Порядок составления и представления отчетности по форме 0409114 "Информация о результатах применения методик управления рисками и моделей количественной оценки рисков"
составления и представления отчетности по форме 0409114
"Информация о результатах применения методик управления
рисками и моделей количественной оценки рисков"
1. Отчетность по форме 0409114 "Информация о результатах применения методик управления рисками и моделей количественной оценки рисков" (далее - Отчет) составляется и представляется банками, получившими разрешение на применение подхода на основе внутренних рейтингов (далее - ПВР) в соответствии с главой 6 Указания Банка России от 13 июня 2023 года N 6445-У "О порядке получения разрешения на применение банковских методик управления кредитным риском и моделей количественной оценки кредитного риска, а также порядке оценки их качества" <1> (далее - разрешение на применение ПВР).
(п. 1 в ред. Указания Банка России от 10.07.2024 N 6800-У)
(см. текст в предыдущей редакции)
--------------------------------
<1> Зарегистрировано Минюстом России 13 ноября 2023 года, регистрационный N 75923.
(сноска в ред. Указания Банка России от 10.07.2024 N 6800-У)
(см. текст в предыдущей редакции)
2. В Отчете отражается информация по активам, в отношении которых величина кредитного риска рассчитывается с использованием ПВР для включения в нормативы достаточности капитала банка (норматив достаточности базового капитала банка (Н1.1), норматив достаточности основного капитала банка (Н1.2), норматив достаточности собственных средств (капитала) банка (Н1.0), установленные Инструкцией Банка России N 199-И, в соответствии с Положением Банка России N 483-П.
3. Банки, получившие разрешение на применение ПВР, начинают составлять и представлять Отчет с даты, с которой разрешается производить расчет величины кредитного риска с применением ПВР, отраженной в разрешении на применение ПВР.
4. Отчет (кроме раздела 4 и подраздела 7.2 раздела 7) составляется банками, получившими разрешение на применение ПВР, и представляется в Банк России ежемесячно по состоянию на первое число месяца, следующего за отчетным месяцем, не позднее четырнадцатого рабочего дня месяца, следующего за отчетным месяцем.
5. Раздел 4 и подраздел 7.2 раздела 7 Отчета составляются банками, получившими разрешение на применение ПВР, и представляются в Банк России ежеквартально по состоянию на 1 апреля, 1 июля, 1 октября, 1 января не позднее четырнадцатого рабочего дня месяца, следующего за отчетным кварталом.
6. Банки, получившие разрешение на применение ПВР, представляют Отчет на внутримесячные даты по требованию Банка России в установленный в требовании срок.
Даты указываются в формате "дд.мм.гггг", где "дд" - день, "мм" - месяц, "гггг" - год.
7. В случае выявления за любой отчетный период (отчетный месяц, отчетный квартал) в течение последних трех лет фактов представления банком Отчета, содержащего неверные (искаженные) значения показателей, повторное представление в Банк России Отчета, содержащего уточненные значения показателей), осуществляется не позднее третьего рабочего дня после дня выявления указанных фактов.
8. В разделе 1 Отчета (далее - раздел 1) отражается информация о распределении кредитных требований по сегментам и разрядам рейтинговых шкал.
8.1. В строках раздела 1 отражается информация по группам, объединяющим кредитные требования, имеющие уникальные комбинации значений, указанных в графах 1 - 11 раздела 1.
8.2. В графах 1 - 11 раздела 1 отражаются идентификационные признаки групп кредитных требований.
8.2.1. В графе 1 раздела 1 отражается код сегмента кредитных требований. Коды сегментов кредитных требований указываются в разрешении на применение ПВР.
8.2.2. В графе 2 раздела 1 отражается код регуляторного сегмента кредитных требований с использованием кодировки "KA.B-C", где:
"A" может принимать значения, указанные в графе 3 подразделов 2.1 - 2.3 раздела 2 отчетности по форме 0409113 "Информация о расчете величины кредитного риска с использованием подхода на основе внутренних рейтингов";
"B" может принимать значения в зависимости от значения "A" и дополнительного признака, указанного в графе 3 следующей таблицы:
|
Кредитные требования к Российской Федерации и федеральным органам исполнительной власти Российской Федерации |
||
|
Кредитные требования к заемщикам, не являющимся физическими лицами и субъектами малого предпринимательства |
||
|
Кредитные требования к центральным банкам и правительствам иностранных государств |
||
|
Кредитные требования к субъектам Российской Федерации и муниципальным образованиям Российской Федерации |
||
|
Кредитные требования к заемщикам, не являющимся физическими лицами |
||
|
Кредитные требования к международным финансовым организациям и международным банкам развития, которые в соответствии с Инструкцией Банка России N 199-И относятся к активам, которые взвешиваются с коэффициентом риска "0" |
||
|
Кредитные требования к международным финансовым организациям и международным банкам развития, которые в соответствии с Инструкцией Банка России N 199-И не относятся к активам, которые взвешиваются с коэффициентом риска "0" |
||
|
Кредитные требования к заемщикам, являющимся физическими лицами |
||
"C" может принимать значения в зависимости от кода сегмента кредитных требований, указываемого в графе 1 раздела 1.
8.2.3. В графе 3 раздела 1 отражается код показателя корреляции с использованием кодировки "R_A", где "A" может принимать следующие значения:
|
(структурная единица Положения Банка России N 483-П, в которой указан метод расчета показателя корреляции) |
|
|
Для кредитных требований к корпоративным, суверенным заемщикам и финансовым организациям (пункт 4.1) |
|
|
Для финансовых организаций (пункт 4.2) |
|
|
Для кредитных требований к малым и средним предприятиям, отнесенных к классу кредитных требований к корпоративным заемщикам, за исключением кредитных требований, относящихся к подклассам специализированного кредитования (пункт 4.3) |
|
|
Для кредитных требований специализированного кредитования, отнесенных к подклассу кредитных требований финансирования объектов недвижимости нежилого фонда с нестабильными ценовыми параметрами (пункт 4.4) |
|
|
Для кредитных требований к розничным заемщикам, для подкласса возобновляемых розничных кредитных требований (абзац четвертый пункта 5.1) |
|
|
Для кредитных требований к розничным заемщикам, для подкласса кредитных требований, обеспеченных залогом жилого помещения (абзац пятый пункта 5.1) |
|
|
Для кредитных требований, отнесенных к подклассу прочих кредитных требований к розничным заемщикам (пункт 5.2) |
Графа 3 раздела 1 не заполняется для дефолтных кредитных требований и для кредитных требований, в отношении которых применяются модели регуляторных коэффициентов риска (далее - РКР).
8.2.4. В графе 4 раздела 1 отражается код модели вероятности дефолта (далее - ВД). Коды моделей ВД указываются в разрешении на применение ПВР, при этом каждый код модели ВД содержит указание на моделируемый компонент кредитного риска, обозначение группы кредитных требований, для которых применяется модель ВД, а также дату разработки и калибровки (при наличии) модели ВД. В случае если модель ВД не используется для расчета величины кредитного риска с применением ПВР для указываемых кредитных требований, графа 4 раздела 1 не заполняется.
8.2.5. В графе 5 раздела 1 отражается код модели уровня потерь при дефолте (далее - УПД). Коды моделей УПД указываются в разрешении на применение ПВР, при этом каждый код модели УПД содержит указание на моделируемый компонент кредитного риска, обозначение группы кредитных требований, для которых применяется модель УПД, а также дату разработки и калибровки (при наличии) модели УПД. В случае если модель УПД не используется для расчета величины кредитного риска с применением ПВР для указываемых кредитных требований, графа 5 раздела 1 не заполняется.
8.2.6. В графе 6 раздела 1 отражается код модели величины кредитного требования, подверженного риску дефолта (далее - ВКТД). Коды моделей ВКТД указываются в разрешении на применение ПВР, при этом каждый код модели ВКТД содержит указание на моделируемый компонент кредитного риска, обозначение группы кредитных требований, для которых применяется модель ВКТД, а также дату разработки и калибровки (при наличии) модели ВКТД. В случае если модель ВКТД не используется для расчета величины кредитного риска с применением ПВР для указываемых кредитных требований, графа 6 раздела 1 не заполняется.
8.2.7. В графе 7 раздела 1 отражается код модели РКР. Коды моделей РКР указываются в разрешении на применение ПВР, при этом каждый код модели РКР содержит указание на моделируемый компонент кредитного риска, обозначение группы кредитных требований, для которых применяется модель РКР, а также дату разработки и калибровки (при наличии) модели РКР. В случае если модель РКР не используется для расчета величины кредитного риска с применением ПВР для указываемых кредитных требований, графа 7 раздела 1 не заполняется.
8.2.8. В графе 8 раздела 1 отражается код разряда рейтинговой шкалы (портфеля однородных кредитных требований) ВД с использованием кодировки "A_B", где значение "A" является целым неотрицательным числом, возрастающим по мере увеличения ВД, значение "B" указывается в разрешении на применение ПВР и представляет собой обозначение группы кредитных требований, для которых используется уникальный набор значений ВД.
Код разряда рейтинговой шкалы (портфеля однородных кредитных требований) ВД отражается без учета признания нефондированного обеспечения, определяемого в соответствии с главами 10, 11, 17 и 19 Положения Банка России N 483-П.
В случае если для кредитных требований банк применяет пункт 4.6 или главу 6 Положения Банка России N 483-П для расчета величины кредитного риска с применением ПВР, для кредитных требований графа 8 раздела 1 не заполняется.
8.2.9. В графе 9 раздела 1 отражается код разряда рейтинговой шкалы (портфеля однородных кредитных требований) УПД. При применении базового ПВР (далее - БПВР) графа 9 раздела 1 заполняется с использованием кодировки "A_F", где "A" может принимать следующие значения:
При применении продвинутого ПВР (далее - ППВР) графа 9 раздела 1 заполняется с использованием кодировки "A_B", где "A" является целым неотрицательным числом, возрастающим по мере увеличения УПД, значение "B" указывается в разрешении на применение ПВР и представляет собой обозначение группы кредитных требований, для которых используется уникальный набор значений УПД.
В случае если УПД определяется на индивидуальной основе, в качестве разрядов рейтинговой шкалы УПД используются значения следующих кодов, соответствующих диапазонам значений УПД (не включая верхнюю границу диапазона):
В случае если банк применяет пункт 4.6 или главу 6 Положения Банка России N 483-П для расчета величины кредитного риска с применением ПВР, для кредитных требований графа 9 раздела 1 не заполняется.
8.2.10. В графе 10 раздела 1 отражается код разряда рейтинговой шкалы ВКТД (конверсионного коэффициента). При применении БПВР графа 10 раздела 1 заполняется с использованием кодировки "A_F", где "A" может принимать следующие значения:
При применении ППВР графа 10 раздела 1 заполняется с использованием кодировки "A_B", где значение "A" является целым неотрицательным числом, возрастающим по мере увеличения конверсионного коэффициента, значение "B" указывается в разрешении на применение ПВР и представляет собой обозначение группы кредитных требований, для которых используется уникальный набор значений конверсионного коэффициента.
В случае если ВКТД определяется на индивидуальной основе, в качестве разрядов рейтинговой шкалы ВКТД используются следующие коды, соответствующие диапазонам значений конверсионного коэффициента, определяемого как отношение разности ВКТД и величины балансовой задолженности к величине внебаласовой задолженности (не включая верхнюю границу диапазона):
При отсутствии условных обязательств кредитного характера для кредитных требований графа 10 раздела 1 не заполняется.
