к Правилам применения обязательных
требований в отношении отдельных
колесных транспортных средств
и проведения оценки их соответствия
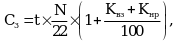
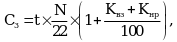
1. Стоимость рассмотрения и анализа доказательных материалов, а также оформления заключения об оценке типа транспортного средства, и (или) заключения об оценке типа шасси, и (или) заключения об оценке единичного транспортного средства (C3) рассчитывается по следующей формуле:
t - трудоемкость выполнения работ;
N - средняя заработная плата работников науки (научных сотрудников) в организациях государственной и муниципальной форм собственности в г. Москве за год, предшествующий году проведения анализа документов, в соответствии с данными Федеральной службы государственной статистики;
Kвз - отношение страховых взносов, установленных законодательством Российской Федерации о налогах и сборах, к средней заработной плате работников науки (научных сотрудников) в организациях государственной и муниципальной форм собственности в г. Москве за год, предшествующий году проведения анализа документов, в соответствии с данными Федеральной службы государственной статистики;
Kнр - отношение накладных расходов при проведении анализа доказательных материалов и оформления заключения к средней заработной плате работников науки (научных сотрудников) в организациях государственной и муниципальной форм собственности в г. Москве за год, предшествующий году проведения анализа документов, в соответствии с данными Федеральной службы государственной статистики, но не более 100 процентов фонда оплаты труда.
2. Трудоемкость выполнения работ включает установленные в экспертной организации затраты времени на аналитическую работу, а также затраты времени на составление и оформление заключения об оценке типа транспортного средства, и (или) заключения об оценке типа шасси, и (или) заключения об оценке единичного транспортного средства и не должна превышать 11 человеко-дней (при оценке типа транспортного средства (шасси) и 0,5 человеко-дня (при оценке единичного транспортного средства).
3. Дополнительные расходы экспертной организации при расчете стоимости работ по рассмотрению и анализу доказательных материалов, а также по оформлению заключения об оценке типа транспортного средства, и (или) заключения об оценке типа шасси, и (или) заключения об оценке единичного транспортного средства не учитываются.
4. Стоимость работ по рассмотрению и анализу доказательных материалов, а также оформлению заключения об оценке типа транспортного средства, и (или) заключения об оценке типа шасси, и (или) заключения об оценке единичного транспортного средства предусматривается договором между экспертной организацией и крупнейшим изготовителем, но не может быть выше стоимости, определяемой в соответствии с настоящей методикой.
- Гражданский кодекс (ГК РФ)
- Жилищный кодекс (ЖК РФ)
- Налоговый кодекс (НК РФ)
- Трудовой кодекс (ТК РФ)
- Уголовный кодекс (УК РФ)
- Бюджетный кодекс (БК РФ)
- Арбитражный процессуальный кодекс
- Конституция РФ
- Земельный кодекс (ЗК РФ)
- Лесной кодекс (ЛК РФ)
- Семейный кодекс (СК РФ)
- Уголовно-исполнительный кодекс
- Уголовно-процессуальный кодекс
- Производственный календарь на 2025 год
- МРОТ 2026
- ФЗ «О банкротстве»
- О защите прав потребителей (ЗОЗПП)
- Об исполнительном производстве
- О персональных данных
- О налогах на имущество физических лиц
- О средствах массовой информации
- Производственный календарь на 2026 год
- Федеральный закон "О полиции" N 3-ФЗ
- Расходы организации ПБУ 10/99
- Минимальный размер оплаты труда (МРОТ)
- Календарь бухгалтера на 2026 год
- Частичная мобилизация: обзор новостей
- Постановление Правительства РФ N 1875
