Внимание! Изменения, внесенные Решением Коллегии ЕЭК от 25.06.2024 N 75, в части дополнения общими фармакопейными статьями, вводятся в действие с 1 января 2025 года.

2.1.8.22. Определение никеля в гидрогенизированных растительных маслах (201080022-2022)

2.1.8.22. Определение никеля в гидрогенизированных растительных маслах

(введен решением Коллегии Евразийской экономической комиссии от 25.10.2022 N 150)

Определение проводят методом атомно-абсорбционной спектрометрии (2.1.2.22, метод I).

Перед использованием реактивы магния нитрат P и аммония дигидрофосфат P должны быть проверены на наличие никеля. При расчете содержания никеля в испытуемом образце учитывают его фактическое содержание в реактивах.

Испытуемый раствор. 0,250 г (m) испытуемого образца помещают в подходящий реакционный сосуд, устойчивый к высокому давлению (например, из фторполимера или кварцевого стекла), прибавляют 6,0 мл азотной кислоты, свободной от никеля, P и 2,0 мл раствора водорода пероксида концентрированного P. Аналогичным образом готовят контрольный раствор. Закрытые сосуды помещают в лабораторную микроволновую печь и обрабатывают их содержимое в соответствии с подходящей программой, например, при мощности 1000 Вт в течение 40 мин. Прежде чем открыть, реакционные сосуды охлаждают, затем прибавляют по 2,0 мл раствора водорода пероксида концентрированного P и повторяют стадию обработки. По окончании цикла сосуды охлаждают. Содержимое сосудов количественно переносят в мерные колбы вместимостью 25 мл, прибавляют в каждую колбу по 0,5 мл раствора 10 г/л магния нитрата P и раствора 100 г/л аммония дигидрофосфата P, доводят объем растворов водой для хроматографии P до 25,0 мл и перемешивают.

Растворы сравнения. В четыре мерные колбы вместимостью 25 мл помещают 25 мкл, 50 мкл, 75 мкл, 100 мкл стандартного раствора никеля ионов (5 ppm Ni2+) P. В каждую колбу прибавляют 0,5 мл раствора 10 г/л магния нитрата P, 0,5 мл раствора 100 г/л аммония дигидрофосфата P, 6,0 мл азотной кислоты, свободной от никеля, P, доводят водой для хроматографии P до объема 25,0 мл и перемешивают. Концентрация никеля в полученных растворах сравнения составляет 5 нг/мл, 10 нг/мл, 15 нг/мл и 20 нг/мл (ppb), соответственно.

Контрольный раствор. 1,0 мл раствора 10 г/л магния нитрата P, 1,0 мл раствора 100 г/л аммония дигидрофосфата P и 12,0 мл азотной кислоты, свободной от никеля, P доводят водой для хроматографии P до объема 50,0 мл и перемешивают.

Испытание.

Для испытания используют метод атомно-абсорбционной спектрометрии (2.1.2.22, метод I).

Условия определения:

- источник: никелевая лампа с полым катодом;

- длина волны: 232,0 нм;

- атомизатор: электротермический (графитовая трубчатая печь), оснащенный системой коррекции фона, трубкой с пиролитическим покрытием;

- температурный режим: нагрев до температуры высушивания (120 °C) проводят в течение 5 с и выдерживают при этой температуре в течение 35 с, нагрев до температуры озоления (1100 °C) проводят в течение 30 с и выдерживают при этой температуре в течение 10 с, охлаждение до температуры 800 °C проводят в течение 5 с и выдерживают при этой температуре 5 с, атомизацию проводят при температуре 2600 °C в течение 7 с.

Оптимальная температурная программа может отличаться для каждого прибора, поэтому допускается использование программы в соответствии с инструкцией завода-производителя.

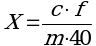
Содержание никеля в испытуемом растворе определяют по полученной калибровочной кривой на основании соответствующей величины поглощения для испытуемого раствора. При необходимости, для получения значений поглощения в диапазоне калибровки, испытуемый раствор разводят контрольным раствором. Содержание никеля в микрограммах на грамм (ppm) рассчитывают по следующей формуле:

Рисунок 577,

где: c - измеренная концентрация никеля в нанограммах на миллилитр;

f - коэффициент разбавления испытуемого раствора;

m - масса навески испытуемого образца в граммах.

201080023-2022