8.2.11. В графе 11 раздела 1 отражается код разряда рейтинговой шкалы РКР с использованием кодировки "A_B", где "A" может принимать следующие значения:
Значение "B" указывается в разрешении на применение ПВР и представляет собой обозначение группы кредитных требований, для которых используется уникальный набор значений коэффициентов риска.
В случае если банк не применяет пункт 4.6 или главу 6 Положения Банка России N 483-П, для кредитных требований графа 11 раздела 1 не заполняется.
8.3. В графе 12 раздела 1 отражается количество заемщиков (в единицах), соответствующее указываемым кредитным требованиям.
8.4. В графе 13 раздела 1 отражается количество кредитных требований (в штуках). Для долей участия в капитале в графе 12 раздела 1 отражается количество юридических лиц.
8.5. В графах 14 - 16 раздела 1 отражается номинальная стоимость кредитных требований.
8.5.1. В графе 14 раздела 1 отражается номинальная стоимость балансовых активов, к которым применяется ПВР, учитываемых на балансовых счетах бухгалтерского учета.
8.5.2. В графе 15 раздела 1 отражается номинальная стоимость условных обязательств кредитного характера, к которым применяется ПВР, учитываемых на внебалансовых счетах бухгалтерского учета.
8.5.3. В графе 16 раздела 1 отражается номинальная контрактная стоимость внебиржевых производных финансовых инструментов, величина кредитного риска по которым рассчитывается с применением ПВР, определяемая как стоимость, по которой они отражены на дату заключения договоров на внебалансовых счетах.
8.6. В графах 17 - 23 раздела 1 отражается информация о применяемых конверсионных коэффициентах. Для балансовых активов и внебиржевых производных финансовых инструментов конверсионный коэффициент рассчитывается как отношение ВКТД к номинальной стоимости.
8.6.1. В графе 17 раздела 1 отражается простое среднее арифметическое значение конверсионного коэффициента (в процентах с округлением до шести знаков после запятой по правилам математического округления) по балансовым активам. Для расчета среднего значения используется количество кредитных требований, отраженное в графе 13 раздела 1.
8.6.2. В графе 18 раздела 1 отражается взвешенное по ВКТД (графа 25 раздела 1) среднее арифметическое значение конверсионного коэффициента (в процентах с округлением до шести знаков после запятой по правилам математического округления) по балансовым активам.
8.6.3. В графе 19 раздела 1 отражается простое среднее арифметическое значение конверсионного коэффициента (в процентах с округлением до шести знаков после запятой по правилам математического округления) по условным обязательствам кредитного характера. Для расчета среднего значения используется количество кредитных требований, отраженное в графе 13 раздела 1.
8.6.4. В графе 20 раздела 1 отражается взвешенное по ВКТД (графа 26 раздела 1) среднее арифметическое значение конверсионного коэффициента (в процентах с округлением до шести знаков после запятой по правилам математического округления) по условным обязательствам кредитного характера.
8.6.5. В графе 21 раздела 1 отражается простое среднее арифметическое значение конверсионного коэффициента (в процентах с округлением до шести знаков после запятой по правилам математического округления) по внебиржевым производным финансовым инструментам. Для расчета среднего значения используется количество кредитных требований, отраженное в графе 13 раздела 1.
8.6.6. В графе 22 раздела 1 отражается взвешенное по ВКТД (графа 27 раздела 1) среднее арифметическое значение конверсионного коэффициента (в процентах с округлением до шести знаков после запятой по правилам математического округления) по внебиржевым производным финансовым инструментам.
8.6.7. В графе 23 раздела 1 отражается метод расчета конверсионного коэффициента с использованием следующих кодов:
8.7. В графе 24 раздела 1 отражается суммарное значение ВКТД, равное сумме значений, отраженных в графах 25 - 27 раздела 1.
8.8. В графах 25 - 27 раздела 1 отражается значение ВКТД по балансовым активам, условным обязательствам кредитного характера и внебиржевым производным финансовым инструментам соответственно, определяемое в соответствии с главами 9 и 13 Положения Банка России N 483-П.
8.9. При применении пункта 4.6 или главы 6 Положения Банка России N 483-П графы 28 - 101 раздела 1 не заполняются.
Для дефолтных кредитных требований, для которых применяется БПВР, графы 28, 30 - 38, 40 - 101 раздела 1 не заполняются.
Для дефолтных кредитных требований, для которых применяется ППВР, графы 28, 30 - 38, 40 - 62, 93 - 101 раздела 1 не заполняются.
8.10. В графах 28 - 39 раздела 1 отражается информация о ВД до признания нефондированного обеспечения, определяемого в соответствии с главами 10, 11, 17 и 19 Положения Банка России N 483-П.
8.10.1. В графе 28 раздела 1 отражается метод расчета ВД с использованием следующих кодов:
8.10.2. В графе 29 раздела 1 отражается значение ВД, присвоенное разряду рейтинговой шкалы ВД (в процентах с округлением до шести знаков после запятой по правилам математического округления).
8.10.3. В графах 30 - 33 раздела 1 отражается дополнительная информация о ВД, если банком выбран метод расчета ВД на основе среднего значения ВД в случае, когда оценки ВД получены с использованием статистических моделей. В иных случаях графы не заполняются.
8.10.4. В графе 30 раздела 1 отражается простое среднее арифметическое значение индивидуальной ВД (в процентах с округлением до шести знаков после запятой по правилам математического округления). Для расчета среднего значения используются:
количество кредитных требований, отраженное в графе 13 раздела 1 (для групп кредитных требований, относящихся к классу кредитных требований к розничным заемщикам);
количество заемщиков, отраженное в графе 12 раздела 1 (для групп кредитных требований, относящихся к остальным классам кредитных требований).
8.10.5. В графе 31 раздела 1 отражается среднее арифметическое значение индивидуальной ВД, взвешенное по ВКТД, указываемой в графе 24 раздела 1 (в процентах с округлением до шести знаков после запятой по правилам математического округления).
8.10.6. В графе 32 раздела 1 отражается среднее арифметическое значение индивидуальной ВД, взвешенное по УПД, указываемому в графах 91 - 92 раздела 1, умноженному на ВКТД, указываемую в графе 24 раздела 1 (в процентах с округлением до шести знаков после запятой по правилам математического округления).
8.10.7. В графе 33 раздела 1 отражается среднеквадратическое отклонение значения индивидуальной ВД (в процентах с округлением до шести знаков после запятой по правилам математического округления). Для расчета среднеквадратического отклонения используются:
количество кредитных требований, отраженное в графе 13 раздела 1 (для групп кредитных требований, относящихся к классу кредитных требований к розничным заемщикам);
количество заемщиков, отраженное в графе 12 раздела 1 (для групп кредитных требований, относящихся к остальным классам кредитных требований).
8.10.8. В графах 34 и 35 раздела 1 отражается дополнительная информация о ВД, если банком выбран метод расчета ВД на основе соотнесения внутренних разрядов рейтинговой шкалы с разрядами шкалы, используемой рейтинговыми агентствами. В иных случаях графы 34 и 35 раздела 1 не заполняются.
8.10.9. В графе 34 раздела 1 отражается разряд рейтинговой шкалы рейтингового агентства, соотнесенный с разрядом рейтинговой шкалы банка. Наименования рейтинговых агентств, рейтинговые шкалы которых используются при оценке ВД заемщика, отражаются в разделе "Справочно".
8.10.10. В графе 35 раздела 1 отражается значение ВД (в процентах с округлением до шести знаков после запятой по правилам математического округления) для соотнесенного разряда рейтинговой шкалы рейтингового агентства.
8.10.11. В графах 36 и 37 раздела 1 отражается дополнительная информация о ВД, если банком выбран метод расчета ВД на основе оценки ожидаемых потерь и оценки УПД. В иных случаях графы 36 и 37 раздела 1 не заполняются.
8.10.12. В графе 36 раздела 1 отражается значение ожидаемых потерь (в процентах с округлением до шести знаков после запятой по правилам математического округления), используемое для определения ВД.
8.10.13. В графе 37 раздела 1 отражается значение УПД (в процентах с округлением до шести знаков после запятой по правилам математического округления), используемое для определения ВД.
8.10.14. В графе 38 раздела 1 отражается величина надбавки (в процентах с округлением до шести знаков после запятой по правилам математического округления) к ВД, устанавливаемой в разрешении на применения ПВР. В случае отсутствия надбавки к ВД графа 38 раздела 1 не заполняется.
8.10.15. В графе 39 раздела 1 отражается значение ВД (в процентах с округлением до шести знаков после запятой по правилам математического округления) с учетом надбавки к ВД, указанной в графе 38 раздела 1.
8.11. В графах 40 - 49 раздела 1 отражаются кредитные требования, для которых была произведена корректировка ВД экспертным путем в соответствии с пунктом 12.12 Положения Банка России N 483-П (далее - экспертный путь). В случае отсутствия кредитных требований, для которых была произведена корректировка ВД экспертным путем, графы 40 - 49 раздела 1 не заполняются.
8.11.1. В графах 40 - 44 раздела 1 отражается информация по кредитным требованиям, для которых корректировка ВД экспертным путем привела к ухудшению рейтинга.
8.11.2. В графе 40 раздела 1 отражается количество заемщиков (в единицах), для которых корректировка ВД экспертным путем привела к ухудшению рейтинга.
8.11.3. В графе 41 раздела 1 отражается суммарная ВКТД заемщиков, для которых корректировка ВД экспертным путем привела к ухудшению рейтинга.
8.11.4. В графе 42 раздела 1 отражается среднее арифметическое значение количества разрядов, на которое рейтинг был скорректирован, для кредитных требований, для которых корректировка ВД экспертным путем привела к ухудшению рейтинга (в штуках с округлением до двух знаков после запятой по правилам математического округления). Для расчета среднего значения используется количество заемщиков, отраженное в графе 40 раздела 1.
8.11.5. В графе 43 раздела 1 отражается среднее арифметическое значение индивидуальной ВД кредитных требований, для которых корректировка ВД экспертным путем привела к ухудшению рейтинга, до корректировки ВД экспертным путем, взвешенное по ВКТД, указываемой в графе 41 раздела 1 (в процентах с округлением до шести знаков после запятой по правилам математического округления).
8.11.6. В графе 44 раздела 1 отражается среднее арифметическое значение индивидуальной ВД кредитных требований, для которых корректировка ВД экспертным путем привела к ухудшению рейтинга, после корректировки ВД экспертным путем, взвешенное по ВКТД, указываемой в графе 41 раздела 1 (в процентах с округлением до шести знаков после запятой по правилам математического округления).
8.11.7. В графах 45 - 49 раздела 1 отражается информация по кредитным требованиям, для которых корректировка ВД экспертным путем привела к улучшению рейтинга.
8.11.8. В графе 45 раздела 1 отражается количество заемщиков (в единицах), для которых корректировка ВД экспертным путем привела к улучшению рейтинга.
8.11.9. В графе 46 раздела 1 отражается ВКТД заемщиков, для которых корректировка ВД экспертным путем привела к улучшению рейтинга.
8.11.10. В графе 47 раздела 1 отражается среднее арифметическое значение количества разрядов, на которое рейтинг был скорректирован, для кредитных требований, для которых корректировка ВД экспертным путем привела к улучшению рейтинга (в штуках с округлением до двух знаков после запятой по правилам математического округления). Для расчета среднего значения используется количество заемщиков, отраженное в графе 45 раздела 1.
8.11.11. В графе 48 раздела 1 отражается среднее арифметическое значение индивидуальной ВД кредитных требований, для которых корректировка ВД экспертным путем привела к улучшению рейтинга, до корректировки ВД экспертным путем, взвешенное по ВКТД, указываемой в графе 46 раздела 1 (в процентах с округлением до шести знаков после запятой по правилам математического округления).
