IX. Описание файла обмена первичного учетного документа о факте хозяйственной жизни (информации грузоотправителя)
IX. ОПИСАНИЕ ФАЙЛА ОБМЕНА ПЕРВИЧНОГО УЧЕТНОГО ДОКУМЕНТА
О ФАКТЕ ХОЗЯЙСТВЕННОЙ ЖИЗНИ (ИНФОРМАЦИИ ГРУЗООТПРАВИТЕЛЯ)
18. Имя файла обмена должно иметь следующий вид:
R_T - префикс, принимающий значение: ON_TRNPUDGO;
A - идентификатор перевозчика - получателя файла обмена первичного учетного документа о факте хозяйственной жизни (информации грузоотправителя), состоящий не более чем из 46 символов, где:
первые три символа являются идентификатором оператора ЭДО перевозчика, который присваивается Федеральной налоговой службой при включении оператора ЭДО в сеть доверенных операторов ЭДО ФНС России;
остальные символы - не более 43 символов - являются глобально-уникальным идентификатором (GUID) перевозчика - участника документооборота электронной транспортной накладной, присваиваемым оператором ЭДО перевозчика;
O - идентификатор грузоотправителя - отправителя файла обмена первичного учетного документа о факте хозяйственной жизни (информации грузоотправителя), состоящий не более чем из 46 символов, где:
первые три символа являются идентификатором оператора ЭДО грузоотправителя, который присваивается Федеральной налоговой службой при включении оператора ЭДО в сеть доверенных операторов ЭДО ФНС России;
остальные символы - не более 43 символов - являются глобально-уникальным идентификатором (GUID) грузоотправителя - участника документооборота электронной транспортной накладной, присваиваемым оператором ЭДО грузоотправителя;
GGGG - год формирования передаваемого файла обмена, MM - месяц, DD - день;
N - 36 символьный глобально-уникальный идентификатор GUID (Globally Unique IDentifier).
Расширение имени файла обмена - xml. Расширение имени файла обмена может указываться строчными или прописными буквами.
Параметры первой строки файла обмена
Первая строка XML файла должна иметь следующий вид:
<?xml version="1.0"encoding="windows-1251"?>
Имя файла, содержащего XML схему файла обмена, должно иметь следующий вид:
ON_TRNPUDGO_1_973_08_05_01_xx, где xx - номер версии схемы.
Выпуск новой версии (новых версий) схемы возможен при условии ее непротиворечия требованиям данного документа (например, в части уточнения текста наименования отдельных элементов, дополнительной информации, увеличения количества знаков в формате элемента).
XML схема файла обмена в электронной форме приводится отдельным файлом и размещается на официальном сайте Федеральной налоговой службы.
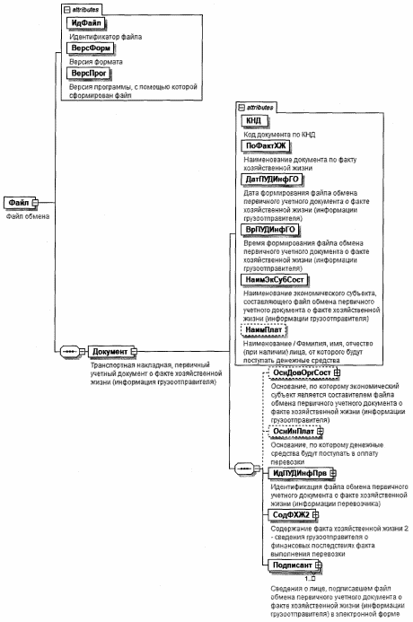
19. Логическая модель файла обмена представлена в виде диаграммы структуры файла обмена на рисунке 8 настоящего формата. Элементами логической модели файла обмена являются элементы и атрибуты XML файла. Перечень структурных элементов логической модели файла обмена и сведения о них приведены в таблицах 19.1 - 19.16 настоящего формата.
