Глава III. Расчет экономически обоснованного уровня затрат, учитываемых при формировании экономически обоснованного уровня тарифов, сборов и платы в отношении работ (услуг) субъектов естественных монополий в сфере перевозок пассажиров железнодорожным транспортом общего пользования в пригородном сообщении (в случае выполнения таких перевозок организацией, совмещающей функции владельца инфраструктуры железнодорожного транспорта общего пользования и перевозчика)

Глава III. Расчет экономически обоснованного уровня затрат,

учитываемых при формировании экономически обоснованного

уровня тарифов, сборов и платы в отношении работ (услуг)

субъектов естественных монополий в сфере перевозок

пассажиров железнодорожным транспортом общего пользования

в пригородном сообщении (в случае выполнения таких

перевозок организацией, совмещающей функции владельца

инфраструктуры железнодорожного транспорта

общего пользования и перевозчика)

53. Расчет экономически обоснованных затрат, учитываемых при формировании экономически обоснованных тарифов на услуги, оказываемые единым хозяйствующим субъектом в сфере железнодорожных перевозок пассажиров в пригородном сообщении в субъектах Российской Федерации, выполняется на основе следующей информации:

- о затратах (территориальных филиалов) ОАО "РЖД" по виду деятельности "пассажирские перевозки в пригородном сообщении" <1> (по статьям расходов и по элементам затрат), относимых на моторвагонную, вагонную и локомотивную составляющие по форме управленческой отчетности, предусмотренной Порядком ведения раздельного учета, в зоне обслуживания которого находится соответствующий субъект Российской Федерации за предшествующий год и текущий год (полугодие);

--------------------------------

<1> Постановление Правительства Российской Федерации от 29.12.2004 N 871 "О формировании отчетности открытого акционерного общества "Российские железные дороги" по видам деятельности" (Собрание законодательства Российской Федерации, 2005, N 1 (часть II), ст. 116).

- данных о величине общепроизводственных, общехозяйственных, коммерческих и прочих затрат единого хозяйствующего субъекта, ОАО "РЖД", затрат функциональных филиалов ОАО "РЖД", относимых на вид деятельности "пассажирские перевозки в пригородном сообщении" (по статьям расходов и по элементам затрат) по форме управленческой отчетности, предусмотренной Порядком ведения раздельного учета за предшествующий год, текущий год (полугодие);

- о затратах территориальных филиалов ОАО "РЖД" по виду деятельности "пассажирские перевозки в пригородном сообщении" (по статьям расходов и элементам затрат), относимых на инфраструктурную и вокзальную составляющие, определенных на среднесетевом уровне по форме управленческой отчетности, предусмотренной Порядком ведения раздельного учета за предшествующий год и текущий год (полугодие);

- данных о доле затрат территориального филиала ОАО "РЖД", в зоне обслуживания которого находится субъект Российской Федерации, по виду деятельности "пассажирские перевозки в пригородном сообщении" (с учетом инфраструктурной и вокзальной, определенных на среднесетевом уровне), в суммарных расходах всех территориальных филиалов ОАО "РЖД", за предшествующий год и текущий год (полугодие);

- о затратах единого хозяйствующего субъекта, ОАО "РЖД" по виду деятельности "пассажирские перевозки в пригородном сообщении" (по территориальному филиалу и по субъекту Российской Федерации) с выделением общепроизводственных, общехозяйственных, коммерческих и прочих затрат единого хозяйствующего субъекта, ОАО "РЖД", затратах функциональных филиалов ОАО "РЖД", за предшествующий год и текущий год (полугодие);

- об ожидаемых затратах единого хозяйствующего субъекта, ОАО "РЖД" на текущий период (год) и прогнозе затрат единого хозяйствующего субъекта, ОАО "РЖД" на период регулирования по виду деятельности "пассажирские перевозки в пригородном сообщении" (по территориальному филиалу и по субъекту Российской Федерации) с выделением общепроизводственных, общехозяйственных, коммерческих и прочих затрат единого хозяйствующего субъекта, ОАО "РЖД" и затрат функциональных филиалов ОАО "РЖД";