8.11.12. В графе 49 раздела 1 отражается среднее арифметическое значение индивидуальной ВД кредитных требований, для которых корректировка ВД экспертным путем привела к улучшению рейтинга, после корректировки ВД экспертным путем, взвешенное по ВКТД кредитных требований, указываемой в графе 46 раздела 1 (в процентах с округлением до шести знаков после запятой по правилам математического округления).
8.12. В графах 50 - 58 раздела 1 отражается информация по кредитным требованиям, для которых было признано нефондированное обеспечение в соответствии с главами 10, 11, 17 и 19 Положения Банка России N 483-П для корректировки ВД. В случае отсутствия кредитных требований, для которых было признано нефондированное обеспечение для корректировки ВД, графы 50 - 58 раздела 1 не заполняются.
8.12.1. В графе 50 раздела 1 отражается количество кредитных требований (в штуках), для которых было признано нефондированное обеспечение для корректировки ВД.
8.12.2. В графе 51 раздела 1 отражается суммарное значение ВКТД (долей ВКТД), для которой (которых) было признано нефондированное обеспечение для корректировки ВД, равное сумме значений, отраженных в графах 53 - 55 раздела 1.
8.12.3. В графе 52 раздела 1 отражается отношение значения ВКТД (долей ВКТД), указанного в графе 51 раздела 1, к значению ВКТД, указанному в графе 24 раздела 1 (в процентах с округлением до двух знаков после запятой по правилам математического округления).
8.12.4. В графе 53 раздела 1 отражается значение ВКТД (долей ВКТД), для которой (которых) было признано нефондированное обеспечение для корректировки ВД в виде гарантий (банковских гарантий).
8.12.5. В графе 54 раздела 1 отражается значение ВКТД (долей ВКТД), для которой (которых) было признано нефондированное обеспечение для корректировки ВД в виде поручительств.
8.12.6. В графе 55 раздела 1 отражается значение ВКТД (долей ВКТД), для которой (которых) было признано нефондированное обеспечение для корректировки ВД в виде резервных аккредитивов.
8.12.7. В графах 56 - 58 раздела 1 отражается скорректированное значение ВД соответствующего разряда рейтинговой шкалы ВД по кредитным требованиям, для которых было признано нефондированное обеспечение.
8.12.8. В графе 56 раздела 1 отражается простое среднее арифметическое значение ВД соответствующего разряда рейтинговой шкалы ВД после признания нефондированного обеспечения (в процентах с округлением до шести знаков после запятой по правилам математического округления). Для расчета среднего значения используется количество кредитных требований, указанное в графе 50 раздела 1.
8.12.9. В графе 57 раздела 1 отражается среднее арифметическое значение ВД соответствующего разряда рейтинговой шкалы ВД после признания нефондированного обеспечения, взвешенное по ВКТД, указываемой в графе 51 раздела 1 (в процентах с округлением до шести знаков после запятой по правилам математического округления).
8.12.10. В графе 58 раздела 1 отражается среднее арифметическое значение ВД соответствующего разряда рейтинговой шкалы ВД после признания нефондированного обеспечения, взвешенное по УПД кредитных требований, указываемому в графах 91 и 92 раздела 1, умноженному на ВКТД, указанную в графе 51 раздела 1 (в процентах с округлением до шести знаков после запятой по правилам математического округления).
8.13. В графах 59 - 61 раздела 1 отражается информация о значении ВД, используемом для расчета величины кредитного риска с применением ПВР.
8.13.1. В графе 59 раздела 1 отражается простое среднее арифметическое значение ВД, используемое для расчета величины кредитного риска с применением ПВР (в процентах с округлением до шести знаков после запятой по правилам математического округления). Для расчета среднего значения используются:
количество кредитных требований, отраженное в графе 13 раздела 1 (для групп кредитных требований, относящихся к классу кредитных требований к розничным заемщикам);
количество заемщиков, отраженное в графе 12 раздела 1 (для групп кредитных требований, относящихся к остальным классам кредитных требований).
Кредитные требования, для которых величина кредитного риска рассчитывается по стандартизированному подходу в соответствии с пунктом 17.3 Положения Банка России N 483-П (графы 103 - 105 раздела 1), не используются для расчета среднего значения графы 59 раздела 1.
8.13.2. В графе 60 раздела 1 отражается среднее арифметическое значение ВД, используемое для расчета величины кредитного риска с применением ПВР, взвешенное по ВКТД, указываемой в графе 24 раздела 1 (в процентах с округлением до шести знаков после запятой по правилам математического округления).
Кредитные требования, для которых величина кредитного риска рассчитывается по стандартизированному подходу в соответствии с пунктом 17.3 Положения Банка России N 483-П (графы 103 - 105 раздела 1), не используются для расчета среднего значения графы 60 раздела 1.
8.13.3. В графе 61 раздела 1 отражается среднее арифметическое значение ВД, используемое для расчета величины кредитного риска с применением ПВР, взвешенное по УПД кредитных требований, указываемому в графах 91 и 92 раздела 1, умноженному на ВКТД, указанную в графе 24 раздела 1 (в процентах с округлением до шести знаков после запятой по правилам математического округления).
Кредитные требования, для которых величина кредитного риска рассчитывается по стандартизированному подходу в соответствии с пунктом 17.3 Положения Банка России N 483-П (графы 103 - 105 раздела 1), не используются для расчета среднего значения графы 61 раздела 1.
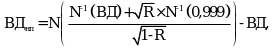
8.14. В графе 62 раздела 1 отражается среднее арифметическое значение неожидаемой ВД (далее - ВДнп) для недефолтных кредитных требований, взвешенное по УПД кредитных требований, указываемому в графах 91 и 92 раздела 1, умноженному на ВКТД, указанную в графе 24 раздела 1 (в процентах с округлением до шести знаков после запятой по правилам математического округления), рассчитываемое по формуле:
N - функция стандартного нормального распределения;
N-1 - обратная функция стандартного нормального распределения;
R - значение показателя корреляции, рассчитываемое в соответствии с главами 4 и 5 Положения Банка России N 483-П, указываемое в графе 98 раздела 1.
Для расчета ВДнп применяется значение ВД, указываемое в графах 59 - 61 раздела 1. Кредитные требования, для которых величина кредитного риска рассчитывается по стандартизированному подходу в соответствии с пунктом 17.3 Положения Банка России N 483-П (графы 103 - 105 раздела 1), не используются для расчета среднего значения графы 62 раздела 1.
8.15. В графах 63 - 72 раздела 1 отражается значение УПД до признания обеспечения, определяемое в соответствии с главами 10, 11 и 16 - 19 Положения Банка России N 483-П.
8.15.1. В графе 63 раздела 1 отражается значение УПД (в процентах с округлением до шести знаков после запятой по правилам математического округления), указанное в пункте 10.8 Положения Банка России N 483-П, при использовании банком БПВР. В ином случае графа 63 раздела 1 не заполняется.
8.15.2. В графах 64 - 72 раздела 1 отражается значение УПД до признания обеспечения при использовании банком ППВР. В ином случае графы 64 - 72 раздела 1 не заполняются.
8.15.3. В графе 64 раздела 1 отражается метод расчета УПД с использованием следующих кодов:
|
На основе среднего значения исторически наблюдаемых значений УПД |
|
|
На основе среднего значения УПД в случае, когда оценки УПД получены с использованием статистических моделей |
|
8.15.4. В графе 65 раздела 1 отражается значение УПД (в процентах с округлением до шести знаков после запятой по правилам математического округления), присвоенное разряду рейтинговой шкалы (портфелю однородных кредитных требований) УПД. В случае если значение УПД получено на индивидуальной основе, графа 65 раздела 1 заполняется так же, как графа 66 раздела 1.
8.15.5. В графах 66 - 68 раздела 1 отражается дополнительная информация об УПД в случае, если банком выбран метод расчета УПД на основе среднего значения УПД, или в случае, когда оценки УПД получены с использованием статистических моделей. В иных случаях графы 66 - 68 раздела 1 не заполняются.
8.15.6. В графе 66 раздела 1 отражается простое среднее арифметическое значение УПД (в процентах с округлением до шести знаков после запятой по правилам математического округления). Для расчета среднего значения используется количество кредитных требований, указанное в графе 13 раздела 1.
8.15.7. В графе 67 раздела 1 отражается среднее арифметическое значение УПД, взвешенное по ВКТД, указываемой в графе 24 раздела 1 (в процентах с округлением до шести знаков после запятой по правилам математического округления).
8.15.8. В графе 68 раздела 1 отражается среднеквадратическое отклонение значения УПД (в процентах с округлением до шести знаков после запятой по правилам математического округления). Для расчета среднеквадратического отклонения используется количество кредитных требований, указанное в графе 13 раздела 1.
8.15.9. В графах 69 и 70 раздела 1 отражается дополнительная информация об УПД в случае, если банком выбран метод расчета УПД на основе оценки ожидаемых потерь и оценки ВД. В иных случаях графы 69 и 70 раздела 1 не заполняются.
8.15.10. В графе 69 раздела 1 отражается значение ожидаемых потерь (в процентах с округлением до шести знаков после запятой по правилам математического округления), используемое для определения УПД.
8.15.11. В графе 70 раздела 1 отражается значение ВД (в процентах с округлением до шести знаков после запятой по правилам математического округления), используемое для расчета значения УПД.
8.15.12. В графе 71 раздела 1 отражается величина надбавки к УПД (в процентах с округлением до шести знаков после запятой по правилам математического округления), устанавливаемой в разрешении на применения ПВР. В случае отсутствия надбавки к УПД графа 71 раздела 1 не заполняется.
8.15.13. В графе 72 раздела 1 отражается значение УПД с учетом надбавки к УПД (в процентах с округлением до шести знаков после запятой по правилам математического округления). Формула расчета значения УПД с учетом надбавки к УПД устанавливается в разрешении на применение ПВР.
8.15.14. В графе 73 раздела 1 отражается простое среднее арифметическое значение (в процентах с округлением до шести знаков после запятой по правилам математического округления) наилучшей оценки ожидаемых потерь для кредитных требований, находящихся в дефолте, определяемой в соответствии с пунктом 13.17 Положения Банка России N 483-П (далее - ОПлуч). Для расчета среднего значения используется количество кредитных требований, указанное в графе 13 раздела 1. Для недефолтных кредитных требований, а также в случае, если банком не применяется ППВР, графа 73 раздела 1 не заполняется.
8.15.15. В графе 74 раздела 1 отражается среднее арифметическое значение ОПлуч, взвешенное по ВКТД, используемой в графе 24 раздела 1 (в процентах с округлением до шести знаков после запятой по правилам математического округления). Для недефолтных кредитных требований, а также в случае, если банком не применяется ППВР, графа 74 раздела 1 не заполняется.
8.16. В графах 75 - 90 раздела 1 отражается информация по кредитным требованиям, для которых было признано обеспечение в соответствии с главами 10, 11 и 16 - 19 Положения Банка России N 483-П для корректировки УПД. В случае отсутствия кредитных требований, для которых было признано обеспечение для корректировки УПД, графы 75 - 90 раздела 1 не заполняются.
8.16.1. В графе 75 раздела 1 отражается количество кредитных требований (в штуках), для которых было признано обеспечение для корректировки УПД.
8.16.2. В графе 76 раздела 1 отражается значение ВКТД (долей ВКТД), для которой (которых) было признано обеспечение для корректировки УПД.
