала планируемого месяца перевозки угля для распределения объема перевозки угля со станций отправления в восточном направлении в терминалы (порты) (К1).
7. Перевозчик обеспечивает прием и учет заявок на перевозку угля со станций отправления Кемеровской области - Кузбасса в восточном направлении в морские терминалы (порты).
8. Объемы перевозки угля по заявкам на перевозку угля приводятся перевозчиком в соответствие с максимальной перерабатывающей способностью пути необщего пользования по погрузке угля грузоотправителя (угольной компании) путем пропорционального сокращения заявленных объемов (поданных заявок) отдельно по каждому грузоотправителю (угольной компании) и по каждой станции отправления, в случае если заявляемый к перевозке объем угля превышает максимальную перерабатывающую способность по погрузке соответствующего грузоотправителя (угольной компании) и станции отправления.
9. Объем перевозки угля i-го грузоотправителя (угольной компании) со станций отправления в восточном направлении в j-й терминал (порт) и (или) железнодорожный пункт пропуска, приведенный в соответствие с максимальной перерабатывающей способностью g-го пути необщего пользования (
), определяется по формуле:
Qi,j,g - объем перевозки угля согласно заявке на перевозку угля i-го грузоотправителя (угольной компании) со станций отправления в восточном направлении в j-й терминал (порт) и (или) железнодорожный пункт пропуска, приведенный в соответствие с максимальной перерабатывающей способностью g-го пути необщего пользования;
ПСg - максимальная перерабатывающая способность g-го пути необщего пользования;
- сумма объемов перевозки угля по всем заявкам на перевозку угля со станций отправления в восточном направлении с g-го пути необщего пользования.
10. Приведенные к перерабатывающей способности путей необщего пользования объемы перевозки угля по заявкам на перевозку угля используются в дальнейших расчетах в соответствии с настоящим документом.
11. Приведенные к перерабатывающей способности путей необщего пользования объемы перевозок угля по заявкам на перевозку угля перевозчик направляет на рассмотрение в адрес соответствующих операторов морских терминалов (портов) не позднее чем за 38 календарных дней до начала планируемого месяца перевозки угля.
12. В случае отсутствия от операторов морских терминалов (портов) информации о подтверждении, частичном подтверждении или об отсутствии возможности удовлетворения заявок на перевозку угля в течение 4 календарных дней с момента направления в их адрес объемов перевозок угля по заявкам на перевозку угля согласно пункту 11 настоящего документа такие заявки считаются отклоненными операторами морских терминалов (портов).
13. В случае недостаточности пропускных и провозных способностей в восточном направлении в терминалы (порты) и железнодорожные пункты пропуска для удовлетворения всех заявок на перевозку угля, поступивших от грузоотправителей (угольных компаний), перевозчик формирует план, содержащий информацию о грузоотправителях (угольных компаниях) и объемах перевозки угля по каждому грузоотправителю (угольной компании) (количество вагонов в месяц, сутки) в восточном направлении (отдельно по станциям отправления, терминалам (портам) и железнодорожным пунктам пропуска) на планируемый месяц.
14. При распределении пропускных и провозных способностей инфраструктуры в восточном направлении в терминалы (порты) и железнодорожные пункты пропуска между грузоотправителями (угольными компаниями) перевозчик учитывает возможность грузоотправителей (угольных компаний) направить уголь в западном и (или) восточном направлениях.
15. Распределение объемов перевозки угля со станций отправления в восточном направлении между грузоотправителями (угольными компаниями) осуществляется в 2 этапа.
16. На I этапе распределяемый объем перевозки угля со станций отправления в восточном направлении в терминалы (порты) (К1) определяется по формуле:
К2 - объем перевозки угля со станции отправления в терминалы (порты) и железнодорожные пункты пропуска, распределяемый на II этапе;
ТП - максимальный объем перевозки угля со станций отправления в восточном направлении в терминалы (порты) и железнодорожные пункты пропуска (количество вагонов в сутки).