- об инвестиционной программе ОАО "РЖД";

- бухгалтерской, статистической и налоговой отчетности (копии приказа об учетной политике единого хозяйствующего субъекта, ОАО "РЖД", для целей бухгалтерского учета и для налогового учета, заверенные в порядке, установленном законодательством Российской Федерации) за предшествующий год, текущий год (полугодие);

- данных о маршрутах перевозок (с указанием номеров поездов единого хозяйствующего субъекта, ОАО "РЖД", периодичности курсирования, составности поездов на летний и зимний периоды и дальности маршрутов) по субъекту Российской Федерации за предшествующий год, текущий год (полугодие), ожидаемые в текущем периоде (по году) и прогноз на период регулирования;

- об объемных показателях работы единого хозяйствующего субъекта, ОАО "РЖД" по виду деятельности "пассажирские перевозки в пригородном сообщении" (по территориальному филиалу и по субъекту Российской Федерации) за предшествующий год, текущий год (полугодие), ожидаемые в текущем периоде (по году) и прогноз на период регулирования;

- сводной аналитической справки об изменении показателей финансово-экономической деятельности единого хозяйствующего субъекта, ОАО "РЖД", в том числе затрат по виду деятельности "пассажирские перевозки в пригородном сообщении" (по элементам затрат), изменении маршрутов перевозок единого хозяйствующего субъекта, ОАО "РЖД" на территории субъекта Российской Федерации, обоснование изменения объемных и качественных показателей в текущем периоде (ожидаемые по году) и на период регулирования по сравнению с предыдущими периодами;

- о мероприятиях по оптимизации расходов по виду деятельности "пассажирские перевозки в пригородном сообщении" на территории субъекта Российской Федерации и экономический эффект от данных мероприятий в текущем периоде (ожидаемые по году) и на период регулирования.

54. Расчет экономически обоснованных затрат, учитываемых при формировании тарифов на услуги, оказываемые единым хозяйствующим субъектом, ОАО "РЖД" в сфере железнодорожных перевозок пассажиров в пригородном сообщении в субъектах Российской Федерации, также выполняется с использованием дополнительных документов (обосновывающих изменение затрат и объемных и качественных показателей работы), запрошенных регулирующим органом.

55. Затраты единого хозяйствующего субъекта, ОАО "РЖД" на железнодорожные перевозки пассажиров в пригородном сообщении в субъекте Российской Федерации на период регулирования.

55.1. Затраты по виду деятельности "пассажирские перевозки в пригородном сообщении" определяются по каждому территориальному филиалу ОАО "РЖД", в зоне обслуживания которого находится субъект Российской Федерации (с учетом затрат в части инфраструктурной и вокзальных составляющих, определенных на среднесетевом уровне), за отчетный период, предшествующий текущему году. Для этого используются:

- затраты соответствующего территориального филиала ОАО "РЖД" по форме управленческой отчетности, предусмотренной Порядком ведения раздельного учета, в зоне обслуживания которого находится субъект Российской Федерации, по виду деятельности "пассажирские перевозки в пригородном сообщении" (по статьям расходов и по элементам затрат, относимым на моторвагонную, вагонную и локомотивную составляющие), за отчетный период, предшествующий текущему году;

- затраты территориального филиала ОАО "РЖД" по форме управленческой отчетности, предусмотренной Порядком ведения раздельного учета (ОАО "РЖД"), в зоне обслуживания которого находится субъект Российской Федерации, по виду деятельности "пассажирские перевозки в пригородном сообщении" (по статьям расходов и элементам затрат), относимым на инфраструктурную и вокзальную составляющие, определенные на среднесетевом уровне пропорционально вагоно-километрам, выполненным территориальным филиалом ОАО "РЖД" при пассажирских перевозках в пригородном сообщении (без учета иных перевозчиков) за отчетный период, предшествующий текущему году;

- данные о величине общепроизводственных, общехозяйственных, коммерческих и прочих затрат ОАО "РЖД" и функциональных филиалов ОАО "РЖД", относимых на вид деятельности "пассажирские перевозки в пригородном сообщении" по форме управленческой отчетности, предусмотренной Порядком ведения раздельного учета за отчетный период, предшествующий текущему году. Величина данных расходов относится на расходы территориального филиала ОАО "РЖД" по виду деятельности "пассажирские перевозки в пригородном сообщении" в доле, равной расходам территориального филиала по виду деятельности "пассажирские перевозки в пригородном сообщении" с учетом инфраструктурной и вокзальной составляющих, определенных на среднесетевом уровне (далее - расходы территориального филиала) в суммарных расходах всех территориальных филиалов ОАО "РЖД".