8.16.3. В графе 77 раздела 1 отражается отношение значения ВКТД (долей ВКТД), указанного в графе 76 раздела 1, к значению ВКТД, указанному в графе 24 раздела 1 (в процентах с округлением до двух знаков после запятой по правилам математического округления).
8.16.4. В графах 78 - 82 раздела 1 отражается информация по кредитным требованиям, для которых было признано нефондированное обеспечение для корректировки УПД.
8.16.5. В графе 78 раздела 1 отражается количество кредитных требований (в штуках), для которых было признано нефондированное обеспечение для корректировки УПД.
8.16.6. В графе 79 раздела 1 отражается значение ВКТД (долей ВКТД), для которой (которых) было признано нефондированное обеспечение для корректировки УПД, равное сумме значений, отраженных в графах 80 - 82 раздела 1.
8.16.7. В графе 80 раздела 1 отражается значение ВКТД (долей ВКТД), для которой (которых) было признано нефондированное обеспечение для корректировки УПД в виде гарантий (банковских гарантий).
8.16.8. В графе 81 раздела 1 отражается значение ВКТД (долей ВКТД), для которой (которых) было признано нефондированное обеспечение для корректировки УПД в виде поручительств.
8.16.9. В графе 82 раздела 1 отражается значение ВКТД (долей ВКТД), для которой (которых) было признано нефондированное обеспечение для корректировки УПД в виде резервных аккредитивов.
8.16.10. В графах 83 - 88 раздела 1 отражается информация по кредитным требованиям, для которых было признано фондированное обеспечение для корректировки УПД.
8.16.11. В графе 83 раздела 1 отражается количество кредитных требований (в штуках), для которых было признано фондированное обеспечение для корректировки УПД.
8.16.12. В графе 84 раздела 1 отражается суммарное значение ВКТД (долей ВКТД), для которой (которых) было признано фондированное обеспечение для корректировки УПД, равное сумме значений, отраженных в графах 85 - 88 раздела 1.
8.16.13. В графе 85 раздела 1 отражается значение ВКТД (долей ВКТД), для которой (которых) было признано фондированное обеспечение для корректировки УПД в виде финансового обеспечения.
8.16.14. В графе 86 раздела 1 отражается значение ВКТД (долей ВКТД), для которой (которых) было признано фондированное обеспечение для корректировки УПД в виде недвижимого имущества.
8.16.15. В графе 87 раздела 1 отражается значение ВКТД (долей ВКТД), для которой (которых) было признано фондированное обеспечение для корректировки УПД в виде дебиторской задолженности.
8.16.16. В графе 88 раздела 1 отражается значение ВКТД (долей ВКТД), для которой (которых) было признано фондированное обеспечение для корректировки УПД в виде других материальных активов.
8.16.17. В графах 89 и 90 раздела 1 отражается значение УПД после признания обеспечения.
8.16.18. В графе 89 раздела 1 отражается простое среднее арифметическое значение УПД после признания обеспечения (в процентах с округлением до шести знаков после запятой по правилам математического округления). Для расчета среднего значения используется количество кредитных требований, указанное в графе 75 раздела 1.
8.16.19. В графе 90 раздела 1 отражается среднее арифметическое значение УПД после признания обеспечения, взвешенное по ВКТД, указываемой в графе 76 раздела 1 (в процентах с округлением до шести знаками после запятой по правилам математического округления).
8.17. В графах 91 и 92 раздела 1 отражается значение УПД, используемого для расчета величины кредитного риска с применением ПВР.
8.17.1. В графе 91 раздела 1 отражается простое среднее арифметическое значение УПД, используемое для расчета величины кредитного риска с применением ПВР (в процентах с округлением до шести знаков после запятой по правилам математического округления). Для расчета среднего значения используется количество кредитных требований, указанное в графе 13 раздела 1.
Кредитные требования, для которых величина кредитного риска рассчитывается по стандартизированному подходу в соответствии с пунктом 17.3 Положения Банка России N 483-П (графы 103 - 105 раздела 1), не используются для расчета среднего значения графы 91 раздела 1.
8.17.2. В графе 92 раздела 1 отражается среднее арифметическое значение УПД, взвешенное по ВКТД, указываемой в графе 24 раздела 1 (в процентах с округлением до шести знаков после запятой по правилам математического округления).
Кредитные требования, для которых величина кредитного риска рассчитывается по стандартизированному подходу в соответствии с пунктом 17.3 Положения Банка России N 483-П (графы 103 - 105 раздела 1), не используются для расчета среднего значения графы 92 раздела 1.
8.18. В графах 93 - 96 раздела 1 отражается информация о приобретенной дебиторской задолженности, определяемой в соответствии с пунктами 2.7 и 2.11 Положения Банка России N 483-П. В случае когда кредитные требования не являются приобретенной дебиторской задолженностью, графы 93 - 96 раздела 1 не заполняются.
8.18.1. В графах 93 и 94 раздела 1 отражается информация о коэффициенте риска дефолта по приобретенной дебиторской задолженности (далее - Kрд), определяемом в соответствии с пунктами 3.4, 4.7, 4.8, 5.4 Положения Банка России N 483-П.
8.18.2. В графе 93 раздела 1 отражается простое среднее арифметическое значение Kрд (в процентах с округлением до двух знаков после запятой по правилам математического округления). Для расчета среднего значения используется количество кредитных требований, указанное в графе 13 раздела 1.
8.18.3. В графе 94 раздела 1 отражается среднее арифметическое значение Kрд, взвешенное по ВКТД, указываемой в графе 24 раздела 1 (в процентах с округлением до двух знаков после запятой по правилам математического округления).
8.18.4. В графах 95 и 96 раздела 1 отражается информация о коэффициенте риска разводнения кредитного требования (далее - Kрр), определяемом в соответствии с главой 7 Положения Банка России N 483-П.
8.18.5. В графе 95 раздела 1 отражается простое среднее арифметическое значение Kрр (в процентах с округлением до двух знаков после запятой по правилам математического округления). Для расчета среднего значения используется количество кредитных требований, указанное в графе 13 раздела 1.
8.18.6. В графе 96 раздела 1 отражается среднее арифметическое значение Kрр, взвешенное по ВКТД, указываемой в графе 24 раздела 1 (в процентах с округлением до двух знаков после запятой по правилам математического округления).
8.19. В графах 97 и 98 раздела 1 отражается информация о показателе корреляции (далее - R), определяемом в соответствии с главами 4 и 5 Положения Банка России N 483-П.
Кредитные требования, для которых величина кредитного риска рассчитывается по стандартизированному подходу в соответствии с пунктом 17.3 Положения Банка России N 483-П (графы 103 - 105 раздела 1), не используются для расчета среднего значения граф 97 и 98 раздела 1.
8.19.1. В графе 97 раздела 1 отражается простое среднее арифметическое значение R без учета корректировки ВД на нефондированное обеспечение (в процентах с округлением до шести знаков после запятой по правилам математического округления).
8.19.2. В графе 98 раздела 1 отражается простое среднее арифметическое значение R с учетом корректировки ВД на нефондированное обеспечение (в процентах с округлением до шести знаков после запятой по правилам математического округления).
8.19.3. Для расчета средних значений, указанных в графах 97 и 98 раздела 1, используется количество кредитных требований, указанное в графе 13 раздела 1.
8.20. В графах 99 и 100 раздела 1 отражается информация о сроке до погашения кредитного требования (далее - M), определяемом в соответствии с пунктами 10.14 - 10.19 Положения Банка России N 483-П. В случае если значение M не используется при расчете величины кредитного риска для указанного кредитного требования, графы 99 и 100 раздела 1 не заполняются.
8.20.1. В графе 99 раздела 1 отражается простое среднее арифметическое значение M (в годах с двумя знаками после запятой).
8.20.2. В графе 100 раздела 1 отражается среднее арифметическое значение M, взвешенное по ВКТД, указываемой в графе 24 раздела 1 (в годах с двумя знаками после запятой).
8.20.3. Для расчета средних значений, указанных в графах 99 и 100 раздела 1, используется количество кредитных требований, указанное в графе 13 раздела 1.
Кредитные требования, для которых величина кредитного риска рассчитывается по стандартизированному подходу в соответствии с пунктом 17.3 Положения Банка России N 483-П (графы 103 - 105 раздела 1), не используются для расчета среднего значения граф 99 и 100 раздела 1.
8.21. В графе 101 раздела 1 отражается среднее значение коэффициента корректировки на срок до погашения (далее - Kкор), взвешенное по произведению значения ВДнп кредитных требований, указанного в графе 62 раздела 1, значений УПД кредитных требований, указанных в графах 91 - 92 раздела 1, значения ВКТД, указанного в графе 24 раздела 1 (в процентах с округлением до шести знаков после запятой по правилам математического округления), которое рассчитывается по формуле:
b(ВД) - значение показателя корректировки на срок до погашения, определяемое в соответствии с пунктом 4.1 Положения Банка России N 483-П.
Для расчета Kкор применяются значения ВД, указанные в графах 59 - 61 раздела 1. Кредитные требования, для которых величина кредитного риска рассчитывается по стандартизированному подходу в соответствии с пунктом 17.3 Положения Банка России N 483-П (графы 103 - 105 раздела 1), не используются для расчета среднего значения графы 101 раздела 1. В случае если значение M не используется при расчете величины кредитного риска для указанных кредитных требований, графа 101 раздела 1 не заполняется.
8.22. В графе 102 раздела 1 отражается РКР, средневзвешенный по ВКТД (в процентах с округлением до двух знаков после запятой по правилам математического округления), указанный в пункте 4.6 или главе 6 Положения Банка России N 483-П. В случае неприменения требований пункта 4.6 или главы 6 Положения Банка России N 483-П графа 102 раздела 1 не заполняется.
8.23. В графах 103 - 105 раздела 1 отражается информация о кредитных требованиях, для которых величина кредитного риска рассчитывается по стандартизированному подходу в соответствии с пунктом 17.3 Положения Банка России N 483-П. В случае отсутствия кредитных требований, для которых величина кредитного риска рассчитывается по стандартизированному подходу в соответствии с пунктом 17.3 Положения Банка России N 483-П, графы 103 - 105 раздела 1 не заполняются.
8.24. В графе 103 раздела 1 отражается количество кредитных требований (в штуках), для которых величина кредитного риска рассчитывается по стандартизированному подходу.
8.25. В графе 104 раздела 1 отражается ВКТД по кредитным требованиям, для которых величина кредитного риска рассчитывается по стандартизированному подходу.
8.26. В графе 105 раздела 1 отражается средневзвешенное по ВКТД, указываемой в графе 104 раздела 1, значение коэффициента риска по стандартизированному подходу (в процентах с округлением до двух знаков после запятой по правилам математического округления).
8.27. В графах 106 - 113 раздела 1 отражается информация о величине надбавок к величине кредитного риска, рассчитанной с применением ПВР, устанавливаемых в разрешении на применение ПВР. В случае отсутствия надбавок к величине кредитного риска, рассчитанной с применением ПВР, графы 106 - 113 раздела 1 не заполняются.
8.27.1. В графах 106 - 109 раздела 1 отражается информация о надбавках к величине кредитного риска, рассчитанной с применением ПВР, отличных от надбавок, устанавливаемых Указанием Банка России N 5072-У и Указанием Банка России N 6037-У. В случае отсутствия надбавок графы 106 - 109 раздела 1 не заполняются.
8.27.2. В графе 106 раздела 1 отражается количество кредитных требований (в штуках), к которым применяются надбавки к величине кредитного риска, рассчитанной с применением ПВР, отличные от надбавок, устанавливаемых Указанием Банка России N 5072-У и Указанием Банка России N 6037-У.