17. Распределение пропускных и провозных способностей инфраструктуры со станций отправления в восточном направлении в терминалы (порты) между грузоотправителями (угольными компаниями) на I этапе осуществляется пропорционально отношению объема перевозки угля со станций отправления в восточном направлении в терминалы (порты) (К1) и совокупного объема заявок на перевозку угля со станций отправления в восточном направлении в терминалы (порты).
18. Плановый объем перевозки угля i-го грузоотправителя (угольной компании) со станций отправления в восточном направлении в j-й терминал (порт) (
) определяется по формуле:
Q1i,j - объем перевозки угля согласно заявке на перевозку угля i-го грузоотправителя (угольной компании) со станций отправления в восточном направлении в j-й терминал (порт), приведенный в соответствие с максимальной перерабатывающей способностью терминалов (портов) по перевозке и выгрузке угля;
- сумма объемов перевозки угля по всем заявкам на перевозку угля со станций отправления в восточном направлении в терминалы (порты), приведенных в соответствие с максимальной перерабатывающей способностью терминалов (портов) по перевозке и выгрузке угля.
19. Объем перевозки угля, указанный в заявке на перевозку угля грузоотправителя (угольной компании), приводится в соответствие с максимальной перерабатывающей способностью терминалов (портов) по перевозке и выгрузке угля.
20. Объем перевозки угля i-го грузоотправителя (угольной компании) со станций отправления в восточном направлении в j-й терминал (порт), приведенный в соответствие с максимальной перерабатывающей способностью терминалов (портов) по перевозке и выгрузке угля (
), определяется по формуле:
Qi,j - объем перевозки угля согласно заявке на перевозку угля i-го грузоотправителя (угольной компании) со станций отправления в восточном направлении в j-й терминал (порт);
ПСj - максимальная перерабатывающая способность j-го терминала (порта) по перевозке и выгрузке угля;
- сумма объемов перевозки угля по всем заявкам на перевозку угля со станций отправления в восточном направлении в j-й терминал (порт).
21. Перевозчик не позднее чем за 29 календарных дней до начала планируемого месяца перевозки угля размещает информацию об объемах перевозок угля на планируемый месяц, рассчитанный при распределении на I этапе объема перевозки угля со станций отправления в восточном направлении в терминалы (порты), на своем официальном сайте в информационно-телекоммуникационной сети "Интернет" (далее - сеть "Интернет").
22. Перевозчик доводит указанную информацию до сведения грузоотправителей (угольных компаний) не позднее чем за 27 календарных дней до начала планируемого месяца перевозки.
23. Для целей распределения пропускных и провозных способностей в пределах распределяемого на II этапе объема перевозки угля со станций отправления в восточном направлении в терминалы (порты) и железнодорожные пункты пропуска (К2) грузоотправители (угольные компании) направляют перевозчику заявки на перевозку угля со станций отправления в восточном направлении в терминалы (порты) и железнодорожные пункты пропуска на планируемый месяц не позднее чем за 25 календарных дней до начала планируемого месяца перевозки угля.
24. Перевозчик обеспечивает прием и учет заявок на перевозку угля со станций отправления в восточном направлении в терминалы (порты) и железнодорожные пункты пропуска.
25. Объемы по заявкам на перевозку угля, приведенные к перерабатывающей способности в соответствии с пунктами 8 и 9 настоящего документа, перевозчик направляет на рассмотрение соответствующих операторов морских терминалов (портов) не позднее чем за 23 календарных дня до начала планируемого месяца перевозки угля.
26. Операторы морских терминалов (портов) рассматривают поступившие от перевозчика заявки на перевозку угля и направляют перевозчику информацию о подтверждении, частичном подтверждении или об отсутствии возможности удовлетворения заявок на перевозку угля не позднее чем за 19 календарных дней до начала месяца, в котором планируется перевозка угля.
27. Перевозчик не позднее чем за 14 календарных дней до начала планируемого месяца перевозки угля рассчитывает объем перевозки угля грузоотправителями (угольными компаниями) в пределах распределяемого на II этапе объема перевозки угля со станций отправления в восточном направлении в терминалы (порты) и железнодорожные пункты пропуска (К2) пропорционально доле перевозки угля грузоотправителя (угольной компании) в перевозках угля со станций отправления.