Для каждого структурного элемента логической модели файла обмена приводятся следующие сведения:
наименование элемента. Приводится полное наименование элемента. В строке таблицы могут быть описаны несколько элементов, наименования которых разделены символом "|". Такая форма записи применяется при наличии в файле обмена только одного элемента из описанных в этой строке;
сокращенное наименование (код) элемента. Приводится сокращенное наименование элемента. Синтаксис сокращенного наименования должен удовлетворять спецификации XML;
признак типа элемента. Может принимать следующие значения: "С" - сложный элемент логической модели (содержит вложенные элементы), "П" - простой элемент логической модели, реализованный в виде элемента XML файла, "А" - простой элемент логической модели, реализованный в виде атрибута элемента XML файла. Простой элемент логической модели не содержит вложенные элементы;
формат элемента. Формат элемента представляется следующими условными обозначениями: T - символьная строка; N - числовое значение (целое или дробное).
Формат символьной строки указывается в виде T(n-k) или T(=k), где: n - минимальное количество знаков, k - максимальное количество знаков, символ "-" - разделитель, символ "=" означает фиксированное количество знаков в строке. В случае, если минимальное количество знаков равно 0, формат имеет вид T(0-k). В случае, если максимальное количество знаков не ограничено, формат имеет вид T(n-).
Формат числового значения указывается в виде N(m.k), где: m - максимальное количество знаков в числе, включая знак (для отрицательного числа), целую и дробную часть числа без разделяющей десятичной точки, k - максимальное число знаков дробной части числа. Если число знаков дробной части числа равно 0 (то есть число целое), то формат числового значения имеет вид N(m).
Для простых элементов, являющихся базовыми в XML, например, элемент с типом "date", поле "Формат элемента" не заполняется. Для таких элементов в поле "Дополнительная информация" указывается тип базового элемента;
признак обязательности элемента определяет обязательность наличия элемента (совокупности наименования элемента и его значения) в файле обмена. Признак обязательности элемента может принимать следующие значения: "О" - наличие элемента в файле обмена обязательно; "Н" - наличие элемента в файле обмена необязательно, то есть элемент может отсутствовать. Если элемент принимает ограниченный перечень значений (по классификатору, кодовому словарю), то признак обязательности элемента дополняется символом "К". Например, "ОК". В случае, если количество реализаций элемента может быть более одной, то признак обязательности элемента дополняется символом "М". Например, "НМ" или "ОКМ".
К вышеперечисленным признакам обязательности элемента может добавляться значение "У" в случае описания в XML схеме условий, предъявляемых к элементу в файле обмена, описанных в графе "Дополнительная информация". Например, "НУ" или "ОКУ";
дополнительная информация содержит, при необходимости, требования к элементу файла обмена, не указанные ранее. Для сложных элементов указывается ссылка на таблицу, в которой описывается состав данного элемента. Для элементов, принимающих ограниченный перечень значений из классификатора (кодового словаря), указывается соответствующее наименование классификатора (кодового словаря) или приводится перечень возможных значений. Для классификатора (кодового словаря) может указываться ссылка на его местонахождение. Для элементов, использующих пользовательский тип данных, указывается наименование типового элемента.