8.27.3. В графе 107 раздела 1 отражается ВКТД, к которой применяются надбавки к величине кредитного риска, рассчитанной с применением ПВР, отличные от надбавок, устанавливаемых Указанием Банка России N 5072-У и Указанием Банка России N 6037-У.
8.27.4. В графе 108 раздела 1 отражается величина кредитного риска, рассчитанная с применением ПВР, с учетом надбавок, указанных в графах 38 и 71 раздела 1.
8.27.5. В графе 109 раздела 1 отражается средняя величина надбавки к величине кредитного риска, рассчитанной с применением ПВР, отличной от надбавок, устанавливаемых Указанием Банка России N 5072-У и Указанием Банка России N 6037-У, взвешенная по величине кредитного риска, рассчитанной с применением ПВР, указываемой в графе 108 раздела 1 (в процентах с округлением до двух знаков после запятой по правилам математического округления).
8.27.6. В графах 110 - 113 раздела 1 отражается информация о применении надбавок, устанавливаемых Указанием Банка России N 5072-У и Указанием Банка России N 6037-У, в отношении кредитных требований, величина кредитного риска по которым рассчитывается с применением ПВР (далее - макронадбавки).
8.27.7. В графе 110 раздела 1 отражается количество кредитных требований (в штуках), к которым применяются макронадбавки.
8.27.8. В графе 111 раздела 1 отражается ВКТД по кредитным требованиям, к которым применяются макронадбавки.
8.27.9. В графе 112 раздела 1 отражается величина кредитного риска, рассчитанная с применением ПВР, с учетом надбавок, указанных в графах 38, 71 и 109 раздела 1, до применения макронадбавок.
8.27.10. В графе 113 раздела 1 отражается взвешенная по величине кредитного риска, рассчитанной с применением ПВР (графа 112 раздела 1), средняя величина макронадбавок (в процентах с округлением до двух знаков после запятой по правилам математического округления).
8.28. В графах 114 - 119 раздела 1 отражается информация о величине кредитного риска, рассчитанной с применением ПВР.
8.28.1. В графе 114 раздела 1 отражается суммарное значение величины кредитного риска, рассчитанной с применением ПВР, которое равняется сумме значений граф 115 - 118 раздела 1.
8.28.2. В графе 115 раздела 1 отражается величина кредитного риска по балансовым активам, рассчитанная с применением ПВР, с учетом надбавок, указанных в графах 38, 71 и 109 раздела 1, и без учета надбавки, указанной в графе 113 раздела 1.
8.28.3. В графе 116 раздела 1 отражается величина кредитного риска по условным обязательствам кредитного характера, рассчитанная с применением ПВР, с учетом надбавок, указанных в графах 38, 71 и 109 раздела 1, и без учета надбавки, указанной в графе 113 раздела 1.
8.28.4. В графе 117 раздела 1 отражается величина кредитного риска по внебиржевым производным финансовым инструментам, рассчитанная с применением ПВР, с учетом надбавок, указанных в графах 38, 71 и 109 раздела 1, и без учета надбавки, указанной в графе 113 раздела 1.
8.28.5. В графе 118 раздела 1 отражается итоговый результат применения макронадбавок после учета надбавок, указанных в графах 38, 71 и 109 раздела 1.
8.28.6. В графе 119 раздела 1 отражается прирост величины кредитного риска, рассчитанной с применением ПВР, вследствие применения надбавок, указанных в графах 38, 71 и 109 раздела 1, без учета макронадбавок. В случае отсутствия надбавок, указанных в графах 38, 71 и 109 раздела 1, графа 119 раздела 1 не заполняется.
8.29. В графах 120 - 123 раздела 1 отражается информация о величине кредитного риска по кредитным требованиям, к которым применяется ПВР, рассчитанной по стандартизированному подходу в соответствии с Инструкцией Банка России N 199-И.
8.29.1. В графе 120 раздела 1 отражается суммарное значение величины кредитного риска по кредитным требованиям, к которым применяется ПВР, рассчитанной по стандартизированному подходу, равное сумме значений граф 121 - 123 раздела 1. Графы 121 - 123 заполняются без учета применения надбавок в соответствии с требованиями Указания Банка России N 6960-У и Указания Банка России N 6037-У по кредитным требованиям, к которым применяется ПВР, в отношении которых величина кредитного риска рассчитывается по стандартизированному подходу.
(в ред. Указания Банка России от 16.12.2024 N 6961-У)
(см. текст в предыдущей редакции)
8.29.2. В графе 121 раздела 1 отражается величина кредитного риска по балансовым активам, к которым применяется ПВР, рассчитанная по стандартизированному подходу.
8.29.3. В графе 122 раздела 1 отражается величина кредитного риска по условным обязательствам кредитного характера, к которым применяется ПВР, рассчитанная по стандартизированному подходу.
8.29.4. В графе 123 раздела 1 отражается величина кредитного риска по внебиржевым производным финансовым инструментам, к которым применяется ПВР, рассчитанная по стандартизированному подходу.
8.30. В графе 124 раздела 1 отражается величина применения надбавок в соответствии с требованиями Указания Банка России N 6960-У и Указания Банка России N 6037-У по кредитным требованиям, к которым применяется ПВР, в отношении которых величина кредитного риска рассчитывается по стандартизированному подходу в соответствии с Инструкцией Банка России N 199-И.
(в ред. Указания Банка России от 16.12.2024 N 6961-У)
(см. текст в предыдущей редакции)
8.31. В графе 125 раздела 1 отражается величина фактически сформированных резервов на возможные потери по кредитным требованиям, к которым применяется ПВР, определенная в соответствии с:
Положением Банка России от 28 июня 2017 года N 590-П "О порядке формирования кредитными организациями резервов на возможные потери по ссудам, ссудной и приравненной к ней задолженности" <1>;
--------------------------------
<1> Зарегистрировано Минюстом России 12 июля 2017 года, регистрационный N 47384, с изменениями, внесенными Указаниями Банка России от 26 июля 2018 года N 4874-У (зарегистрировано Минюстом России 3 октября 2018 года, регистрационный N 52308), от 27 ноября 2018 года N 4986-У (зарегистрировано Минюстом России 19 декабря 2018 года, регистрационный N 53053), от 26 декабря 2018 года N 5043-У (зарегистрировано Минюстом России 23 января 2019 года, регистрационный N 53505), от 18 июля 2019 года N 5211-У (зарегистрировано Минюстом России 12 сентября 2019 года, регистрационный N 55910), от 16 октября 2019 года N 5288-У (зарегистрировано Минюстом России 27 ноября 2019 года, регистрационный N 56646), от 11 января 2021 года N 5690-У (зарегистрировано Минюстом России 26 апреля 2021 года, регистрационный N 63238), от 18 августа 2021 года N 5889-У (зарегистрировано Минюстом России 21 сентября 2021 года, регистрационный N 65077), от 15 февраля 2022 года N 6068-У (зарегистрировано Минюстом России 24 марта 2022 года, регистрационный N 67894), от 15 марта 2023 года N 6377-У (зарегистрировано Минюстом России 7 апреля 2023 года, регистрационный N 72915).
Положением Банка России от 23 октября 2017 года N 611-П "О порядке формирования кредитными организациями резервов на возможные потери" <2>;
--------------------------------
<2> Зарегистрировано Минюстом России 15 марта 2018 года, регистрационный N 50381, с изменениями, внесенными Указаниями Банка России от 27 ноября 2018 года N 4988-У (зарегистрировано Минюстом России 19 декабря 2018 года, регистрационный N 53054), от 18 июля 2019 года N 5212-У (зарегистрировано Минюстом России 12 сентября 2019 года, регистрационный N 55911), от 27 февраля 2020 года N 5404-У (зарегистрировано Минюстом России 31 марта 2020 года, регистрационный N 57915), от 22 апреля 2020 года N 5449-У (зарегистрировано Минюстом России 28 мая 2020 года, регистрационный N 58498).
Положением Банка России от 24 августа 2020 года N 730-П "О порядке формирования банками резервов на возможные потери с применением банковских методик управления рисками и моделей количественной оценки рисков, требованиях к банковским методикам управления рисками и моделям количественной оценки рисков в части определения ожидаемых кредитных потерь и осуществлении Банком России надзора за соблюдением указанного порядка" <3>;
--------------------------------
<3> Зарегистрировано Минюстом России 10 декабря 2020 года, регистрационный N 61368.
Указанием Банка России от 22 июня 2005 года N 1584-У "О формировании и размере резерва на возможные потери под операции кредитных организаций с резидентами офшорных зон" <4>;
--------------------------------
<4> Зарегистрировано Минюстом России 15 июля 2005 года, регистрационный N 6799.
Указанием Банка России от 17 ноября 2011 года N 2732-У "Об особенностях формирования кредитными организациями резерва на возможные потери по операциям с ценными бумагами, права на которые удостоверяются депозитариями" <5>.
--------------------------------
<5> Зарегистрировано Минюстом России 12 декабря 2011 года, регистрационный N 22544, с изменениями, внесенными Указаниями Банка России от 25 июня 2012 года N 2841-У (зарегистрировано Минюстом России 1 августа 2012 года, регистрационный N 25070), от 25 ноября 2014 года N 3452-У (зарегистрировано Минюстом России 11 декабря 2014 года, регистрационный N 35134), от 1 декабря 2015 года N 3868-У (зарегистрировано Минюстом России 18 декабря 2015 года, регистрационный N 40170), от 22 сентября 2017 года N 4540-У (зарегистрировано Минюстом России 16 октября 2017 года, регистрационный N 48551), от 27 ноября 2018 года N 4984-У (зарегистрировано Минюстом России 7 февраля 2019 года, регистрационный N 53707).
Графа 125 раздела 1 не заполняется для кредитных требований, соответствующих долям участия в капитале.
8.32. В графе 126 раздела 1 отражается отношение значения графы 125 раздела 1 к значению графы 24 раздела 1 (в процентах с округлением до двух знаков после запятой по правилам математического округления).
8.33. В графе 127 раздела 1 отражается величина ожидаемых потерь, определяемая в соответствии с главой 8 Положения Банка России N 483-П с учетом надбавок, устанавливаемых в разрешении на применение ПВР, за исключением результата применения макронадбавок (далее - величина ожидаемых потерь), по кредитным требованиям, к которым применяется ПВР.
8.34. В графе 128 раздела 1 отражается разница между величиной ожидаемых потерь, указанной в графе 127 раздела 1, и величиной фактически сформированных резервов на возможные потери, указанной в графе 125 раздела 1.
9. В разделе 2 Отчета (далее - раздел 2) отражается информация о распределении кредитных требований по сегментам, классам (подклассам), счетам бухгалтерского учета в соответствии с Положением Банка России от 24 ноября 2022 года N 809-П "О Плане счетов бухгалтерского учета для кредитных организаций и порядке его применения" <1> (далее соответственно - Положение Банка России N 809-П, счета бухгалтерского учета) и по применяемым подходам к оценке риска.
--------------------------------
<1> Зарегистрировано Минюстом России 29 декабря 2022 года, регистрационный N 71867, с изменениями, внесенными Указанием Банка России от 23 марта 2023 года N 6380-У (зарегистрировано Минюстом России 24 апреля 2023 года, регистрационный N 73130).
9.1. В подразделе 2.1 раздела 2 (далее - подраздел 2.1) отражается информация о распределении кредитных требований по сегментам, классам (подклассам), счетам бухгалтерского учета.