28. Расчетный объем перевозки угля i-го грузоотправителя (угольной компании) со станций отправления в восточном направлении в терминалы (порты) и железнодорожные пункты пропуска (
) определяется по формуле:
Q2i - фактический объем перевозки угля i-го грузоотправителя (угольной компании) со станций отправления суммарно за 3-й и 4-й месяцы, предшествующие планируемому месяцу перевозки, в порты, расположенные на территории Российской Федерации (Балтийский, Арктический и Азово-Черноморский бассейны), а также грузополучателям Западно-Сибирской железной дороги, Южно-Уральской железной дороги, Свердловской железной дороги, Куйбышевской железной дороги, Приволжской железной дороги, Юго-Восточной железной дороги, Северо-Кавказской железной дороги, Северной железной дороги, Горьковской железной дороги, Московской железной дороги, Калининградской железной дороги и Октябрьской железной дороги;
Q5i - суммарный объем перевозки угля согласно заявкам на перевозку угля i-го грузоотправителя (угольной компании) со станций отправления в восточном направлении в терминалы (порты) и железнодорожные пункты пропуска;
- сумма фактических объемов перевозки угля грузоотправителей (угольных компаний) со станций отправления за 3-й и 4-й месяцы, предшествующие планируемому месяцу перевозки, в порты, расположенные на территории Российской Федерации (Балтийский, Арктический и Азово-Черноморский бассейны), а также грузополучателям Западно-Сибирской железной дороги, Южно-Уральской железной дороги, Свердловской железной дороги, Куйбышевской железной дороги, Приволжской железной дороги, Юго-Восточной железной дороги, Северо-Кавказской железной дороги, Северной железной дороги, Горьковской железной дороги, Московской железной дороги, Калининградской железной дороги и Октябрьской железной дороги, для которых объемы перевозки угля согласно заявкам на перевозку угля со станций отправления в восточном направлении в терминалы (порты) и железнодорожные пункты пропуска суммарно превышают ноль.
29. В случае если сумма объемов перевозки, указанных в заявках на перевозку угля грузоотправителя (угольной компании) в восточном направлении при распределении на II этапе объема перевозки угля со станций отправления в восточном направлении в терминалы (порты) и железнодорожные пункты пропуска, превышает величину расчетного объема перевозки угля грузоотправителя (угольной компании), рассчитанную в пределах распределяемого на II этапе объема перевозки угля со станций отправления в восточном направлении в терминалы (порты) и железнодорожные пункты пропуска (К2), объемы по таким заявкам на перевозку угля равномерно снижаются до величины, равной расчетному объему перевозки угля, который определяется в пределах распределяемого на II этапе объема перевозки угля со станций отправления в восточном направлении в терминалы (порты) и железнодорожные пункты пропуска (К2).
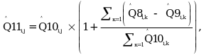
30. Объем перевозки угля i-го грузоотправителя (угольной компании) со станций отправления в восточном направлении в j-й терминал (порт) и (или) железнодорожный пункт пропуска, приведенный в соответствие с расчетным объемом перевозки угля (
), определяется по формуле:
- расчетный объем перевозки угля i-го грузоотправителя (угольной компании) со станций отправления в восточном направлении в терминалы (порты) и (или) железнодорожные пункты пропуска, рассчитанный в рамках распределения на II этапе объема перевозки угля со станций отправления в восточном направлении в терминалы (порты) и железнодорожные пункты пропуска (К2);
Q8i,j - объем перевозки согласно заявке на перевозку угля i-го грузоотправителя (угольной компании) со станций отправления в восточном направлении в j-й терминал (порт) и железнодорожный пункт пропуска;
- сумма объемов перевозки по всем заявкам на перевозку угля i-го грузоотправителя (угольной компании) со станций отправления в восточном направлении в терминалы (порты) и железнодорожные пункты пропуска.
