Внимание! Изменения, внесенные Решением Коллегии ЕЭК от 25.06.2024 N 75, в части дополнения общими фармакопейными статьями, вводятся в действие с 1 января 2025 года.

3.2.5. Трехдозовый латинский квадрат (на примере биологической активности антибиотиков методом диффузии в агар в чашках Петри)

Биологическую активность антибиотика определяли по зонам угнетения роста микроорганизмов. В каждую чашку Петри внесли по 3 раствора стандартного образца и 3 раствора испытуемого образца. Соотношение концентраций 1:1,5. В качестве ответа принимали диаметр зоны угнетения роста микроорганизмов в мм. Последовательность внесения растворов в лунки или цилиндры приведена в таблице 3.2.5.-15.

Таблица 3.2.5.-15. - Порядок внесения растворов стандартного образца и испытуемого препарата антибиотика в чашки Петри (схема трехдозового латинского квадрата)

N чашки

Концентрации растворов

1.

s1

s2

s3

u1

u2

u3

2.

u3

s1

s2

s3

u1

u2

3.

u2

u3

s1

s2

s3

u1

4.

u1

u2

u3

s1

s2

s3

5.

s3

u1

u2

u3

s1

s2

6.

s2

s3

u1

u2

u3

s1

Для того чтобы проверить статистическую значимость источников вариации, пригодность результатов и вычислить дисперсию опыта, проводят дисперсионный анализ полученных данных. При этом рассчитывают значения дисперсий для 10 источников (сводная таблица 3.2.5.-18).

Для этого на основании данных, представленных в таблицах 3.2.5.-16 и 3.2.5.-17, а также поправочного коэффициента, вычисляют суммы квадратов источников дисперсии.

Таблица 3.2.5.-16. - Диаметр зоны угнетения роста микроорганизмов (трехдозовый латинский квадрат, определение биологической активности антибиотиков методом диффузии в агар в чашках Петри)

Строка

Столбцы

Сумма строк (R)

R2

1.

16,4

17,6

18,2

16,2

17,2

18,4

R1 = 104,0

10816,00

2.

17,8

16,4

17,4

18,2

16,0

17,2

R2 = 103,0

10609,00

3.

17,0

18,4

16,6

17,2

18,8

15,4

R3 = 103,4

10691,56

4.

16,4

16,6

18,0

16,0

17,6

18,0

R4 = 102,6

10526,76

5.

18,2

16,0

17,4

18,6

16,2

17,4

R5 = 103,8

10774,44

6.

17,4

18,4

16,2

17,4

18,0

16,0

R6= 103,4

10691,56

Сумма столбцов (C)

103,2

103,4

103,8

103,6

103,8

102,4

Рисунок 1512

C2

10650,24

10691,56

10774,44

10732,96

10774,44

10485,76

Рисунок 1513

Таблица 3.2.5.-17. - Суммы ответов и контрасты (трехдозовый латинский квадрат, определение биологической активности антибиотиков методом диффузии в агар в чашках Петри)

Стандартный образец Рисунок 1514

Испытуемый образец Рисунок 1515

Сумма

Малая доза

S1 = 97,6

U1 = 96,2

Средняя доза

S2 = 104,6

U2 = 102,8

Большая доза

S3 = 109,8

U3 = 109,2

Сумма

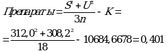
S = 312,0

U = 308,2

Рисунок 1516

Линейный контраст

LS = 12,2

LU = 13,0

LS + LU = 25,2

Квадратический контраст

QS = - 1,8

QU = - 0,2

QS + QU = - 2,0

Таблица 3.2.5.-18. - Сводная таблица дисперсионного анализа (трехдозовый латинский квадрат, определение биологической активности антибиотиков методом диффузии в агар в чашках Петри)

Источник дисперсии (показатель)

Число степеней свободы (f)

Сумма квадратов

Средний квадрат

Наблюдаемое значение критерия Фишера

Fнабл.

