При этом суммарная площадь проходных сечений запорно-пусковых устройств должна быть больше площади проходного сечения магистрального трубопровода.
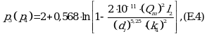
Е.4 Среднее давление в питающем (магистральном) трубопроводе в точке ввода его в защищаемое помещение рассчитывается из уравнения
где l2 - эквивалентная длина трубопроводов от изотермического резервуара до точки, в которой определяется давление, м. Эквивалентная длина l2 определяется из уравнения
где
- сумма коэффициентов сопротивления фасонных частей трубопроводов.
Е.5 Среднее давление составляет
где p3 - давление в точке ввода питающего (магистрального) трубопровода в защищаемое помещение, МПа;
p4 - давление в конце питающего (магистрального) трубопровода, МПа.
Давление на насадках (Pн) должно составлять не менее 1,0 МПа.
Е.6 Средний расход через насадок
, кг с-1, определяется по формуле
где
- коэффициент расхода через насадок;
A3 - площадь выпускных отверстий насадка, м2;
k5 - коэффициент, определяемый по формуле
Е.7 Количество насадков
определяется по формуле
Е.8 Внутренний диаметр распределительного трубопровода
, м, рассчитывается из условия
где d - эквивалентный диаметр выпускного отверстия насадка из расчета площади A3, м.
- Гражданский кодекс (ГК РФ)
- Жилищный кодекс (ЖК РФ)
- Налоговый кодекс (НК РФ)
- Трудовой кодекс (ТК РФ)
- Уголовный кодекс (УК РФ)
- Бюджетный кодекс (БК РФ)
- Арбитражный процессуальный кодекс
- Конституция РФ
- Земельный кодекс (ЗК РФ)
- Лесной кодекс (ЛК РФ)
- Семейный кодекс (СК РФ)
- Уголовно-исполнительный кодекс
- Уголовно-процессуальный кодекс
- Производственный календарь на 2025 год
- МРОТ 2026
- ФЗ «О банкротстве»
- О защите прав потребителей (ЗОЗПП)
- Об исполнительном производстве
- О персональных данных
- О налогах на имущество физических лиц
- О средствах массовой информации
- Производственный календарь на 2026 год
- Федеральный закон "О полиции" N 3-ФЗ
- Расходы организации ПБУ 10/99
- Минимальный размер оплаты труда (МРОТ)
- Календарь бухгалтера на 2026 год
- Частичная мобилизация: обзор новостей
- Постановление Правительства РФ N 1875






