2.1.4.24. Определение этиленоксида и диоксана (201040024-2022)
(введен решением Коллегии Евразийской экономической комиссии от 25.10.2022 N 150)
Испытание предназначено для определения содержания остаточных количеств этиленоксида и диоксана в субстанциях, растворимых в воде или диметилацетамиде. Для субстанций, нерастворимых или недостаточно растворимых в этих растворителях, приготовление раствора образца и условия определения методом парофазной газовой хроматографии указывают в частной фармакопейной статье.
Определение проводят методом парофазной газовой хроматографии (2.1.2.27).
A. Для образцов, растворимых или смешивающихся с водой, может быть использована следующая методика.
Испытуемый раствор. 1,00 г (m1) испытуемого образца взвешивают во флаконе вместимостью 10 мл (в зависимости от условий проведения испытания могут применяться флаконы другого объема) и прибавляют 1,0 мл воды P. Флакон закрывают, содержимое перемешивают до получения однородного раствора и выдерживают при температуре 70 °C в течение 45 мин.
Раствор сравнения (а). 1,00 г (m0) испытуемого раствора взвешивают в таком же флаконе вместимостью 10 мл, прибавляют 0,50 мл раствора диоксана P2 и 0,50 мл раствора этиленоксида P3. Флакон закрывают, содержимое перемешивают до получения однородного раствора и выдерживают при температуре 70 °C в течение 45 мин.
Раствор сравнения (б). 0,50 мл раствора этиленоксида P3 помещают во флакон вместимостью 10 мл, прибавляют 0,1 мл свежеприготовленного раствора 10 мг/л ацетальдегида P и 0,10 мл раствора диоксана P1. Флакон закрывают, содержимое перемешивают до получения однородного раствора и выдерживают при температуре 70 °C в течение 45 мин.
B. Для образцов, растворимых или смешивающихся с диметилацетамидом, может быть использована следующая методика.
Испытуемый раствор. 1,00 г (m1) испытуемого образца помещают во флакон вместимостью 10 мл (в зависимости от условий проведения испытания могут применяться флаконы другого объема), прибавляют 0,20 мл воды P и 1,0 мл диметилацетамида P. Флакон закрывают, содержимое перемешивают до получения однородного раствора и выдерживают при температуре 90 °C в течение 45 мин.
Раствор сравнения (а). 1.00 г (m0) испытуемого раствора помещают в такой же флакон вместимостью 10 мл, прибавляют 0,10 мл раствора диоксана P1, 0,10 мл раствора этиленоксида P2 и 1,0 мл диметилацетамида P. Флакон закрывают, содержимое перемешивают до получения однородного раствора и выдерживают при температуре 90 °C в течение 45 мин.
Раствор сравнения (б). 0,10 мл раствора этиленоксида P2 помещают во флакон вместимостью 10 мл, прибавляют 0,1 мл свежеприготовленного раствора 10 мг/л ацетальдегида P и 0,10 мл раствора диоксана P1. Флакон закрывают, содержимое перемешивают до получения однородного раствора и выдерживают при температуре 70 °C в течение 45 мин.
- колонка: из стекла или термостойкого кварца длиной 30 м и внутренним диаметром 0,32 мм, покрытая слоем полидиметилсилоксана P толщиной 1,0 мкм;
- газ-носитель: гелий для хроматографии P или азот для хроматографии P;
- скорость потока: около 20 см/с;
- детектор: пламенно-ионизационный;
- вводимый объем пробы: подходящий объем, например, по 1,0 мл испытуемого раствора и растворов сравнения (а) и (б).
Статические условия ввода паровой фазы:
- температура уравновешивания: 70 °C (90 °C для растворов в диметилацетамиде);
- время уравновешивания: 45 мин;
- температура линии передачи: 75 °C (150 °C для растворов в диметилацетамиде);
- газ-носитель: гелий для хроматографии P;
- время увеличения давления: 1 мин;
Хроматографируют подходящий объем, например, по 1,0 мл газовой фазы испытуемого раствора и растворов сравнения (а) и (б), получая по три хроматограммы для каждой пробы.
Пригодность системы (раствор сравнения (б)):
- разрешение: не менее 2,0 между пиками ацетальдегида и этиленоксида;
- отношение сигнал/шум: не менее 5 для пиков этиленоксида и диоксана;
- относительное стандартное отклонение: не более 15% для трех значений площади пика этиленоксида;
- относительное стандартное отклонение: не более 15% для трех значений площади пика диоксана.
Проверка точности (испытуемый раствор и раствор сравнения (а)):
- рассчитывают разность площадей пиков этиленоксида и диоксана на хроматограмме испытуемого раствора и на хроматограмме раствора сравнения (а).
Пригодность хроматографической системы
Хроматографическая система считается пригодной, если выполняются следующие условия:
- относительное стандартное отклонение: не более 15%, рассчитанное для 3 полученных значений площади пика этиленоксида;
- относительное стандартное отклонение: не более 15%, рассчитанное для 3 полученных значений площади пика диоксана.
Если точные навески испытуемого образца, взятые для приготовления испытуемого раствора и раствора сравнения (а), отличались от 1,00 г более чем на 0,5%, необходимо внести соответствующие поправки.
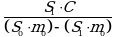
Содержание этиленоксида в частях на миллион (ppm) рассчитывают по формуле:
где: S1 - площадь пика этиленоксида на хроматограмме испытуемого раствора;
S0 - площадь пика этиленоксида на хроматограмме раствора сравнения (а);
m1 - масса навески испытуемого образца для приготовления испытуемого раствора в граммах;
m0 - масса навески испытуемого образца для приготовления раствора сравнения (а) в граммах;
C - количество этиленоксида, прибавленное к раствору сравнения (а), в микрограммах.
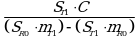
Содержание диоксана в частях на миллион (ppm) рассчитывают по формуле:
где: ST1 - площадь пика диоксана на хроматограмме испытуемого раствора;
SR0 - площадь пика диоксана на хроматограмме раствора сравнения (а);
mT1 - масса навески субстанции для приготовления испытуемого раствора, в граммах;
mR0 - масса навески субстанции для приготовления раствора сравнения (а), в граммах;
C - количество диоксана, прибавленного к раствору сравнения (а), в микрограммах.
- Гражданский кодекс (ГК РФ)
- Жилищный кодекс (ЖК РФ)
- Налоговый кодекс (НК РФ)
- Трудовой кодекс (ТК РФ)
- Уголовный кодекс (УК РФ)
- Бюджетный кодекс (БК РФ)
- Арбитражный процессуальный кодекс
- Конституция РФ
- Земельный кодекс (ЗК РФ)
- Лесной кодекс (ЛК РФ)
- Семейный кодекс (СК РФ)
- Уголовно-исполнительный кодекс
- Уголовно-процессуальный кодекс
- Производственный календарь на 2025 год
- МРОТ 2026
- ФЗ «О банкротстве»
- О защите прав потребителей (ЗОЗПП)
- Об исполнительном производстве
- О персональных данных
- О налогах на имущество физических лиц
- О средствах массовой информации
- Производственный календарь на 2026 год
- Федеральный закон "О полиции" N 3-ФЗ
- Расходы организации ПБУ 10/99
- Минимальный размер оплаты труда (МРОТ)
- Календарь бухгалтера на 2026 год
- Частичная мобилизация: обзор новостей
- Постановление Правительства РФ N 1875
,
,