9.1.1. В строках подраздела 2.1 отражается информация по кредитным требованиям, имеющим уникальные комбинации значений граф 1 - 3. Информация по внебиржевым производным финансовым инструментам, к которым применяется ПВР, заполняется единой строкой без разбивки по счетам бухгалтерского учета.
9.1.2. В графе 1 подраздела 2.1 отражается код сегмента кредитных требований.
9.1.3. В графе 2 подраздела 2.1 отражается код регуляторного сегмента кредитных требований.
9.1.4. В графе 3 подраздела 2.1 отражается номер счета второго порядка бухгалтерского учета.
9.1.5. В графе 4 подраздела 2.1 отражается номинальная стоимость балансовых активов, к которым применяется ПВР, учитываемых на балансовых счетах бухгалтерского учета.
9.1.6. В графе 5 подраздела 2.1 отражается номинальная стоимость условных обязательств кредитного характера, к которым применяется ПВР, учитываемых на внебалансовых счетах бухгалтерского учета.
9.1.7. В графе 6 подраздела 2.1 отражается номинальная контрактная стоимость внебиржевых производных финансовых инструментов, величина кредитного риска по которым рассчитывается с применением ПВР, определяемая как стоимость, по которой они отражены на дату заключения договоров на внебалансовых счетах.
9.1.8. Для каждой строки подраздела 2.1 заполняется только одна из граф 4 - 6 (оставшиеся графы не заполняются).
9.2. В подразделе 2.2 раздела 2 (далее - подраздел 2.2) отражается информация о распределении кредитных требований по счетам бухгалтерского учета и применяемым подходам к оценке риска.
9.2.1. В графе 1 подраздела 2.2 отражается номер счета второго порядка в соответствии с Положением Банка России N 809-П.
9.2.2. В графе 2 подраздела 2.2 отражается номинальная стоимость кредитных требований, по которым величина кредитного риска рассчитывается с применением ПВР. Номинальная контрактная стоимость внебиржевых производных финансовых инструментов определяется как стоимость, по которой они отражены на дату заключения договоров на внебалансовых счетах.
9.2.3. В графе 3 подраздела 2.2 отражается номинальная стоимость кредитных требований, не переведенных на ПВР, по которым величина кредитного риска рассчитывается на основе стандартизированного подхода в соответствии с Инструкцией Банка России N 199-И. Номинальная контрактная стоимость внебиржевых производных финансовых инструментов определяется как стоимость, по которой они отражены на дату заключения договоров на внебалансовых счетах.
9.2.4. В графе 4 подраздела 2.2 отражается номинальная стоимость кредитных требований, по которым величина рыночного риска рассчитывается в соответствии с Положением Банка России от 3 декабря 2015 года N 511-П "О порядке расчета кредитными организациями величины рыночного риска" <1>.
--------------------------------
<1> Зарегистрировано Минюстом России 28 декабря 2015 года, регистрационный N 40328, с изменениями, внесенными Указаниями Банка России от 15 ноября 2018 года N 4969-У (зарегистрировано Минюстом России 7 марта 2019 года, регистрационный N 53986), от 27 февраля 2020 года N 5404-У (зарегистрировано Минюстом России 31 марта 2020 года, регистрационный N 57915), от 28 февраля 2022 года N 6075-У (зарегистрировано Минюстом России 4 апреля 2022 года, регистрационный N 68056).
9.2.5. В графе 5 подраздела 2.2 отражается номинальная стоимость кредитных требований, уменьшающих размер собственных средств (капитала) в соответствии с Положением Банка России от 4 июля 2018 года N 646-П "О методике определения собственных средств (капитала) кредитных организаций ("Базель III")" <2> (далее - Положение Банка России N 646-П).
--------------------------------
<2> Зарегистрировано Минюстом России 10 сентября 2018 года, регистрационный N 52122, с изменениями, внесенными Указаниями Банка России от 27 ноября 2018 года N 4987-У (зарегистрировано Минюстом России 19 декабря 2018 года, регистрационный N 53064), от 6 июня 2019 года N 5163-У (зарегистрировано Минюстом России 30 сентября 2019 года, регистрационный N 56084), от 30 июня 2020 года N 5492-У (зарегистрировано Минюстом России 30 июля 2020 года, регистрационный N 59121).
9.2.6. В графе 6 подраздела 2.2 отражается остаток по счету второго порядка (графа 1 подраздела 2.2) в соответствии с отчетностью по форме 0409101 "Оборотная ведомость по счетам бухгалтерского учета кредитной организации".
9.2.7. В графе 7 подраздела 2.2 отражается разность между значениями графы 6 подраздела 2.2 и суммой значений граф 2 - 5 подраздела 2.2.
9.2.8. В графах 8 - 10 подраздела 2.2 отражается разность между значениями остатков по счету второго порядка кредитных требований, учитываемых в графах 2 - 4 подраздела 2.2, и номинальной стоимостью кредитных требований, учтенной в графах 2 - 4 подраздела 2.2.
9.2.9. В графе 11 подраздела 2.2 отражается величина кредитных требований, по которым величина кредитного риска рассчитывается с применением ПВР, рассчитанная в соответствии с пунктом 1.12 Положения Банка России N 483-П.
9.2.10. В графе 12 подраздела 2.2 отражается величина кредитных требований, по которым величина кредитного риска рассчитывается по стандартизированному подходу в соответствии с Инструкцией Банка России N 199-И, рассчитанная в соответствии с пунктом 1.12 Положения Банка России N 483-П.
9.2.11. В графе 13 подраздела 2.2 отражается величина кредитных требований, по которым величина кредитного риска рассчитывается по стандартизированному подходу в соответствии с Инструкцией Банка России N 199-И с учетом исключений, предусмотренных пунктом 1.2 Положения Банка России N 483-П, рассчитанная в соответствии с пунктом 1.12 Положения Банка России N 483-П.
9.2.12. В графе 14 подраздела 2.2 отражается информация о причинах расхождений в случае, если значение графы 7 подраздела 2.2 составляет более единицы либо менее минус единицы.
9.2.13. Кредитные требования, учитываемые на счетах бухгалтерского учета, предусмотренных главой Г Плана счетов бухгалтерского учета для кредитных организаций, установленного Положением Банка России N 809-П, указываются единой строкой без разбивки по счетам бухгалтерского учета.
10. В разделе 3 Отчета (далее - раздел 3) отражается информация об используемых моделях количественной оценки кредитного риска, рейтинговых шкалах и надбавках к компонентам кредитного риска.
10.1. В подразделе 3.1 раздела 3 (далее - подраздел 3.1) отражается информация об используемых моделях количественной оценки кредитного риска.
10.1.1. В графе 1 подраздела 3.1 отражается код модели количественной оценки кредитного риска (далее - ПВР-модель).
10.1.2. В графе 2 подраздела 3.1 отражается наименование ПВР-модели, используемое банком во внутренних документах.
10.1.3. В графе 3 подраздела 3.1 отражается компонент кредитного риска, моделируемый при помощи соответствующей ПВР-модели, с использованием следующих кодов:
10.1.4. В графе 4 подраздела 3.1 отражается дата проведения последней внутренней валидации ПВР-модели.
10.1.5. В графе 5 подраздела 3.1 отражается дата утверждения ПВР-модели.
10.1.6. В графе 6 подраздела 3.1 отражается дата ввода в действие ПВР-модели.
10.1.7. В графе 7 подраздела 3.1 отражается дата прекращения действия ПВР-модели. Указанная графа заполняется в случае прекращения действия ПВР-модели в период с предыдущей отчетной даты по текущую отчетную дату. В ином случае графа 7 подраздела 3.1 не заполняется.
10.1.8. В графе 8 подраздела 3.1 отражаются номер и дата решения Банка России о выдаче разрешения на применение ПВР-модели. В случае если ПВР-модель была введена в действие без разрешения Банка России, указываются дата и номер уведомления Банка России о применении соответствующей ПВР-модели. Номер и дата решения (уведомления) Банка России разделяются символом ";" (точка с запятой).
10.1.9. В графе 9 подраздела 3.1 отражается код сегмента компонента кредитного риска. В случае если ПВР-модель применяется более чем к одному сегменту компонента кредитного риска, коды сегментов компонентов кредитного риска указываются через символ ";" (точка с запятой).
10.1.10. В графе 10 подраздела 3.1 отражаются пояснения и комментарии при их наличии. В ином случае графа 10 подраздела 3.1 не заполняется.
10.2. В подразделе 3.2 раздела 3 (далее - подраздел 3.2) отражается информация об используемых рейтинговых шкалах (портфелях однородных кредитных требований), за исключением:
рейтинговых шкал (портфелей однородных кредитных требований) УПД и конверсионных коэффициентов при использовании банком БПВР;
рейтинговых шкал коэффициентов риска, используемых в соответствии с пунктом 4.6 и главой 6 Положения Банка России N 483-П.
10.2.1. В графе 1 подраздела 3.2 отражается код разряда рейтинговой шкалы (портфеля однородных кредитных требований), по которой распределяются результаты оценки ПВР-моделей.
10.2.2. В графе 2 подраздела 3.2 отражается компонент кредитного риска, соответствующий разряду рейтинговой шкалы (портфелю однородных кредитных требований), с использованием следующих кодов:
10.2.3. В графах 3 и 4 подраздела 3.2 отражаются соответственно минимальное значение и максимальное значение границ расчетного параметра, применяемого для распределения заемщиков (кредитных требований) по разрядам рейтинговых шкал (портфелям однородных кредитных требований) в случае, когда расчетным параметром является численная оценка либо иной количественный показатель, используемый для дифференциации заемщиков (кредитных требований). В случае когда расчетным параметром является непосредственно значение компонента кредитного риска, графы 3 и 4 подраздела 3.2 не заполняются.
10.2.4. В графах 5 и 6 подраздела 3.2 отражаются соответственно минимальное значение и максимальное значение границ компонента кредитного риска в случае, когда они применяются для распределения заемщиков (кредитных требований) по разрядам рейтинговых шкал (портфелям однородных кредитных требований). В ином случае графы 5 и 6 подраздела 3.2 не заполняются.
10.2.5. Графы 3 - 6 подраздела 3.2 не заполняются, если не существует единого расчетного параметра (численной оценки, значения компонента кредитного риска), на основании которого заемщики (кредитные требования) распределяются по разрядам рейтинговых шкал (портфелям однородных кредитных требований).
10.2.6. В графе 7 подраздела 3.2 отражается значение компонента кредитного риска, присвоенное разряду рейтинговой шкалы.
10.2.7. В графе 8 подраздела 3.2 отражается код ПВР-модели, оценки которой используются для распределения заемщиков (кредитных требований) по соответствующим разрядам рейтинговой шкалы (портфелю однородных кредитных требований). В случае если параметры одного разряда рейтинговой шкалы (портфеля однородных кредитных требований) используются более чем для одной ПВР-модели, коды ПВР-моделей указываются через символ ";" (точка с запятой).
10.2.8. В графе 9 подраздела 3.2 отражаются пояснения и комментарии при их наличии. В ином случае графа 9 подраздела 3.2 не заполняется.
10.3. В подразделе 3.3 раздела 3 (далее - подраздел 3.3) отражается информация о величине надбавок к компонентам кредитного риска, за исключением макронадбавок.
10.3.1. В графе 1 подраздела 3.3 отражается идентификатор надбавки к компонентам кредитного риска. Идентификаторы надбавок к компонентам кредитного риска указываются в разрешении на применение ПВР.
10.3.2. В графе 2 подраздела 3.3 отражаются номер и дата разрешения на применение ПВР, которым утверждена надбавка к компонентам кредитного риска. Номер и дата документа разделяются символом ";" (точка с запятой).