55.2. Затраты территориального филиала ОАО "РЖД" относятся на субъект Российской Федерации по статьям затрат (и элементам затрат), связанным с организацией железнодорожных перевозок пассажиров в пригородном сообщении в доле, равной соотношению объемных показателей работы в субъекте Российской Федерации в объемных показателях работы территориального филиала ОАО "РЖД" (согласно Таблицам N 3.1 - 3.3 приложения к Методике).

55.3. При определении затрат единого хозяйствующего субъекта, ОАО "РЖД" на железнодорожные перевозки пассажиров в пригородном сообщении в субъекте Российской Федерации в отчетном периоде, предшествующем текущему, применяются показатели, аналогичные показателям установленным в отношении компаний пригородных пассажирских перевозок, в соответствии с Порядком ведения раздельного учета (Таблица N 12 приложения к настоящей Методике).

При необходимости регулирующий орган самостоятельно проверяет показатели, представленные субъектом регулирования, в том числе с применением анализа на базе рыночных показателей или экспертных оценок.

55.4. В случае, если субъект Российской Федерации находится в зоне обслуживания нескольких территориальных филиалов ОАО "РЖД", затраты ОАО "РЖД" на железнодорожные перевозки пассажиров в пригородном сообщении по статьям расходов и элементам затрат субъекта Российской Федерации за отчетный период, определяются суммированием затрат территориальных филиалов, отнесенных на данный субъект Российской Федерации.

55.5. В случае, если единый хозяйствующий субъект, ОАО "РЖД" осуществляет железнодорожные перевозки пассажиров в пригородном сообщении в г. Москве и Московской области, г. Санкт-Петербург и Ленинградской области, Республики Крым и г. Севастополь, затраты единого хозяйствующего субъекта, ОАО "РЖД" по виду деятельности "пассажирские перевозки в пригородном сообщении" за отчетный период, предшествующий текущему, определяются суммарно по указанным субъектам Российской Федерации (соответственно городу и области).

55.6. В целях определения затрат единого хозяйствующего субъекта, ОАО "РЖД" на железнодорожные перевозки пассажиров в пригородном сообщении на текущий период (ожидаемые по году) и на период регулирования, используются отчетные данные, полученные по территориальным филиалам ОАО "РЖД" и субъектам Российской Федерации за период, предшествующий текущему, расположенным в зоне обслуживания данного территориального филиала по железнодорожным перевозкам пассажиров в пригородном сообщении, сгруппированные по составляющим (моторвагонная, вагонная, локомотивная, инфраструктурная, вокзальная) и по элементам затрат, с выделением общепроизводственных, общехозяйственных, коммерческих и прочих затрат единого хозяйствующего субъекта, ОАО "РЖД", затрат функциональных филиалов ОАО "РЖД". Группировка по составляющим тарифов осуществляется в соответствии с Порядком ведения раздельного учета. Информация сводится согласно Таблице N 13 приложения к Методике (по территориальному филиалу и по субъекту Российской Федерации).

