Глава 2. Оценка рыночной стоимости ценных бумаг
2.1. Рыночная стоимость ценных бумаг, которые допущены к обращению через организаторов торговли и котировки по которым регулярно определяются, при этом информация о них является доступной на фондовой бирже, в том числе через информационно-аналитические системы или в иных информационных источниках, а также цены на которые отражают действительные и рыночные операции, проводимые в ходе обычной деятельности и совершаемые независимыми участниками рынка, определяется на основе рыночных котировок.
Рыночная цена долговой ценной бумаги рассчитывается с учетом накопленного по ней процентного (купонного) дохода.
2.2. Рыночная стоимость ценных бумаг, не допущенных к обращению через организаторов торговли, рассчитывается с использованием следующих методов:
2.2.1. Методы, используемые для оценки рыночной стоимости ценных бумаг, обеспечивающих участие в капитале (по убыванию приоритета):
по балансовой стоимости собственных средств эмитента-нерезидента, которая рассчитывается как сумма оплаченного уставного капитала (исключая любые выпущенные акции, принадлежащие самому эмитенту-нерезиденту, и включая счета эмиссионного дохода), всех видов резервов (фондов), относимых в бухгалтерском балансе эмитента-нерезидента на собственный капитал и прочие компоненты капитала, и накопленной нераспределенной прибыли (значение которой может быть отрицательным);
цена последней сделки при условии, что с даты ее проведения и до отчетной даты прошло менее одного года;
оценка по доле пакета в стоимости чистых активов объекта инвестиций. Стоимость чистых активов равна стоимости активов объекта инвестиций (включая нематериальные активы) за вычетом стоимости обязательств и оплаченного капитала в виде акций, не дающих владельцам права голоса. Используется стоимость активов и обязательств в текущих ценах, а не в ценах их приобретения (первоначальных ценах);
метод долевого участия: инвестиции первоначально учитываются по цене приобретения, затем их балансовая стоимость увеличивается или уменьшается на долю инвестора в прибылях и убытках объекта инвестиций после даты приобретения. Полученные от объекта инвестиций дивиденды или распределенная прибыль уменьшают балансовую стоимость инвестиций. Корректировки балансовой стоимости могут быть необходимы для отражения изменений доли участия инвестора в капитале объекта инвестиций, возникающих в результате переоценки основных средств и инвестиций, курсовых разниц при пересчете отчетности, составляемой в иностранной валюте, корректировок, учитывающих разницы, образующиеся при реорганизации юридических лиц;
2.2.2. Метод, используемый для оценки стоимости долговых ценных бумаг.
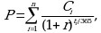
Рыночная стоимость долговых ценных бумаг рассчитывается по формуле:
n - количество предстоящих процентных платежей и выплат основного долга;
Ci - размер очередной выплаты;
ti - количество дней с отчетной даты до даты осуществления очередной выплаты;
r - внутренняя норма доходности, выраженная в долях.
При наличии в составе долговой ценной бумаги неотделимого встроенного производного финансового инструмента рыночная стоимость должна корректироваться с учетом изменения стоимости данного встроенного производного финансового инструмента.
При отсутствии возможности рассчитать рыночную стоимость долговых ценных бумаг по формуле, указанной в абзаце третьем настоящего подпункта, допускается оценивать указанные ценные бумаги по цене последней сделки при условии, что с даты ее проведения и до отчетной даты прошло менее одного года. При этом в рыночную стоимость ценных бумаг включается накопленный процентный (купонный) доход, уплаченный при приобретении ценных бумаг.
При составлении отчета необходимо учитывать следующее: рыночная стоимость просроченных долговых ценных бумаг считается равной их номиналу.
2.2.3. В случае невозможности применения ни одного из указанных методов для оценки рыночной стоимости долговых ценных бумаг и ценных бумаг, обеспечивающих участие в капитале, используются следующие методы (по убыванию приоритета):
по стоимости, установленной органами управления эмитента-нерезидента;
по стоимости аналогичных ценных бумаг (имеющих схожие параметры, такие как сроки погашения, процентные платежи, уровни риска).
- Гражданский кодекс (ГК РФ)
- Жилищный кодекс (ЖК РФ)
- Налоговый кодекс (НК РФ)
- Трудовой кодекс (ТК РФ)
- Уголовный кодекс (УК РФ)
- Бюджетный кодекс (БК РФ)
- Арбитражный процессуальный кодекс
- Конституция РФ
- Земельный кодекс (ЗК РФ)
- Лесной кодекс (ЛК РФ)
- Семейный кодекс (СК РФ)
- Уголовно-исполнительный кодекс
- Уголовно-процессуальный кодекс
- Производственный календарь на 2025 год
- МРОТ 2026
- ФЗ «О банкротстве»
- О защите прав потребителей (ЗОЗПП)
- Об исполнительном производстве
- О персональных данных
- О налогах на имущество физических лиц
- О средствах массовой информации
- Производственный календарь на 2026 год
- Федеральный закон "О полиции" N 3-ФЗ
- Расходы организации ПБУ 10/99
- Минимальный размер оплаты труда (МРОТ)
- Календарь бухгалтера на 2026 год
- Частичная мобилизация: обзор новостей
- Постановление Правительства РФ N 1875