31. В случае если суммарный объем перевозки угля по всем заявкам на перевозку угля грузоотправителей (угольных компаний) в восточном направлении в железнодорожные пункты пропуска, приведенный к расчетному объему перевозки угля по всем грузоотправителям (угольным компаниям), превышает 5 процентов пропускной и провозной способности инфраструктуры Западно-Сибирской железной дороги в восточном направлении в терминалы (порты) и железнодорожные пункты пропуска для перевозки угля, объемы перевозки угля по поданным заявкам на перевозку угля равномерно снижаются до величины, равной 5 процентам пропускной и провозной способности инфраструктуры в восточном направлении в терминалы (порты) и железнодорожные пункты пропуска для перевозки угля.
32. Объем перевозки угля i-го грузоотправителя (угольной компании) со станций отправления в восточном направлении в j-й железнодорожный пункт пропуска, скорректированный с учетом ограничений по суммарным объемам перевозки в железнодорожные пункты пропуска (
), определяется по формуле:
- объем перевозки угля согласно заявке на перевозку угля i-го грузоотправителя (угольной компании) со станций отправления в восточном направлении в j-й железнодорожный пункт пропуска, приведенный к расчетному объему перевозки угля;
- сумма объемов перевозки по всем заявкам на перевозку угля со станций отправления в восточном направлении в железнодорожные пункты пропуска, приведенных к расчетному объему перевозки угля.
33. Разница между объемами перевозки угля i-го грузоотправителя (угольной компании) в k-й железнодорожный пункт пропуска в восточном направлении (
) распределяется в терминалы (порты) в восточном направлении.
34. Объем перевозки угля i-го грузоотправителя (угольной компании) со станций отправления в восточном направлении в j-й терминал (порт), скорректированный с учетом ограничений по суммарным объемам перевозки в направлении железнодорожных пунктов пропуска (
), определяется по формуле:
- объем перевозки угля согласно заявке на перевозку угля i-го грузоотправителя (угольной компании) со станций отправления в восточном направлении в j-й терминал (порт), приведенный к расчетному объему перевозки угля;
- сумма объемов перевозки по всем заявкам на перевозку угля i-го грузоотправителя (угольной компании) со станций отправления в восточном направлении в терминалы (порты), приведенных к расчетному объему перевозки угля;
- разница между объемами перевозки угля согласно заявке на перевозку угля i-го грузоотправителя (угольной компании) со станций отправления в восточном направлении в железнодорожные пункты пропуска, приведенными к расчетному объему перевозки угля и скорректированными в соответствии с расчетным объемом перевозки угля.
35. Объемы перевозки угля грузоотправителя (угольной компании) в восточном направлении в терминалы (порты), скорректированные с учетом ограничений по суммарным объемам перевозки угля в железнодорожные пункты пропуска, приводятся в соответствие с максимальной перерабатывающей способностью этого терминала (порта) по перевозке и выгрузке угля.
36. Объем перевозки угля i-го грузоотправителя (угольной компании) со станций отправления в восточном направлении в j-й терминал (порт), приведенный в соответствие с максимальной перерабатывающей способностью этого терминала (порта) по перевозке и выгрузке угля (
), определяется по формуле:
- объем перевозки угля i-го грузоотправителя (угольной компании) со станций отправления в восточном направлении в j-й терминал (порт), скорректированный с учетом ограничений по суммарным объемам перевозки угля в железнодорожные пункты пропуска;
ПСj - максимальная перерабатывающая способность j-го терминала (порта) по перевозке и выгрузке угля;
- сумма объемов перевозки угля грузоотправителей (угольных компаний) со станций отправления в восточном направлении в j-й терминал (порт), скорректированных с учетом ограничений по суммарным объемам перевозки угля в железнодорожные пункты пропуска.