Рисунок 8. Диаграмма структуры файла обмена
|
Содержит (повторяет) имя сформированного файла (без расширения) |
|||||
|
Транспортная накладная, первичный учетный документ о факте хозяйственной жизни (информация грузоотправителя) |
Состав элемента представлен в таблице 19.2 |
Транспортная накладная, первичный учетный документ о факте
хозяйственной жизни (информация грузоотправителя) (Документ)
|
Принимает значение: 1110346 |
|||||
|
"Транспортная накладная, информация грузоотправителя об изменении финансового состояния перевозчика и грузоотправителя в результате выполнения грузовой перевозки" |
|||||
|
Дата формирования файла обмена первичного учетного документа о факте хозяйственной жизни (информации грузоотправителя) |
Дата в формате ДД.ММ.ГГГГ |
||||
|
Время формирования файла обмена первичного учетного документа о факте хозяйственной жизни (информации грузоотправителя) |
Время в формате ЧЧ:ММ:СС |
||||
|
Наименование экономического субъекта, составляющего файл обмена первичного учетного документа о факте хозяйственной жизни (информации грузоотправителя) |
|||||
|
Наименование/Фамилия, имя, отчество (при наличии) лица, от которого будут поступать денежные средства |
Заполняется в случае, если денежные средства в счет расчетов по оплате выполненной перевозки будут поступать от лица, отличного от грузоотправителя (или от лица, отличного от указанного грузоотправителем в качестве лица, осуществляющего расчеты по договору перевозки, то есть при наличии <ОснРасчИным> в файле обмена информации грузоотправителя |
||||
|
Основание, по которому экономический субъект является составителем файла обмена первичного учетного документа о факте хозяйственной жизни (информации грузоотправителя) |
Состав элемента представлен в таблице 19.7. Элемент обязателен, если составитель первичного учетного документа о факте хозяйственной жизни (информации грузоотправителя) не является грузоотправителем |
||||
|
Основание, по которому денежные средства будут поступать в оплату перевозки |
Состав элемента представлен в таблице 19.7. Элемент обязателен при наличии <НаимПлат> |
||||
|
Идентификация файла обмена первичного учетного документа о факте хозяйственной жизни (информации перевозчика) |
Состав элемента представлен в таблице 19.3 |
||||
|
Содержание факта хозяйственной жизни 2 - сведения грузоотправителя о финансовых последствиях факта выполнения перевозки |
Состав элемента представлен в таблице 19.4 |
||||
|
Сведения о лице, подписавшем файл обмена первичного учетного документа о факте хозяйственной жизни (информации грузоотправителя) в электронной форме |
Состав элемента представлен в таблице 19.5 |
Идентификация файла обмена первичного учетного документа
о факте хозяйственной жизни (информации перевозчика)
(ИдПУДИнфПрв)
Содержание факта хозяйственной жизни 2 - сведения
грузоотправителя о финансовых последствиях факта выполнения
перевозки (СодФХЖ2)
|
До начала функционирования ГИС ЭПД принимает значение "Без номера" |
|||||
|
Указывается "Обязательства по доставке груза в пункт назначения и выдаче его на получение груза лицу исполнены перевозчиком с учетом обстоятельств, приведенных в транспортной накладной" |
|||||
|
Дополнительные сведения о грузоотправителе - участнике факта хозяйственной жизни |
Типовой элемент <ДопСвУчФХЖТип>. Состав элемента представлен в таблице 19.11 |
||||
|
Состав элемента представлен в таблице 19.14 |
Сведения о лице, подписавшем файл обмена первичного учетного
документа о факте хозяйственной жизни (информации
грузоотправителя) в электронной форме (Подписант)
|
1 - лицо, действующее от имени грузоотправителя без доверенности | 2 - лицо, действующее от имени грузоотправителя на основании электронной доверенности | 3 - лицо, действующее от имени грузоотправителя на основании бумажной доверенности Может принимать значение "3", если иное не предусмотрено законодательством Российской Федерации в области электронной подписи |
|||||
|
Идентифицирующие сведения об информационной системе, в которой хранится доверенность, используемая для подтверждения полномочий в электронной форме |
Унифицированный указатель (URL). Обязателен в случае, если представление доверенности осуществляется способом, отличным от включения в каждый пакет электронных документов, подписываемых представителем |