10.3.3. В графе 3 подраздела 3.3 отражается значение ВКТД, для которой применяется надбавка к компонентам кредитного риска.
10.3.4. В графе 4 подраздела 3.3 отражается дата, с которой применяется надбавка к компонентам кредитного риска.
10.3.5. В графе 5 подраздела 3.3 отражается дата окончания применения надбавки к компонентам кредитного риска в случае, если надбавка перестала применяться в период с предыдущей отчетной даты по текущую отчетную дату. В ином случае графа 5 подраздела 3.3 не заполняется.
10.3.6. В графе 6 подраздела 3.3 отражается величина надбавки к компонентам кредитного риска (в процентах с округлением до шести знаков после запятой по правилам математического округления), установленная в разрешении на применение ПВР.
10.3.7. В графе 7 подраздела 3.3 отражается код сегмента компонента кредитного риска, к которому применяется надбавка к компонентам кредитного риска. В случае если надбавка применяется более чем к одному сегменту компонента кредитного риска, коды сегментов компонентов кредитного риска указываются через символ ";" (точка с запятой). В случае если надбавка применяется одновременно ко всем сегментам компонентов кредитного риска, указывается значение "все".
10.3.8. В графе 8 подраздела 3.3 отражается компонент кредитного риска, соответствующий расчетной базе надбавки, с использованием следующих кодов:
11. В разделе 4 Отчета (далее - раздел 4) отражается информация о контрольных показателях качества ПВР-моделей. Список и метод расчета контрольных показателей качества ПВР-моделей указываются в разрешении на применение ПВР.
11.1. В графе 1 раздела 4 отражается код ПВР-модели.
11.2. В графе 2 раздела 4 отражается идентификатор показателя качества ПВР-модели. Идентификаторы показателей качества ПВР-моделей указываются в разрешении на применение ПВР.
11.3. В графе 3 раздела 4 отражается наименование показателя качества ПВР-модели.
11.4. В графе 4 раздела 4 отражается оцениваемое свойство показателя качества ПВР-модели.
11.5. В графе 5 раздела 4 отражается дата, на которую был рассчитан показатель качества ПВР-модели.
11.6. В графе 6 раздела 4 отражается рассчитанное значение показателя качества ПВР-модели.
11.7. В графах 7 - 10 раздела 4 отражаются рассчитанные доверительные интервалы значений, принимаемые показателями качества ПВР-моделей.
11.7.1. В графе 7 раздела 4 отражается рассчитанное минимальное значение 95 процентов доверительного интервала значений, принимаемого показателем качества ПВР-моделей.
11.7.2. В графе 8 раздела 4 отражается рассчитанное максимальное значение 95 процентов доверительного интервала значений, принимаемого показателем качества ПВР-моделей.
11.7.3. В графе 9 раздела 4 отражается рассчитанное минимальное значение 99 процентов доверительного интервала значений, принимаемого показателем качества ПВР-моделей.
11.7.4. В графе 10 раздела 4 отражается рассчитанное максимальное значение 99 процентов доверительного интервала значений, принимаемого показателем качества ПВР-моделей.
11.7.5. В случае если в соответствии с разрешением на применение ПВР для определенных показателей качества ПВР-моделей доверительные интервалы не рассчитываются, графы 7 - 10 раздела 4 не заполняются.
11.8. В графе 11 раздела 4 отражается значение, соответствующее неудовлетворительному диапазону значений показателей качества ПВР-моделей, указанных в разрешении на применение ПВР.
11.9. В графе 12 раздела 4 отражается значение, соответствующее удовлетворительному диапазону значений показателей качества ПВР-моделей, указанных в разрешении на применение ПВР.
11.10. В графе 13 раздела 4 отражается значение, соответствующее оптимальному диапазону значений показателей качества ПВР-моделей, указанных в разрешении на применение ПВР.
11.11. В графе 14 раздела 4 отражается оценка показателей качества ПВР-моделей в соответствии с графами 11 - 13 раздела 4 с использованием следующих кодов:
11.12. В графе 15 раздела 4 отражается количество наблюдений в выборке, используемой для расчета показателей качества ПВР-моделей (в штуках).
11.13. В графе 16 раздела 4 отражается количество дефолтов в выборке, используемой для расчета показателей качества ПВР-моделей (в штуках).
11.14. В графе 17 раздела 4 отражается период, включающий в себя даты среза наблюдений в выборке, используемых для расчета показателей качества ПВР-моделей. Начальная дата периода отделяется от конечной даты через символ ";" (точка с запятой).
11.15. В графе 18 раздела 4 отражаются пояснения и комментарии при их наличии. В ином случае графа 18 раздела 4 не заполняется.
12. В разделе 5 Отчета (далее - раздел 5) отражаются данные о миграциях кредитных требований между сегментами ВД и разрядами рейтинговой шкалы ВД, за исключением кредитных требований, соответствующих долям участия в капитале. В случае применения пункта 4.6 или главы 6 Положения Банка России N 483-П для кредитных требований в качестве сегмента ВД отражается сегмент кредитных требований, в качестве разряда рейтинговой шкалы ВД отражается разряд шкалы регуляторных коэффициентов риска.
12.1. В подразделе 5.1 раздела 5 (далее - подраздел 5.1) отражается информация о миграциях кредитных требований между сегментами ВД и разрядами рейтинговой шкалы ВД в течение календарного месяца.
12.1.1. В графах 1 - 7 подраздела 5.1 отражаются данные о кредитных требованиях по состоянию на предыдущую отчетную дату.
12.1.2. В строках подраздела 5.1 указываются уникальные комбинации значений граф 1, 2, 8 и 9 подраздела 5.1. При этом каждой комбинации значений граф 1 и 2 подраздела 5.1 может соответствовать более одной комбинации значений граф 8 и 9 подраздела 5.1. В этом случае значения, соответствующие строкам граф 1 и 2 подраздела 5.1, повторяются необходимое количество раз.
12.1.3. В графе 1 подраздела 5.1 отражается код сегмента ВД кредитных требований по состоянию на предыдущую отчетную дату.
12.1.4. В графе 2 подраздела 5.1 отражается код разряда рейтинговой шкалы (портфеля однородных кредитных требований) ВД кредитных требований по состоянию на предыдущую отчетную дату.
12.1.5. В отдельных строках подраздела 5.1 отражаются:
кредитные требования, которые не входили в портфель банка на предыдущую отчетную дату, но входят в него на текущую отчетную дату;
кредитные требования, в отношении которых величина кредитного риска не рассчитывалась с применением ПВР на предыдущую отчетную дату.
Для кредитных требований, указанных в абзаце втором настоящего подпункта, в графах 1 и 2 подраздела 5.1 отражается значение "новые", для кредитных требований, указанных в абзаце третьем настоящего подпункта, в графах 1 и 2 подраздела 5.1 отражается значение "переведены на ПВР". При этом графы 3 - 7 подраздела 5.1 не заполняются.
12.1.6. В графе 3 подраздела 5.1 отражается количество заемщиков (в единицах) по состоянию на предыдущую отчетную дату.
В графе 3 подраздела 5.1 для кредитных требований к корпоративным заемщикам на уровне одного заемщика отражается информация о количестве заемщиков с учетом следующих особенностей:
в случае если на уровне заемщика по кредитным требованиям, в отношении которых величина кредитного риска рассчитывается с применением ПВР, за период с предыдущей отчетной даты по текущую отчетную дату по части кредитных требований величина кредитного риска рассчитывается с применением ПВР, а для остальных кредитных требований произошло одно или более событий (таких как погашение, продажа, списание, прекращение применения ПВР), код "1" отражается в строке, для которой по части кредитных требований величина кредитного риска рассчитывается с применением ПВР. В остальных строках отражается код "0";
в случае если на уровне заемщика по кредитным требованиям, в отношении которых величина кредитного риска рассчитывается с применением ПВР, за период с предыдущей отчетной даты по текущую отчетную дату произошло два или более события (таких как погашение, продажа, списание, прекращение применения ПВР), код "1" отражается в строке в порядке убывания приоритета следующих значений граф 8 и 9 раздела 5.1 - "списано", "продано", "погашено", "выведено из ПВР". В остальных строках отражается код "0";
общее количество корпоративных заемщиков, указанное в графе 3 подраздела 5.1, должно совпадать с фактическим количеством корпоративных заемщиков, в отношении кредитных требований которых величина кредитного риска рассчитывается с применением ПВР, на предыдущую отчетную дату.
12.1.7. В графе 4 подраздела 5.1 отражается количество кредитных требований (в штуках) по состоянию на предыдущую отчетную дату.
12.1.8. В графе 5 подраздела 5.1 отражается взвешенное по ВКТД (графа 7 подраздела 5.1) среднее арифметическое значение УПД, используемое для расчета величины кредитного риска с применением ПВР (в процентах с округлением до шести знаков после запятой по правилам математического округления), по состоянию на предыдущую отчетную дату.
12.1.9. В графе 6 подраздела 5.1 отражается величина кредитного риска, рассчитанная с применением ПВР, без учета применения макронадбавок по состоянию на предыдущую отчетную дату.
12.1.10. В графе 7 подраздела 5.1 отражается ВКТД по состоянию на предыдущую отчетную дату.
12.1.11. В графах 8 - 14 подраздела 5.1 отражаются данные о кредитных требованиях, указанных в графах 1 - 7 подраздела 5.1, по состоянию на текущую отчетную дату. При этом кредитные требования, которые входили в портфель банка на предыдущую отчетную дату, но выбыли из него на текущую отчетную дату, отражаются в отдельных строках подраздела 5.1, для которых графы 8 - 9 подраздела 5.1 заполняются значениями "погашены", "проданы", "списаны", "выведены из ПВР", "иное", а графы 10 - 14 подраздела 5.1 не заполняются.
В графе 10 подраздела 5.1 для кредитных требований к корпоративным заемщикам на уровне одного заемщика отражается информация о количестве заемщиков с учетом следующих особенностей:
в случае если на уровне заемщика по кредитным требованиям, в отношении которых величина кредитного риска рассчитывается с применением ПВР, за период с предыдущей отчетной даты по текущую отчетную дату по части кредитных требований величина кредитного риска рассчитывается с применением ПВР, а для остальных кредитных требований произошло предоставление кредитного требования или изменение подхода к оценке величины кредитного риска на применение ПВР, код "1" отражается в строке, для которой по части кредитных требований величина кредитного риска рассчитывается с применением ПВР. В остальных строках отражается код "0";
в случае если на уровне заемщика по кредитным требованиям, в отношении которых величина кредитного риска рассчитывалась с применением ПВР, за период с предыдущей отчетной даты по текущую отчетную дату произошли предоставление кредитных требований и изменение подхода к оценке величины кредитного риска на применение ПВР, код "1" отражается в строке со значением "переведены на ПВР" граф 1 и 2 подраздела 5.1. В строках со значением "новые" граф 1 и 2 подраздела 5.1 отражается код "0";
общее количество корпоративных заемщиков, указанное в графе 10 подраздела 5.1, должно совпадать с фактическим количеством корпоративных заемщиков, в отношении кредитных требований которых величина кредитного риска рассчитывалась с применением ПВР, на текущую отчетную дату.
12.1.12. В графе 15 подраздела 5.1 отражается количество заемщиков, по которым был пересчитан рейтинг, по состоянию на текущую отчетную дату. При этом количество кредитных требований, которые не входили в портфель банка или по которым не применялся ПВР на предыдущую отчетную дату, но которые входят в портфель банка на текущую отчетную дату, отражается в полном объеме.
