Определение безопасных расстояний по воздействию ударной воздушной волны при производстве взрывных работ в подземных горных выработках
Определение безопасных расстояний по воздействию
ударной воздушной волны при производстве взрывных работ
в подземных горных выработках
816. Для определения безопасных расстояний по воздействию ударной воздушной волны (далее - УВВ), исключающих травмирование людей, повреждение сооружений и технологического оборудования при производстве взрывных работ в подземных горных выработках, определяется значение избыточного давления на фронте УВВ.
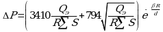
817. Избыточное давление на фронте УВВ следует рассчитывать по формуле:
(в ред. Приказа Ростехнадзора от 25.05.2022 N 171)
(см. текст в предыдущей редакции)
(в ред. Приказа Ростехнадзора от 25.05.2022 N 171)
(см. текст в предыдущей редакции)
- избыточное давление на фронте УВВ, кПа;
Qэ - масса одновременно (мгновенно) взорванного эквивалентного заряда, кг. В зависимости от метода производства взрывных работ (взрывы наружных, шпуровых или скважинных зарядов) массу эквивалентного заряда следует рассчитывать в соответствии с указаниями пункта 804 настоящих Правил;
R - расстояние, пройденное УВВ от заряда до расчетной точки, м;
- суммарная площадь поперечного сечения выработок, примыкающих к заряду взрывчатых веществ, для которых производится расчет давления в УВВ, м2;
e - основание натурального логарифма, e = 2,71;
d - приведенный диаметр выработки, м:
- коэффициент, учитывающий шероховатость поверхности выработок. Значения коэффициентов шероховатости для различных видов крепи приведены в приложении N 29 к настоящим Правилам.
Если заряд взрывается не в тупике выработки, то в формулу (22) следует подставлять суммарное сечение выработок, по которым распространяется УВВ от взрыва.
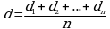
Если выработка или несколько выработок, по которым распространяется УВВ, переменного сечения, их приведенный диаметр следует определять по формуле:
d1, d2, dn - приведенные диаметры соответствующих выработок, м;
При взрывании пород IX группы и выше по строительным нормам (коэффициент крепости f = 12 - 20) величина давления в УВВ, определенная по формуле (22), должна быть увеличена в 1,5 раза.
Полученное значение избыточного давления на фронте УВВ не должно превышать предельно допустимого для людей и охраняемых объектов.
Предельно допустимое избыточное давление на фронте УВВ для людей следует принимать 0,1 кг/см2 (10 кПа).
Перечень предельно допустимых значений избыточного давления на фронте УВВ для некоторых объектов приведен в приложении N 28 к настоящим Правилам.
Если давление в расчетном месте окажется больше предельно допустимого, посты охраны опасной зоны необходимо перенести дальше и произвести повторный расчет.
818. Если на пути движения УВВ по выработкам встречаются местные сопротивления, то определенное по формуле (22) значение величины избыточного давления необходимо разделить на коэффициенты ослабления (усиления), соответствующие каждому местному сопротивлению. Значения коэффициентов ослабления (усиления) для местных сопротивлений приведены в приложении N 30 к настоящим Правилам.
Коэффициенты ослабления давления УВВ в местных сопротивлениях справедливы как для сквозных, так и тупиковых выработок (отводов), если длина последних более четверти пути, пройденного волной. Если же длина тупиковой выработки меньше четверти пройденного волной пути, то такое местное сопротивление в расчет не принимается. Плавные закругления выработок также не учитываются.
819. Расчет давления на фронте УВВ производят отдельно по всем сквозным выработкам, которые сообщаются с зарядами взрывчатых веществ (в зарядной машине, заряжаемых скважине, камере, шпуре).
820. При расчете давления на фронте УВВ в местах установки постов охраны запретной зоны (до ввода опасной зоны) необходимо принимать следующие максимально возможные количества взрывчатых веществ:
при механизированном и пневмозаряжании - максимальную массу взрывчатых веществ, которое размещается в бункере зарядного оборудования, а также максимальную массу одного скважинного, шпурового или камерного заряда;
при заряжании шпуровых, скважинных, камерных зарядов иным способом - максимальную массу взрывчатых веществ в одном шпуре, скважине, камере.
821. При определении границ опасных зон действия УВВ на людей принимается вся масса взрываемого взрывчатых веществ, вне зависимости от используемых замедлений между зарядами.
822. При расчете давления на фронте УВВ для оценки сохранности оборудования, подземных сооружений, коммуникаций и определения параметров защитных устройств для локализации взрыва принимается наибольшая масса одновременно взрываемого взрывчатого вещества в серии замедлений, если интервал замедления между взрывом соседних групп зарядов составляет 50 мс и более. При меньших интервалах замедления принимается суммарная масса взрываемого взрывчатого вещества.
- Гражданский кодекс (ГК РФ)
- Жилищный кодекс (ЖК РФ)
- Налоговый кодекс (НК РФ)
- Трудовой кодекс (ТК РФ)
- Уголовный кодекс (УК РФ)
- Бюджетный кодекс (БК РФ)
- Арбитражный процессуальный кодекс
- Конституция РФ
- Земельный кодекс (ЗК РФ)
- Лесной кодекс (ЛК РФ)
- Семейный кодекс (СК РФ)
- Уголовно-исполнительный кодекс
- Уголовно-процессуальный кодекс
- Производственный календарь на 2025 год
- МРОТ 2026
- ФЗ «О банкротстве»
- О защите прав потребителей (ЗОЗПП)
- Об исполнительном производстве
- О персональных данных
- О налогах на имущество физических лиц
- О средствах массовой информации
- Производственный календарь на 2026 год
- Федеральный закон "О полиции" N 3-ФЗ
- Расходы организации ПБУ 10/99
- Минимальный размер оплаты труда (МРОТ)
- Календарь бухгалтера на 2026 год
- Частичная мобилизация: обзор новостей
- Постановление Правительства РФ N 1875
(22)
(23)
(24)