55.7. Оценка ожидаемых затрат в текущем периоде (по году) и прогноз затрат единого хозяйствующего субъекта, ОАО "РЖД" на период регулирования на железнодорожные перевозки пассажиров в пригородном сообщении (по территориальному филиалу и субъектам Российской Федерации) выполняется по составляющим затрат (моторвагонная, вагонная, локомотивная, инфраструктурная, вокзальная) и элементам затрат с учетом ожидаемых в текущем периоде и прогнозных на период регулирования цен (тарифов) на продукцию (услуги) естественных монополий (индексов роста тарифов на электрическую энергию для всех категорий потребителей, за исключением населения), индексов инфляции, индексов изменения цен производителей промышленной продукции, доведенных на текущий период, ожидаемых в текущем периоде и прогнозных на период регулирования индексов изменения объемов вагоно-километровой работы (по всем видам тяги (по инфраструктурной и вокзальной составляющим), вагоно-км моторвагонного подвижного состава (по моторвагонной составляющей), вагоно-км при локомотивной тяге (по вагонной составляющей) и поездо-км при локомотивной тяге (по локомотивной составляющей) (по территориальному филиалу и субъектам Российской Федерации), а также доли затрат, зависящих и не зависящих от объемов работы. Комментарии о выполненных расчетах приводятся в сводной аналитической справке об изменении показателей финансово-экономической деятельности единого хозяйствующего субъекта, ОАО "РЖД".

55.8. Ожидаемые на текущий период (год) и прогнозные на период регулирования индексы изменения объемов вагоно-километровой (или поездо-километровой) работы определяются (по территориальному филиалу и субъектам Российской Федерации) как отношение соответственно ожидаемого в текущем периоде (году) и прогнозного на период регулирования объема вагоно-километровой работы к вагоно-километровой (поездо-километровой) работе в предшествующем периоде (по территориальному филиалу и субъектам Российской Федерации).

Ожидаемые на текущий период (год) вагоно-километры по территориальному филиалу определяются как сумма вагоно-километров по каждому субъекту Российской Федерации, исходя из согласованных единым хозяйствующим субъектом, ОАО "РЖД" с субъектом Российской Федерации объемов транспортной работы, предусмотренной договором транспортного обслуживания населения железнодорожным транспортом в пригородном сообщении и графиком движения пассажирских поездов (на летний и зимний период) с учетом конкретных маршрутов курсирования поездов, их дальности по территории субъекта Российской Федерации, периодичности курсирования и составности. При этом поездо-километры на соответствующий период определяются исходя из конкретных маршрутов курсирования поездов единого хозяйствующего субъекта, ОАО "РЖД", числа поездов и дальности маршрута по территории соответствующего субъекта Российской Федерации.

При необходимости регулирующий орган самостоятельно проверяет показатели, представленные субъектом регулирования, в том числе с применением с применением анализа на базе рыночных показателей или экспертных оценок.

55.9. Оценка ожидаемых расходов на текущий период (год) и прогноз расходов единого хозяйствующего субъекта, ОАО "РЖД" на железнодорожные перевозки пассажиров в пригородном сообщении на период регулирования (по территориальному филиалу и субъектам Российской Федерации) выполняется по составляющим (вагонная, локомотивная, инфраструктурная, вокзальная) и элементам затрат в следующем порядке:

55.9.1. При определении ожидаемых расходов на текущий период (год) и прогноз расходов единого хозяйствующего субъекта, ОАО "РЖД" на период регулирования применяются индексы изменения объемов работы:

- для инфраструктурной и вокзальной составляющих затрат - вагоно-км при всех видах тяги;

- для моторвагонной составляющей затрат - вагоно-км используемого вида моторвагонного подвижного состава;

- для вагонной составляющей затрат - вагоно-км при локомотивной тяге;

- для локомотивной составляющей - поездо-км (при локомотивной тяге).

55.9.2. Оценка ожидаемых специфических (прямых) производственных расходов на текущий период (год) единого хозяйствующего субъекта, ОАО "РЖД" на железнодорожные перевозки пассажиров в пригородном сообщении по соответствующему элементу затрат выполняется в следующем порядке:

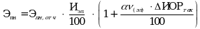
55.9.2.1. Затраты на оплату труда (Рисунок 59) рассчитываются по формуле:

Рисунок 60, (23)

где:

Рисунок 61 - расходы на оплату труда в отчетном периоде, предшествующем текущему;

Рисунок 62 - прочие затраты на оплату труда в отчетном периоде, предшествующем текущему;

ИПЦ - прогнозное значение индекса инфляции (индекса потребительских цен), установленного в процентах, на текущий период (в среднем за текущий год к предыдущему году);