12.1.13. В графе 16 подраздела 5.1 отражается количество кредитных требований, по которым был пересчитан рейтинг, по состоянию на текущую отчетную дату. При этом количество кредитных требований, которые не входили в портфель банка или по которым не применялся ПВР на предыдущую отчетную дату, но которые входят в него на текущую отчетную дату, отражается в полном объеме.
12.2. В подразделе 5.2 отражается информация о миграциях кредитных требований между сегментами ВД и разрядами рейтинговой шкалы ВД в течение календарного года. Подраздел 5.2 заполняется в соответствии с подпунктом 12.1 настоящего пункта, вместо данных на предыдущую отчетную дату используются данные на аналогичную отчетную дату года, предшествующего отчетному году.
13. В разделе 6 Отчета (далее - раздел 6) отражаются данные о расчете итогового результата применения макронадбавок без учета кредитных требований, итоговый результат применения надбавок по которым рассчитывается в соответствии с Указанием Банка России N 6037-У.
13.1. В строках раздела 6 отражаются данные по кредитным требованиям и требованиям по получению начисленных (накопленных) процентов по кредитам (займам) по соответствующим кодам активов, используемым для определения надбавок к коэффициентам риска, установленным приложением 7 к Указанию Банка России N 6960-У.
(в ред. Указания Банка России от 16.12.2024 N 6961-У)
(см. текст в предыдущей редакции)
13.2. В графе 2 раздела 6 отражается определение расшифровки кодов сегментов кредитных требований, в отношении которых банками применяются макронадбавки, в соответствии с приложением к Указанию Банка России N 5072-У.
13.3. В графе 3 раздела 6 отражается выбранный для расчета макронадбавок подход из установленных пунктом 7 Указания Банка России N 5072-У, при этом в качестве кода указывается номер соответствующего подпункта пункта 7 Указания Банка России N 5072-У.
13.4. Графы 4 - 6 раздела 6 заполняются только при выборе банком для расчета макронадбавок подхода, соответствующего подпункту 7.3 пункта 7 Указания Банка России N 5072-У.
13.4.1. В графе 4 раздела 6 отражается расчетная величина КРстд6 (в процентах с округлением до двух знаков после запятой по правилам математического округления) в соответствии с подпунктом 7.3 пункта 7 Указания Банка России N 5072-У.
13.4.2. В графе 5 раздела 6 отражается расчетная величина КРпврj (в процентах с округлением до двух знаков после запятой по правилам математического округления) в соответствии с подпунктом 7.3 пункта 7 Указания Банка России N 5072-У.
13.4.3. В графе 6 раздела 6 отражается расчетная величина КРпвр6 (в процентах с округлением до двух знаков после запятой по правилам математического округления) в соответствии с подпунктом 7.3 пункта 7 Указания Банка России N 5072-У.
13.5. В графах 7 - 13 раздела 6 отражаются отдельные показатели расчета итогового результата применения надбавок, устанавливаемых Указанием Банка России N 5072-У. В случае если банком выбран подход, соответствующий подпункту 7.1 пункта 7 Указания Банка России N 5072-У, отдельные показатели расчета отражаются с учетом требований абзаца тринадцатого подпункта 7.1 пункта 7 Указания Банка России N 5072-У.
13.5.1. В графе 7 раздела 6 отражается ВКТД.
13.5.2. В графе 8 раздела 6 отражается величина кредитного риска, рассчитанная с применением ПВР.
13.5.3. В графе 9 раздела 6 отражается расчетная величина Ai в соответствии с подпунктом 7.1 пункта 7 Указания Банка России N 5072-У.
13.5.4. В графе 10 раздела 6 отражается величина кредитного риска, рассчитанная в соответствии с пунктами 2.1 и 2.3 Инструкции Банка России N 199-И (пунктами 3.1 и 3.3 Инструкции Банка России N 199-И - в случае принятия банком решения согласно пункту 1.7 Инструкции Банка России N 199-И), за исключением:
кредитных требований, указанных в абзацах шестом - девятом и двенадцатом подпункта 3.1.1 пункта 3.1 Инструкции Банка России N 199-И;
кредитных требований, которые в соответствии с Инструкцией Банка России N 199-И включаются в код "8945.i".
13.5.5. В графе 11 раздела 6 отражается расчетная величина Bi в соответствии с подпунктом 7.1 пункта 7 Указания Банка России N 5072-У.
13.5.6. В графе 12 раздела 6 отражается итоговый результат применения макронадбавок.
13.5.7. В графе 13 раздела 6 отражается отношение итогового результата применения макронадбавок, указанного в графе 12 раздела 6, к величине кредитного риска, рассчитанной с применением ПВР, указанной в графе 8 раздела 6 (в процентах с округлением до двух знаков после запятой по правилам математического округления).
13.6. Графы 14 - 20 раздела 6 заполняются только в том случае, если банком выбран подход, соответствующий подпункту 7.1 пункта 7 Указания Банка России N 5072-У. Графы 14 - 20 раздела 6 заполняются так же, как графы 7 - 13 раздела 6, при этом:
графы 14 - 20 раздела 6 заполняются без учета требований абзаца тринадцатого подпункта 7.1 пункта 7 Указания Банка России N 5072-У;
в графе 20 раздела 6 отражается отношение итогового результата применения макронадбавок, указанного в графе 19 раздела 6, к величине кредитного риска, рассчитанной с применением ПВР, указанной в графе 15 раздела 6 (в процентах с округлением до двух знаков после запятой по правилам математического округления).
14. В разделе 7 Отчета (далее - раздел 7) отражается информация о наступлении дефолта в соответствии с пунктами 13.3 и 13.4 Положения Банка России N 483-П и о фактическом уровне потерь при дефолте, определяемом в соответствии с пунктами 13.14 - 13.19 Положения Банка России N 483-П (далее - фактический уровень потерь при дефолте).
14.1. В подразделе 7.1 раздела 7 (далее - подраздел 7.1) отражается информация о наступлении дефолта. Значения приводятся исходя из количества клиентов или кредитных требований в зависимости от подхода, используемого для сегмента ВД. В случае применения пункта 4.6 или главы 6 Положения Банка России N 483-П для кредитных требований в качестве сегмента ВД отражается регуляторный сегмент кредитных требований.
14.1.1. В графе 1 подраздела 7.1 отражается код регуляторного сегмента кредитных требований в соответствии с подпунктом 8.2.2 пункта 8 настоящего Порядка.
14.1.2. В графе 2 подраздела 7.1 отражается код сегмента ВД.
14.1.3. В графе 3 подраздела 7.1 указывается дата расчета, являющаяся первым числом месяца, начиная с самой ранней даты, использованной при разработке моделей ВД, до даты, отстающей от отчетной даты на один год. Информация отражается отдельными строками в отношении каждой даты расчета.
14.1.4. В графе 4 подраздела 7.1 отражается количество клиентов (кредитных требований) (в единицах), не находящихся в дефолте на дату расчета, отраженную в графе 3 подраздела 7.1.
14.1.5. В графах 5 - 11 подраздела 7.1 отражается количество клиентов (кредитных требований) (в единицах) из числа указанных в графе 4 подраздела 7.1, по которым наступил дефолт в течение одного года после даты расчета, отраженной в графе 3 подраздела 7.1.
14.1.5.1. В графе 5 подраздела 7.1 отражается общее количество клиентов (кредитных требований) (в единицах) из числа указанных в графе 4 подраздела 7.1, по которым наступил дефолт в течение одного года после даты расчета, отраженной в графе 3 подраздела 7.1.
14.1.5.2. В графах 6 - 11 подраздела 7.1 отражается количество клиентов (кредитных требований) (в единицах) из числа указанных в графе 4 подраздела 7.1, по которым наступил дефолт в течение одного года после даты расчета, отраженной в графе 3 подраздела 7.1, в результате причин события дефолта, указанных в графах 6 - 11 подраздела 7.1. В случае одновременного возникновения двух и более причин события дефолта количество клиентов (кредитных требований) отражается единожды, исходя из приоритетности указанной причины события дефолта: чем меньше порядковый номер графы, тем выше приоритет причины события дефолта. При отсутствии дефолтов по причинам, указанным в графах 6 - 11 подраздела 7.1, отражается код "0".
14.2. В подразделе 7.2 раздела 7 (далее - подраздел 7.2) отражается информация о фактическом уровне потерь при дефолте по кредитным требованиям, по которым наступил дефолт, для сегментов кредитных требований, к которым применяется ППВР.
14.2.1. В графе 1 подраздела 7.2 отражается код сегмента УПД.
14.2.2. В графе 2 подраздела 7.2 отражается месяц, в котором наступил дефолт, в формате "мм.гггг", где "мм" - месяц, "гггг" - год, начиная с наиболее раннего месяца, использованного при разработке моделей УПД, до месяца, предшествующего предыдущей отчетной дате. Информация отражается отдельными строками в отношении каждого месяца события дефолта.
14.2.3. В графе 3 подраздела 7.2 отражается количество кредитных требований, по которым наступил дефолт в течение месяца, указанного в графе 2 подраздела 7.2.
14.2.4. В графе 4 подраздела 7.2 отражается ВКТД, по которой наступил дефолт в течение месяца, указанного в графе 2 подраздела 7.2.
14.2.5. В графах 5 - 64 подраздела 7.2 отражается взвешенное по ВКТД среднее арифметическое значение фактического уровня потерь при дефолте (в процентах с округлением до шести знаков после запятой по правилам математического округления) по состоянию на первое число каждого месяца после месяца, указанного в графе 2 подраздела 7.2, но не более 60 месяцев. В случае прекращения дефолта, а также выбытия кредитного требования, его фактический уровень потерь при дефолте продолжает учитываться на первое число каждого месяца после прекращения дефолта (выбытия кредитного требования). Графы, для которых первое число месяца после месяца, указанного в графе 2 подраздела 7.2, наступает после предыдущей отчетной даты, не заполняются. В графах 5 - 64 подраздела 7.2 учитываются кредитные требования, по которым с даты наступления дефолта прошло не менее одного месяца.
15. В разделе "Справочно" отражаются наименования рейтинговых агентств, рейтинговые шкалы которых используются при оценке ВД заемщика, рассчитываемой методом, соответствующим коду "3", указанному в графе 28 раздела 1.
Список изменяющих документов
(в ред. Указания Банка России от 10.07.2024 N 6800-У)
(см. текст в предыдущей редакции)
- Гражданский кодекс (ГК РФ)
- Жилищный кодекс (ЖК РФ)
- Налоговый кодекс (НК РФ)
- Трудовой кодекс (ТК РФ)
- Уголовный кодекс (УК РФ)
- Бюджетный кодекс (БК РФ)
- Арбитражный процессуальный кодекс
- Конституция РФ
- Земельный кодекс (ЗК РФ)
- Лесной кодекс (ЛК РФ)
- Семейный кодекс (СК РФ)
- Уголовно-исполнительный кодекс
- Уголовно-процессуальный кодекс
- Производственный календарь на 2025 год
- МРОТ 2025
- ФЗ «О банкротстве»
- О защите прав потребителей (ЗОЗПП)
- Об исполнительном производстве
- О персональных данных
- О налогах на имущество физических лиц
- О средствах массовой информации
- Производственный календарь на 2026 год
- Федеральный закон "О полиции" N 3-ФЗ
- Расходы организации ПБУ 10/99
- Минимальный размер оплаты труда (МРОТ)
- Календарь бухгалтера на 2025 год
- Частичная мобилизация: обзор новостей
- Постановление Правительства РФ N 1875