Критическое значение критерия Фишера

Fкритич.

Рисунок 1517

Препараты

1

0,401

0,401

4,307

Регрессия

1

26,46

26,46

284,18

> 8,1

(p = 0,01)

Непараллельность

1

0,027

0,027

0,290

< 4,35

(p = 0,05)

Квадратичность

1

0,055

0,055

0,591

< 4,35

(p = 0,05)

Разность квадратичностей

1

0,0361

0,0361

0,3877

< 4,35

(p = 0,05)

Постановки

k - 1 = 6 - 1 = 5 = fп.

26,9789

5,39578

Строки

n - 1 = 5 = fстр.

0,2189

0,04378

0,4702

< 4,1

(p = 0,01)

Столбцы

n - 1 = 5 = fст.

0,2322

0,04644

0,4988

< 4,1

(p = 0,01)

Отклонение

N - 1 - fп. - fстр. - fст. - m = 20

1,8622

0,09311 = s2

Итог

N - 1 - m = 35

29,2922

0,83692

n = 6 (число ответов на дозу); N = 36 (общее число ответов в опыте); m = 0 (число утраченных и замененных значений).

Поправочный коэффициент

Рисунок 1518;

Рисунок 1519;

Рисунок 1520;

Рисунок 1521;

Рисунок 1522;

Рисунок 1523;

Рисунок 1524;

Рисунок 1525;

Рисунок 1526;

Рисунок 1527;

Отклонение = итог - постановки - строки - столбцы =

= 29,2922 - 26,9789 - 0,2189 - 0,2322 = 1,8622.

Значимость различий дисперсий проверяют с помощью критерия Фишера. Обязательным является выполнение требований для показателей Регрессия, Непараллельность, Квадратичность, Разность квадратичностей, Строки и Столбцы. Для Регрессии наблюдаемое значение критерия Фишера должно быть больше критического (p = 0,01), а для показателей Непараллельность (p = 0,05), Строки (p = 0,01) и Столбцы (p = 0,01) - меньше критического. Показатель Регрессия характеризует дозозависимость, Непараллельность - параллельность двух линий регрессии, Квадратичность и Разность квадратичностей - линейность дозозависимости, а Строки и Столбцы - сбалансированность ответов на протяжении всего опыта.

Для того чтобы найти Fнабл. средние квадраты показателей делят на средний квадрат показателя Отклонение. Полученные результаты сравнивают с табличными критическими значениями критерия Фишера (таблица 3 Приложения). Число степеней свободы f1 = 1 или 5, а f2 = 20.

Дисперсионный анализ показал пригодность результатов опыта: статистическую значимость дозозависимости (Регрессия), параллельность двух линий регрессии (Непараллельность), линейность дозозависимости (Квадратичность и Разность квадратичностей) и отсутствие статистически значимых различий между строками и столбцами (см. одноименные показатели).

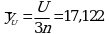
Вычисление биологической активности и ее доверительных границ

Соотношение концентраций равно 1,5, следовательно I = lg1,5 = 0,1761;

t = 2,5638 + 5,49059 / f + 2,72654 / f2 +

+ 31,2446 / f3 + 21,6745 / f10 = 2,849

при f = 20 и p = 0,01;

Рисунок 1528;

Рисунок 1529;

Рисунок 1530;

Рисунок 1531;

Ожидаемая активность AU = 1000 МЕ/мг;

Рисунок 1532;

Биологическая активность

Рисунок 1533;

C = E / (E - s2t2) =

= 26,46 / (26,46 - 0,09311 · 2,8492) = 1,0294.

Логарифмические доверительные границы биологической активности испытуемого образца вычисляют по формуле:

Рисунок 1534.

Логарифмические доверительные границы биологической активности испытуемого образца составляют -0,08610 и 0,01325 Нижняя и верхняя доверительная граница составляет Рисунок 1535 и Рисунок 1536, т.е. 820,09 МЕ/мг и 1030,97 МЕ/мг соответственно.