||||
|
Состав элемента представлен в таблице 19.16 |
|||||
|
Сведения о доверенности, используемой для подтверждения полномочий в электронной форме |
Состав элемента представлен в таблице 19.6. Элемент обязателен при <СтатПодп>=2 и отсутствия <ИдСистХран> |
Сведения о доверенности, используемой для подтверждения
полномочий в электронной форме (СвДовер)
Реквизиты документа (РеквДокТип)
|
Элемент обязателен при отсутствии <ИдДок>. При отсутствии указывается: "Без номера" |
|||||
|
Дата в формате ДД.ММ.ГГГГ. Элемент обязателен при отсутствии <ИдДок> |
|||||
|
Идентификатор файла документа (в том числе регистрационный номер, если документ/сведения о таком документе содержатся в государственных информационных системах) |
Элемент обязателен при отсутствии <НаимДок>, <НомерДок>, <ДатаДок> |
||||
|
Типовой элемент <ИдРекСостТип>. Состав элемента представлен в таблице 19.8. Заполняется в отношении каждого из участников события (сделки), оформленного документом с указанными в <НаимДок>, <НомерДок> и <ДатаДок> наименованием, порядковым номером и датой (или с указанным в <ИдДок> идентификатором) |
Идентифицирующие реквизиты сторон, составивших документ
(ИдРекСостТип)
|
ИНН физического лица, в том числе индивидуального предпринимателя | |
|||||
|
Данные иностранного лица, не состоящего на учете в налоговых органах в качестве налогоплательщика | |
Типовой элемент <СвИнНеУчТрНТип>. Состав элемента представлен в таблице 19.9 |
||||
|
Краткое наименование органа исполнительной власти (специализированной уполномоченной организации), выдавшего документ |
Сведения об иностранном лице, не состоящем на учете
в налоговых органах в качестве налогоплательщика
(СвИнНеУчТрН-Тип)
|
Принимает значение: ЮЛ | ФЛ, где: ЮЛ - юридическое лицо; ФЛ - физическое лицо |
|||||
|
Наименование юридического лица полное/Фамилия, имя, отчество (при наличии) физического лица |
|||||
|
Элемент обязателен при <ИдСтат>=ЮЛ и отсутствии <Наим> и <ИныеСвед> |
|||||
|
Элемент обязателен при <ИдСтат>=ЮЛ и отсутствии <Идентиф> и <Наим> |
|||||
|
Данные документа, удостоверяющего личность иностранного физического лица |
Типовой элемент <УдЛичнИнФЛТип>. Состав элемента представлен в таблице 19.10. Элемент обязателен при <ИдСтат>=ФЛ |
Данные документа, удостоверяющего личность иностранного
физического лица (УдЛичнИнФЛТип)
|
Дата в формате ДД.ММ.ГГГГ |
Дополнительные сведения об участнике факта хозяйственной
жизни (ДопСвУчФХЖТип)
|
Код в общероссийском классификаторе предприятий и организаций |
|||||
|
Дополнительная информация, позволяющая в автоматизированном режиме определять необходимый для конкретного случая порядок использования информации файла обмена у перевозчика |
|||||
|
Состав элемента представлен в таблице 19.12 |
Банковские реквизиты (БанкРекв)
|
Состав элемента представлен в таблице 19.13 |
|
Принимает значение в соответствии со Справочником банковских идентификационных кодов в платежной системе Банка России (Справочник БИК России) |
|||||
Информационное поле (ИнфПолТип)
|
Указывается идентификатор файла, связанного со сведениями данного электронного файла обмена (GUID) |
|||||
|
Типовой элемент <ТекстИнфТип>. Состав элемента представлен в таблице 19.15 |
Текстовая информация (ТекстИнфТип)
- Гражданский кодекс (ГК РФ)
- Жилищный кодекс (ЖК РФ)
- Налоговый кодекс (НК РФ)
- Трудовой кодекс (ТК РФ)
- Уголовный кодекс (УК РФ)
- Бюджетный кодекс (БК РФ)
- Арбитражный процессуальный кодекс
- Конституция РФ
- Земельный кодекс (ЗК РФ)
- Лесной кодекс (ЛК РФ)
- Семейный кодекс (СК РФ)
- Уголовно-исполнительный кодекс
- Уголовно-процессуальный кодекс
- Производственный календарь на 2025 год
- МРОТ 2026
- ФЗ «О банкротстве»
- О защите прав потребителей (ЗОЗПП)
- Об исполнительном производстве
- О персональных данных
- О налогах на имущество физических лиц
- О средствах массовой информации
- Производственный календарь на 2026 год
- Федеральный закон "О полиции" N 3-ФЗ
- Расходы организации ПБУ 10/99
- Минимальный размер оплаты труда (МРОТ)
- Календарь бухгалтера на 2026 год
- Частичная мобилизация: обзор новостей
- Постановление Правительства РФ N 1875