Рисунок 63 - доля расходов на оплату труда, зависящих от объемов работ субъекта регулирования в части железнодорожных перевозок пассажиров в пригородном сообщении, и далее по тексту доля расходов, зависящих от объемов работы, определяется с учетом ретроспективного анализа зависимости затрат перевозчика от объемов работы за ряд лет или экспертных оценок (при отсутствии принимается равной 1);

Рисунок 64 - прогнозное изменение объемных показателей деятельности субъекта регулирования в части железнодорожных перевозок пассажиров в пригородном сообщении в текущем периоде по сравнению с предыдущим отчетным периодом, %;

Фпр(тек) - прочие затраты на оплату труда, планируемые в текущем периоде, учитываемые в составе расходов на оплату труда в соответствии с подпунктами подпунктами 1 - 24 статьи 255 главы 25 Налогового Кодекса Российской Федерации (Собрание законодательства Российской Федерации, 07.08.2000, N 32, ст. 3340).

55.9.2.2. Отчисления на социальные нужды (Рисунок 65) рассчитываются по формуле:

Рисунок 66, (24)

где:

Кс - коэффициент начислений на затраты на оплату труда.

55.9.2.3. Материальные затраты (МЗ) складываются из расходов на топливо (Т), расходов на электроэнергию (Э), расходов по материалам (М) и прочих материальных затрат (Пмз).

МЗ = Т + Э + М + Пмз, (25)

где:

Т - расходы на топливо;

Э - расходы на электроэнергию;

М - затраты на материалы;

Пмз - прочие материальные затраты.

55.9.2.3.1. Расходы на топливо (Т) рассчитываются по формуле:

Рисунок 67, (26)

где:

Рисунок 68 - расходы на топливо на тягу поездов;

Тпн - расходы на топливо на прочие нужды.

Расходы на топливо на тягу поездов (Рисунок 69) учитываются только в части локомотивной составляющей затрат и рассчитываются по формуле:

Рисунок 70, (27)

где:

Рисунок 71 - расходы на топливо на тягу в отчетном периоде, предшествующем текущему;

Ин - прогнозное значение индекса цен на производство нефтепродуктов, установленного в процентах, на текущий период (в среднем за текущий год к предыдущему году).

Расходы на топливо на прочие нужды (Тпн) рассчитываются по формуле:

Рисунок 72, (28)

где:

Рисунок 73 _ расходы на топливо на прочие нужды в отчетном периоде;

Рисунок 74 - доля расходов на топливо на прочие нужды, зависящих от объемов работ субъекта регулирования в части железнодорожных перевозок пассажиров в пригородном сообщении.

55.9.2.4. Расходы на электроэнергию (Э) рассчитываются по формуле:

Рисунок 75, (29)

где:

Рисунок 76 - расходы на электроэнергию на тягу поездов;

Эпн - расходы на электроэнергию на прочие нужды.

Расходы на электроэнергию на тягу поездов (Рисунок 77) учитываются только в части инфраструктурной составляющей затрат и рассчитываются по формуле:

Рисунок 78, (30)

где:

Рисунок 79 - расходы на электроэнергию на тягу поездов в отчетном периоде, предшествующем текущему;

Иэл - прогнозное значение индекса роста цен на электроэнергию для всех категорий потребителей, за исключением населения, выраженный в процентах, на текущий период;

Расходы на электроэнергию на прочие нужды (Эпн) рассчитываются по формуле:

Рисунок 80, (31)

где:

Рисунок 81 - расходы на электроэнергию на прочие нужды поездов в отчетном периоде, предшествующем текущему;

Рисунок 82 - доля расходов на электроэнергию на прочие нужды, зависящих от объемов работ субъекта регулирования в части железнодорожных перевозок пассажиров в пригородном сообщении.

55.9.2.5. Расходы на материалы (М) рассчитываются по формуле:

Рисунок 83, (32)

где:

Рисунок 84 - расходы на материалы в отчетном периоде, предшествующем текущему;

ИПЦ - прогнозное значение индекса инфляции (индекса потребительских цен), установленного в процентах, на текущий период (в среднем за текущий год к предыдущему году);

Рисунок 85 - доля расходов на материалы, зависящих от объемов работ субъекта регулирования в части железнодорожных перевозок пассажиров в пригородном сообщении.

