к приказу Минэкономразвития России
от 13.03.2019 N 124
1. Настоящий документ разработан в целях методического содействия по разработке и корректировке прогноза социально-экономического развития субъекта Российской Федерации на среднесрочный период.
2. Исполнительными органами субъектов Российской Федерации при прогнозировании показателей социально-экономического развития субъектов Российской Федерации, указанных в форме по основным показателям, представляемым исполнительными органами субъектов Российской Федерации в Минэкономразвития России для разработки прогноза социально-экономического развития Российской Федерации на среднесрочный период (далее - форма 2п), утвержденной приказом Минэкономразвития России от 13 марта 2019 г. N 124 "Об утверждении рекомендуемой формы по основным показателям, представляемым исполнительными органами Российской Федерации в Минэкономразвития России для разработки прогноза социально-экономического развития Российской Федерации на среднесрочный период и методических рекомендаций по разработке, корректировке, мониторингу среднесрочных прогнозов социально-экономического развития субъектов Российской Федерации", могут использоваться положения методических рекомендаций по разработке, корректировке, мониторингу среднесрочного прогноза социально-экономического развития Российской Федерации, утвержденных приказом Минэкономразвития России от 30 июня 2016 г. N 423 "Об утверждении Методических рекомендаций по разработке, корректировке, мониторингу среднесрочного прогноза социально-экономического развития Российской Федерации и о признании утратившим силу приказа Минэкономразвития России от 30 ноября 2009 г. N 492", а также методики разработки прогноза баланса трудовых ресурсов, утвержденной приказом Минтруда России от 15 апреля 2019 г. N 248н (зарегистрирован Минюстом России 15 августа 2019 г., регистрационный N 55624), с учетом региональных особенностей, за исключением показателя "Валовой региональный продукт".
(см. текст в предыдущей редакции)
3. При прогнозировании показателя "Валовой региональный продукт" рекомендуется руководствоваться положениями настоящих методических рекомендаций.
4. Для целей настоящих методических рекомендаций используются следующие понятия:
валовой региональный продукт (ВРП) характеризует конечный результат производственной деятельности экономических единиц - резидентов субъекта Российской Федерации (далее - регион), который измеряется стоимостью товаров и услуг, произведенных этими единицами для конечного использования.
Валовой региональный продукт рассчитывается производственным методом <1> и представляет собой сумму валовой добавленной стоимости всех отраслей в основных ценах, создаваемую на экономической территории региона;
--------------------------------
<1> Методологические положения по расчету производственным методом размещены на официальном сайте Федеральной службы государственной статистики (Росстата) www.gks.ru в информационно-телекоммуникационной сети "Интернет" в разделе "Методология" (Методология\Методологические положения по статистике (выпуск 1, 2, 3, 4, 5)\Методология и принципы формирования основных показателей развития экономики в соответствии с Общероссийским классификатором видов экономической деятельности (ОКВЭД), гармонизированным с международными стандартами\Методологические принципы построения счетов производства и образования доходов по видам экономической деятельности\Методологические основы формирования счета производства).
валовая добавленная стоимость в основных ценах, создаваемая на экономической территории региона, определяется как выпуск товаров и услуг в основных ценах минус промежуточное потребление в ценах покупателей;
выпуск товаров и услуг, создаваемый на экономической территории региона, представляет собой суммарную стоимость товаров и услуг, являющихся результатом производственной деятельности экономических единиц - резидентов региона в отчетном периоде;
промежуточное потребление представляет собой стоимость товаров и услуг, которые трансформируются или полностью потребляются экономическими единицами - резидентами региона в процессе производства в отчетном периоде. Потребление основного капитала не входит в состав промежуточного потребления;
индекс физического объема - показатель, отражающий изменение физического объема товаров и услуг в отчетном периоде по сравнению с предыдущим периодом;
индекс-дефлятор - показатель, отражающий изменение цен на товары и услуги в отчетном периоде по сравнению с ценами на товары и услуги предыдущего периода;
основная цена - цена, получаемая производителем за единицу товара или услуги, без налогов на продукты, но с включением субсидии на продукты;
отрасль - группировка юридических лиц или территориально обособленных подразделений юридических лиц, занимающихся одним и тем же основным видом экономической деятельности;
текущие цены - цены на товары и услуги, фактически действующие на момент совершения экономической операции;
цены предыдущего периода - цены на товары и услуги, фактически действующие на момент совершения экономической операции в предыдущем периоде;
базовый год (N) - год, в который осуществляется подготовка прогноза на последующие периоды.
5. Выпуск товаров и услуг региона представляет собой матрицу, в строках которой отражены виды экономической деятельности, а в столбцах - отрасли, сформированные на уровне разделов Общероссийского классификатора видов экономической деятельности ОК 029-2014 (КДЕС Ред. 2), принятого и введенного в действие Федеральным агентством по техническому регулированию и метрологии от 31 января 2014 г. N 14-ст (ОКВЭД 2).
Валовая добавленная стоимость региона в основных ценах и промежуточное потребление региона представляют собой вектора-строки в разрезе отраслей, сформированных на уровне разделов ОКВЭД 2.
6. Официальным источником статистической информации по валовому региональному продукту служат данные Федеральной службы государственной статистики (Росстата), формируемые в соответствии с пунктом 1.2.6 Федерального плана статистических работ, утвержденного распоряжением Правительства Российской Федерации от 6 мая 2008 г. N 671-р, и опубликованные на официальном сайте Росстата в информационно-телекоммуникационной сети "Интернет" www.gks.ru (далее - официальный сайт) в разделе\\Официальная статистика\Национальные счета\Валовой региональный продукт.