37. Если объем перевозки угля грузоотправителя (угольной компании) в восточном направлении в терминал (порт), приведенный в соответствие с максимальной перерабатывающей способностью терминалов (портов) по перевозке и выгрузке угля (Q12i,j), превышает объем перевозки угля согласно заявке на перевозку угля со станций отправления в восточном направлении в терминал (порт), то объем перевозки угля грузоотправителя (угольной компании) в восточном направлении в терминал (порт), приведенный в соответствие с максимальной перерабатывающей способностью терминалов (портов) по перевозке и выгрузке угля, принимается равным объему перевозки угля согласно заявке на перевозку угля со станций отправления в восточном направлении в терминал (порт).
38. Перевозчик не позднее чем за 14 дней до начала планируемого месяца перевозки угля размещает информацию об объемах перевозки угля на планируемый месяц, рассчитанный при распределении на II этапе объема перевозки угля со станций отправления в восточном направлении в терминалы (порты) и железнодорожные пункты пропуска (К2), на своем официальном сайте в сети "Интернет".
39. Перевозчик не позднее чем за 14 календарных дней до начала планируемого месяца перевозки угля размещает утвержденный план объема перевозок угля (К1 и К2) на своем официальном сайте в сети "Интернет".
40. Перевозчик доводит до сведения грузоотправителей (угольных компаний) информацию об объемах перевозки угля со станций отправления в восточном направлении в терминалы (порты) и железнодорожные пункты пропуска в соответствии с утвержденным планом не позднее чем за 12 календарных дней до начала планируемого месяца перевозки угля.
41. Перевозчик обеспечивает согласование и исполнение заявок на перевозку угля со станций отправления в восточном направлении в терминалы (порты) в соответствии с утвержденным планом, а также в железнодорожные пункты пропуска - в соответствии с утвержденным планом с учетом согласования иностранных перевозчиков, участвующих в перевозке угля в прямом международном сообщении.
42. В случае появления возможности для перевозки дополнительного объема угля со станции отправления в восточном направлении перевозчик распределяет этот дополнительный объем между грузоотправителями (угольными компаниями) пропорционально утвержденным на месяц планирования планам перевозок угля.
43. Уступка грузоотправителем (угольной компанией) права на перевозку угля допускается только между юридическими лицами, входящими с таким грузоотправителем (угольной компанией) в одну группу лиц.
Уступка права на перевозку угля осуществляется путем перераспределения объема перевозок угля между грузоотправителями (угольными компаниями) в случае направления такими грузоотправителями (угольными компаниями) перевозчику обращений о внесении в согласованные в установленном порядке заявки на перевозку угля изменений, предусматривающих снижение объема перевозки по одной заявке на перевозку угля и соразмерное увеличение такого объема по другой заявке на перевозку угля.
44. Перевозчик проводит мониторинг исполнения плана не позднее 15-го числа месяца, следующего за месяцем, в котором была осуществлена перевозка.
45. В целях информирования Министерства энергетики Российской Федерации и Министерства транспорта Российской Федерации перевозчик в рамках совместной рабочей группы доводит до них информацию об исполнении утвержденных планов, а также о плановых параметрах на предстоящий период.
- Гражданский кодекс (ГК РФ)
- Жилищный кодекс (ЖК РФ)
- Налоговый кодекс (НК РФ)
- Трудовой кодекс (ТК РФ)
- Уголовный кодекс (УК РФ)
- Бюджетный кодекс (БК РФ)
- Арбитражный процессуальный кодекс
- Конституция РФ
- Земельный кодекс (ЗК РФ)
- Лесной кодекс (ЛК РФ)
- Семейный кодекс (СК РФ)
- Уголовно-исполнительный кодекс
- Уголовно-процессуальный кодекс
- Производственный календарь на 2025 год
- МРОТ 2026
- ФЗ «О банкротстве»
- О защите прав потребителей (ЗОЗПП)
- Об исполнительном производстве
- О персональных данных
- О налогах на имущество физических лиц
- О средствах массовой информации
- Производственный календарь на 2026 год
- Федеральный закон "О полиции" N 3-ФЗ
- Расходы организации ПБУ 10/99
- Минимальный размер оплаты труда (МРОТ)
- Календарь бухгалтера на 2026 год
- Частичная мобилизация: обзор новостей
- Постановление Правительства РФ N 1875