55.9.2.6. Прочие материальные затраты (Пмз) рассчитываются по формуле:

Рисунок 86, (33)

где:

Рисунок 87 - прочие материальные затраты в отчетном периоде, предшествующем текущему;

ИПЦ - прогнозное значение индекса инфляции (индекса потребительских цен), установленного в процентах, на текущий период (в среднем за текущий год к предыдущему году);

Рисунок 88 - доля прочих материальных затрат, зависящих от объемов работы субъекта регулирования в части железнодорожных перевозок пассажиров в пригородном сообщении.

55.9.2.7. Амортизация (А) рассчитывается по формуле:

А = Апротч * Атфтек / Атфотч, (34)

где:

Апротч - затраты на амортизацию территориального филиала ОАО "РЖД" в части услуги по перевозке пассажиров в пригородном сообщении в отчетном периоде;

Атфтек - затраты на амортизацию территориального филиала ОАО "РЖД" в целом в отчетном периоде;

Атфотч - затраты на амортизацию территориального филиала ОАО "РЖД" в целом в текущем периоде, определяемые по следующей формуле:

Рисунок 89, (35)

где:

Фнг - среднегодовая стоимость основных фондов на начало текущего периода;

Фввод - среднегодовая стоимость вводимых фондов;

Фвыб - среднегодовая стоимость выбывающих фондов;

Кп - коэффициент переоценки основных фондов в текущем периоде;

Рисунок 90 - усредненная норма амортизационных отчислений.

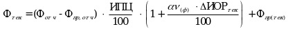
55.9.2.8. Прочие расходы (Рисунок 91) рассчитываются по формуле:

Рисунок 92, (36)

где:

Рисунок 93 - прочие расходы в отчетном периоде, предшествующем текущему;

Рисунок 94 - налог на имущество в отчетном периоде, предшествующем текущему;

Рисунок 95 - сумма расходов на лизинг в отчетном периоде, предшествующем текущему;

Рисунок 96 - доля прочих расходов, зависящих от объемов перевозок;

Рисунок 97 - налог на имущество, прогнозируемый на текущий период;

Рисунок 98 - расходы на лизинг, прогнозируемые на текущий период.

55.9.3. При оценке ожидаемых расходов на текущий период (год) по каждому элементу затрат осуществляются корректировки фактических данных о расходах, производимые с учетом выявленных по данным отчетности за предшествующий период избыточных и непроизводительных расходов, изменения структуры затрат (увеличения/снижения удельного веса соответствующего элемента затрат) в связи с незапланированным ростом цен на продукцию и услуги, необходимые для осуществления регулируемой деятельности, внедрением инновационных технологий и внедрением новой техники и оборудования.

55.9.4. В случае значительного отклонения расходов текущего периода от ожидаемого уровня данных расходов в текущем периоде, определенного с учетом имеющихся на момент расчета экономически обоснованных затрат отчетных данных о расходах субъекта регулирования, для расчета ожидаемых на текущий период расходов, субъектом регулирования представляется дополнительное обоснование изменения расходов по конкретным составляющим затрат (элементам затрат), обусловивших данное отклонение.

55.9.5. Расчет ожидаемых в текущем периоде общепроизводственных, общехозяйственных расходов компании пригородных пассажирских перевозок производится по следующей формуле:

Рисунок 99, (37)

где:

Рисунок 100 - величина общепроизводственных расходов за отчетный период, предшествующий текущему;

Рисунок 101 - величина общехозяйственных расходов за отчетный период, предшествующий текущему;

Рисунок 102 - величина корректировки общепроизводственных и общехозяйственных расходов, производимой с учетом выявленных по данным отчетности за предшествующий период избыточных и непроизводительных расходов, изменения структуры затрат в связи с незапланированным ростом цен на продукцию и услуги, необходимые для осуществления регулируемой деятельности, внедрением инновационных технологий и внедрением новой техники и оборудования;

ИПЦ - прогнозное значение индекса инфляции (индекса потребительских цен), установленного в процентах, на текущий период (в среднем за текущий год к предыдущему году).