Официальная статистическая информация по выпуску товаров и услуг и промежуточному потреблению на уровне региона в отчетном периоде может быть получена от территориальных органов Росстата по официальному запросу.
Официальным источником статистической информации по индексам цен производителей по видам экономической деятельности в разрезе ОКВЭД 2 служат данные Росстата, опубликованные на его официальном сайте в разделе\\Официальная статистика\Цены\Цены производителей.
Прогнозные значения индексов промышленного производства по видам экономической деятельности в разрезе разделов ОКВЭД 2, индексов производства продукции и индексов-дефляторов сельского хозяйства, индексов производства и индексов-дефляторов по виду деятельности "Строительство", индексов физического объема и индексов-дефляторов оборота розничной торговли, а также индексов физического объема и индексов-дефляторов объема платных услуг населению принимаются в соответствии с данными формы 2п.
7. Для осуществления прогноза выпуска товаров и услуг рекомендуется использовать прогнозные значения индексов физического объема и индексов-дефляторов по видам экономической деятельности на уровне разделов ОКВЭД 2.
8. Выпуск товаров и услуг в текущих ценах за год N-1 рекомендуется определять по следующей формуле:
VN-1 - совокупный выпуск товаров и услуг в текущих ценах за год N-1, тыс. рублей;
- выпуск товаров и услуг в текущих ценах по i-му виду экономической деятельности за год N-2, тыс. рублей (используются последние имеющиеся данные Федеральной службы государственной статистики за отчетный год N-2);
- индекс физического объема выпуска товаров и услуг по i-му виду экономической деятельности за год N-1, в % к предыдущему году (N-2);
- индекс-дефлятор выпуска товаров и услуг по i-му виду экономической деятельности за год N-1, в % к предыдущему году (N-2);
dN-2 - доля неучтенных видов экономической деятельности на уровне разделов ОКВЭД 2 - принимается по данным последнего отчетного года (N-2).
9. Исходя из полученной оценки выпуска товаров и услуг в текущих ценах за год N-1, валовой региональный продукт в текущих ценах за год N-1 рекомендуется определять по следующей формуле:
VRPN-1 - валовой региональный продукт в текущих ценах за год N-1, тыс. рублей;
k - доля промежуточного потребления в текущих ценах в выпуске товаров и услуг в текущих ценах за год N-2, в % (используются последние имеющиеся данные Федеральной службы государственной статистики за отчетный год N-2).
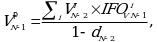
10. Выпуск товаров и услуг в ценах предыдущего года за год N-1 рекомендуется определять по следующей формуле:
- совокупный выпуск товаров и услуг в ценах предыдущего года за год N-1, тыс. рублей;
- выпуск товаров и услуг в текущих ценах по i-му виду экономической деятельности за год N-2, тыс. рублей;
- индекс физического объема выпуска товаров и услуг по i-му виду экономической деятельности за год N-1, в % к предыдущему году (N-2);
dN-2 - доля неучтенных видов экономической деятельности на уровне разделов ОКВЭД 2 - принимается по данным последнего отчетного года (N-2).
11. Объем валового регионального продукта в ценах предыдущего года за год N-1 рекомендуется определять по следующей формуле:
- валовой региональный продукт в ценах предыдущего года за год N-1, тыс. рублей;
k - доля промежуточного потребления в текущих ценах в выпуске товаров и услуг в текущих ценах за год N-2, в % (используются последние имеющиеся данные Федеральной службы государственной статистики за отчетный год N-2).
12. Индекс физического объема валового регионального продукта за год N-1 рекомендуется определять по следующей формуле:
- индекс физического объема валового регионального продукта за год N-1, в % к предыдущему году (N-2);
VRPN-2 - валовой региональный продукт в текущих ценах за год N-2, тыс. рублей (используются последние имеющиеся данные Федеральной службы государственной статистики за отчетный год N-2).
13. Индекс-дефлятор валового регионального продукта за год N-1 рекомендуется определять по следующей формуле:
ID_VRPN-1 = VRPN-1 / (VRPN-2 x IFO_VRPN-1),
ID_VRPN-1 - индекс-дефлятор валового регионального продукта за год N-1, в % к предыдущему году (N-2).
Аналогично осуществляется прогноз валового регионального продукта и его индексов физического объема и индексов-дефляторов за годы N, N+1, N+2, N+3.
- Гражданский кодекс (ГК РФ)
- Жилищный кодекс (ЖК РФ)
- Налоговый кодекс (НК РФ)
- Трудовой кодекс (ТК РФ)
- Уголовный кодекс (УК РФ)
- Бюджетный кодекс (БК РФ)
- Арбитражный процессуальный кодекс
- Конституция РФ
- Земельный кодекс (ЗК РФ)
- Лесной кодекс (ЛК РФ)
- Семейный кодекс (СК РФ)
- Уголовно-исполнительный кодекс
- Уголовно-процессуальный кодекс
- Производственный календарь на 2025 год
- МРОТ 2026
- ФЗ «О банкротстве»
- О защите прав потребителей (ЗОЗПП)
- Об исполнительном производстве
- О персональных данных
- О налогах на имущество физических лиц
- О средствах массовой информации
- Производственный календарь на 2026 год
- Федеральный закон "О полиции" N 3-ФЗ
- Расходы организации ПБУ 10/99
- Минимальный размер оплаты труда (МРОТ)
- Календарь бухгалтера на 2026 год
- Частичная мобилизация: обзор новостей
- Постановление Правительства РФ N 1875



