2. Методика, учитывающая тип взрывного превращения (детонация/дефлаграция) при воспламенении ТВС
2.1. В данной методике учитывается дрейф и тип взрывного превращения (детонация/дефлаграция) при воспламенении облаков ТВС.
Для расчетов зон разрушения при взрывах ТВС следует использовать следующие соотношения.
Масса горючего вещества, способного участвовать во взрыве mr (кг), определяется путем интегрирования концентрации выброшенного при аварии горючего вещества по пространству, ограниченному поверхностями
и
, по формуле:
где: x, y, z - пространственные переменные;
и
- поверхности в пространстве достижения соответственно верхнего и нижнего концентрационных пределов; c(x, y, z, t0) - распределение концентрации в момент времени t0, кг/м3; t0 - момент времени воспламенения, с.
Если в результате расчета по формуле (6) в первичном облаке во взрывоопасных пределах окажется масса больше 10% всей массы топлива, находящейся в первичном облаке, то масса топлива во взрывоопасных пределах первичного облака принимается равной 10% всей массы топлива, находящейся в первичном облаке.
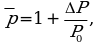
Рассчитываются основные параметры воздушных ударных волн (избыточное давление
и импульс волны давления I) в зависимости от расстояния до центра облака (в том числе с учетом возможного дрейфа облака ТВС).
Для вычисления параметров воздушной ударной волны на заданном расстоянии R от центра облака при детонации облака ТВС предварительно рассчитывается соответствующее безразмерное расстояние по соотношению:
где: E - эффективный энергозапас ТВС, Дж (E = mrq, где q - теплота сгорания топлива в облаке, mr - масса сгораемого топлива); P0 - атмосферное давление, Па.
При расчете параметров взрыва облака, лежащего на поверхности земли, величина эффективного энергозапаса удваивается.
Далее рассчитываются безразмерное давление Px и безразмерный импульс фазы сжатия Ix.
2.1.1. В случае детонации облака газовой ТВС расчет производится по следующим формулам:
Зависимости (8) и (9) справедливы для значений Rx, больших величины Rx = 0,2 и меньших Rx = 50. В случае Rx < 0,2 величина Px полагается равной 18,6, а величина Ix полагается равной 0,53.
В случае детонации облака гетерогенной ТВС расчет производится по следующим формулам:
Зависимости (10) и (11) справедливы для значений Rx больше величины 0,25. В случае если Rx < 0,25, величина Px полагается равной 18, а величина Ix = 0,16.
2.1.2. В случае дефлаграционного взрывного превращения облака ТВС к параметрам, влияющим на величины избыточного давления и импульса положительной фазы, добавляются скорость видимого фронта пламени Vr и степень расширения продуктов сгорания
. Для газовых смесей принимается
= 7, для гетерогенных -
= 4. Для расчета параметров ударной волны при дефлаграции гетерогенных облаков величина эффективного энергозапаса смеси домножается на коэффициент
. Величина Vr определяется исходя из взрывоопасных свойств горючего вещества и загроможденности окружающего пространства, влияющего на турбулизацию фронта пламени.
Безразмерные давление Px1 и импульс фазы сжатия Ix1 определяются по соотношениям:
где C0 - скорость звука в воздухе, м/с.
Последние два выражения справедливы для значений Rx больше величины 0,34, в противном случае Rx в соотношениях (12) и (13) полагается равным 0,34.
Далее вычисляются величины Px2 и Ix2, которые соответствуют режиму детонации и для случая детонации газовой смеси рассчитываются по соотношениям (8), (9), а для детонации гетерогенной смеси - по соотношениям (10), (11) (в формулах (8) - (11) величинам Px2 и Ix2 соответствуют величины Px и Ix). Окончательные значения Px и Ix выбираются из условий:
Px = min(Px1, Px2), Ix = min(Ix1, Ix2). (14)
После определения безразмерных величин давления и импульса фазы сжатия вычисляются соответствующие им размерные величины:
2.2. Для расчета условной вероятности разрушения объектов и поражения людей ударными волнами используется пробит-функция, значение которой определяется следующим образом:
а) вероятность повреждений стен промышленных зданий, при которых возможно восстановление зданий без их сноса, может оцениваться по соотношению:
где функция V1 определяется по следующей формуле:
где:
- избыточное давление, Па;
б) вероятность разрушений промышленных зданий, при которых здания подлежат сносу, оценивается по соотношениям:
При взрывах ТВС внутри резервуаров, разрушении оборудования, содержащего газ под давлением, в общем случае следует учитывать опасность разлета осколков и последующее развитие аварии, сопровождаемое "эффектом домино", с распространением аварии на соседнее оборудование, если оно содержит опасные вещества;
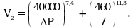
в) вероятность длительной потери управляемости у людей (состояние нокдауна), попавших в зону действия ударной волны при взрыве облака ТВС, может быть оценена по величине пробит-функции:
где mт - масса тела живого организма, кг;
г) вероятность разрыва барабанных перепонок у людей от уровня перепада давления в воздушной волне определяется по формуле:
Вероятность отброса людей волной давления оценивается по величине пробит-функции:
При использовании пробит-функций в качестве зон 100-процентного поражения принимаются зоны поражения, где значение пробит-функции достигает величины, соответствующей вероятности 90 процентов. В качестве зон, безопасных с точки зрения воздействия поражающих факторов, принимаются зоны поражения, где значение пробит-функции достигает величины, соответствующей вероятности 1 процента.
2.3. Для расчета условной вероятности гибели людей, находящихся в зданиях, используются данные о гибели людей при разрушении зданий при взрывах и землетрясениях. Исходя из типа зданий и избыточного давления ударной волны оценивается степень разрушения производственных и административных зданий. Данные приведены в таблице N 3. Условная вероятность травмирования и гибели людей определяется по таблице N 4.
Данные уточняются при их обосновании с указанием источника информации.
- Гражданский кодекс (ГК РФ)
- Жилищный кодекс (ЖК РФ)
- Налоговый кодекс (НК РФ)
- Трудовой кодекс (ТК РФ)
- Уголовный кодекс (УК РФ)
- Бюджетный кодекс (БК РФ)
- Арбитражный процессуальный кодекс
- Конституция РФ
- Земельный кодекс (ЗК РФ)
- Лесной кодекс (ЛК РФ)
- Семейный кодекс (СК РФ)
- Уголовно-исполнительный кодекс
- Уголовно-процессуальный кодекс
- Производственный календарь на 2025 год
- МРОТ 2026
- ФЗ «О банкротстве»
- О защите прав потребителей (ЗОЗПП)
- Об исполнительном производстве
- О персональных данных
- О налогах на имущество физических лиц
- О средствах массовой информации
- Производственный календарь на 2026 год
- Федеральный закон "О полиции" N 3-ФЗ
- Расходы организации ПБУ 10/99
- Минимальный размер оплаты труда (МРОТ)
- Календарь бухгалтера на 2026 год
- Частичная мобилизация: обзор новостей
- Постановление Правительства РФ N 1875


