При этом при определении экономически обоснованных затрат субъекта регулирования (в целом и по субъектам Российской Федерации) величина общепроизводственных и общехозяйственных расходов субъекта регулирования, относимых на вид деятельности "пассажирские перевозки в пригородном сообщении" определяется регулирующим органом с учетом обосновывающих материалов субъекта регулирования и доли таких затрат в суммарных затратах в отчетном периоде.

55.10. Расчет размера экономически обоснованных затрат, проектируемых на период регулирования, производится аналогично по каждой составляющей затрат в разрезе элементов затрат, а именно по каждому элементу затрат, осуществляется по следующей формуле:

Рисунок 103, (38)

где:

Етек - величина расходов субъекта регулирования по соответствующему элементу затрат, рассчитанная на текущий период;

Ир - значение индекса инфляции на период регулирования, применяемого к соответствующему элементу затрат;

Рисунок 104 - доля расходов, зависящих от объемов работ (услуг) субъекта регулирования в части железнодорожных перевозок пассажиров в пригородном сообщении. Указанный показатель принимается в данной Методике (по каждому элементу затрат, кроме амортизации) на основе материалов, представленных субъектом регулирования по согласованию с регулирующим органом с учетом проведенных исследований и экспертных оценок;

Екор - величина корректировки расходов по соответствующему элементу затрат, производимой с учетом планируемого на текущий период сокращения затрат субъекта регулирования от реализации организационно-технических мероприятий, применения ресурсосберегающих технологий, а также влияния других факторов на величину ожидаемых в текущем периоде расходов субъекта регулирования.

55.11. Размер экономически обоснованных затрат (Ер), проектируемых на период регулирования, определяется следующим образом:

Рисунок 105, (39)

где:

Рисунок 106 - специфические (прямые производственные) расходы субъекта регулирования, рассчитанные на период регулирования по виду деятельности "пассажирские перевозки в пригородном сообщении" (в целом и по соответствующему субъекту Российской Федерации);

Рисунок 107 - общепроизводственные и общехозяйственные расходы, рассчитанные на период регулирования по виду деятельности "пассажирские перевозки в пригородном сообщении" (в целом и по соответствующему субъекту Российской Федерации). При этом общепроизводственные и общехозяйственные расходы на период регулирования планируются регулирующим органом в соответствии с подпунктом 55.9.5 настоящей Методики;

Рисунок 108 - прочие расходы, рассчитанные на период регулирования по виду деятельности "пассажирские перевозки в пригородном сообщении" (по соответствующему субъекту Российской Федерации).

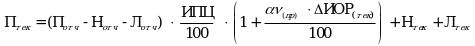
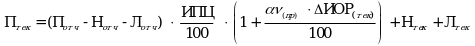
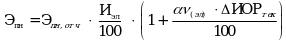
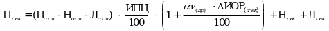
55.12. Размер экономически обоснованных затрат, учитываемых при формировании тарифов на железнодорожные перевозки пассажиров в пригородном сообщении в соответствующем субъекте Российской Федерации (Рисунок 109), определяется следующим образом:

Рисунок 110, (40)

где:

Рисунок 111 - число перевезенных пассажиров, спрогнозированное на период регулирования с учетом информации о перевезенных пассажирах субъектом регулирования в отчетном или текущем периоде в соответствующем субъекте Российской Федерации по регулируемым видам перевозок;

Nпер - число перевезенных пассажиров, спрогнозированное на период регулирования с учетом информации о перевезенных пассажирах субъектом регулирования в отчетном периоде в соответствующем субъекте Российской Федерации по всем видам оформляемым проездных документов субъектом регулирования (разовым и абонементным), во всех категориях поездов (в том числе электропоездах повышенной комфортности типа ЭД4М), по всем категориям пассажиров (взрослые платные, дети, школьники и студенты, федеральные льготники, региональные льготники, железнодорожники, военнослужащие по воинским требованиям и другие категории) в соответствующем субъекте Российской Федерации.