к государственной программе
Российской Федерации "Обеспечение
доступным и комфортным жильем
и коммунальными услугами граждан
Российской Федерации"
Список изменяющих документов
(введены Постановлением Правительства РФ от 03.07.2024 N 909;
в ред. Постановления Правительства РФ от 23.04.2026 N 452)
1. Настоящие Правила устанавливают цели, условия и порядок предоставления субсидий из федерального бюджета бюджетам субъектов Российской Федерации в целях софинансирования расходных обязательств субъектов Российской Федерации, возникающих при реализации мероприятий по завершению строительства (реконструкции) незавершенных объектов капитального строительства и ввода их в эксплуатацию, которые включены в федеральный реестр незавершенных объектов капитального строительства в порядке, определенном Положением о порядке формирования и ведения федерального реестра незавершенных объектов капитального строительства, составе включаемых в него сведений и порядке предоставления таких сведений, утвержденным постановлением Правительства Российской Федерации от 18 июля 2022 г. N 1295 "Об утверждении Положения о порядке формирования и ведения федерального реестра незавершенных объектов капитального строительства, составе включаемых в него сведений и порядке предоставления таких сведений", и (или) при предоставлении субсидий местным бюджетам из бюджетов субъектов Российской Федерации на указанные цели в рамках мероприятия "Сокращение количества незавершенных объектов капитального строительства, включенных в федеральный реестр незавершенных объектов капитального строительства" федерального проекта "Содействие развитию инфраструктуры субъектов Российской Федерации (муниципальных образований)" (далее соответственно - субсидия, незавершенные объекты капитального строительства, федеральный реестр).
(в ред. Постановления Правительства РФ от 23.04.2026 N 452)
(см. текст в предыдущей редакции)
2. Субсидии предоставляются в пределах лимитов бюджетных обязательств, доведенных до Министерства строительства и жилищно-коммунального хозяйства Российской Федерации как получателя средств федерального бюджета, на цели, указанные в пункте 1 настоящих Правил.
3. Субсидии предоставляются при соблюдении субъектом Российской Федерации условий, предусмотренных абзацами вторым - четвертым пункта 8 Правил формирования, предоставления и распределения субсидий из федерального бюджета бюджетам субъектов Российской Федерации, утвержденных постановлением Правительства Российской Федерации от 30 сентября 2014 г. N 999 "О формировании, предоставлении и распределении субсидий из федерального бюджета бюджетам субъектов Российской Федерации" (далее - Правила формирования, предоставления и распределения субсидий).
(п. 3 в ред. Постановления Правительства РФ от 23.04.2026 N 452)
(см. текст в предыдущей редакции)
4. Критерием отбора субъектов Российской Федерации для предоставления субсидии является наличие незавершенного объекта капитального строительства в федеральном реестре, признанного таковым по основаниям, установленным статьей 55.34 Градостроительного кодекса Российской Федерации, и в отношении которого принято управленческое решение в соответствии с абзацем вторым подпункта "а" пункта 1 постановления Правительства Российской Федерации от 26 июля 2022 г. N 1333 "О последствиях включения объекта незавершенного строительства, строительство, реконструкция которого осуществлялись полностью или частично за счет средств бюджетов бюджетной системы Российской Федерации и не завершены, в федеральный реестр незавершенных объектов капитального строительства, в региональный реестр незавершенных объектов капитального строительства".
5. Отбор субъектов Российской Федерации для предоставления субсидий осуществляется на основании заявок высших исполнительных органов субъектов Российской Федерации (уполномоченных ими должностных лиц) на предоставление субсидий (далее - заявка). Форма заявки утверждается Министерством строительства и жилищно-коммунального хозяйства Российской Федерации.
Абзацы второй - шестой утратили силу. - Постановление Правительства РФ от 23.04.2026 N 452.
(см. текст в предыдущей редакции)
Организацию приема и рассмотрения заявок обеспечивает Министерство строительства и жилищно-коммунального хозяйства Российской Федерации с привлечением в установленном им порядке подведомственной организации.
Абзац утратил силу. - Постановление Правительства РФ от 23.04.2026 N 452.
(см. текст в предыдущей редакции)
6. Адресное (пообъектное) распределение субсидий по незавершенным объектам капитального строительства, в целях софинансирования мероприятий по завершению строительства которых предоставляются субсидии в текущем году, утверждается (определяется) в соответствии с пунктом 5 Правил формирования, предоставления и распределения субсидий.
7. При планировании направления субсидии на цели, предусмотренные пунктом 1 настоящих Правил, субъектом Российской Федерации одновременно с заявкой в отношении каждого незавершенного объекта капитального строительства предоставляются следующие документы и сведения:
а) паспорт инвестиционного проекта по форме, установленной Министерством строительства и жилищно-коммунального хозяйства Российской Федерации;
б) копия положительного заключения государственной экспертизы проектной документации, содержащего оценку достоверности определения сметной стоимости строительства незавершенных объектов капитального строительства, в случаях, установленных частью 2 статьи 8.3 Градостроительного кодекса Российской Федерации, и копия положительного заключения государственной экспертизы результатов инженерных изысканий, выполненных для подготовки такой проектной документации, если проведение инженерных изысканий является обязательным в соответствии с Градостроительным кодексом Российской Федерации (в случае если проведение такой экспертизы в соответствии с законодательством Российской Федерации является обязательным), выданных не ранее чем за 5 лет до года представления заявки;
(в ред. Постановления Правительства РФ от 23.04.2026 N 452)
(см. текст в предыдущей редакции)
в) документы об утверждении проектной документации на завершение строительства (реконструкции) незавершенного объекта капитального строительства в соответствии с законодательством Российской Федерации;
г) выписка из Единого государственного реестра недвижимости, подтверждающая право собственности субъекта Российской Федерации на незавершенный объект капитального строительства в соответствии с Федеральным законом "О государственной регистрации недвижимости";
д) копия утвержденного застройщиком или техническим заказчиком задания на проектирование незавершенного объекта капитального строительства в случаях одновременной подготовки проектной документации и (или) выполнения инженерных изысканий, выполнения работ по строительству (реконструкции), вводу в эксплуатацию объекта капитального строительства в соответствии с законодательством Российской Федерации о контрактной системе в сфере закупок товаров, работ, услуг для обеспечения государственных и муниципальных нужд при отсутствии документов, предусмотренных подпунктами "б" и "в" настоящего пункта.
(пп. "д" введен Постановлением Правительства РФ от 23.04.2026 N 452)
7(1). При планировании завершения строительства (реконструкции) незавершенного объекта капитального строительства в рамках мероприятий, предусматривающих одновременную подготовку проектной документации и (или) выполнение инженерных изысканий, выполнение работ по строительству (реконструкции), вводу в эксплуатацию:
а) расходные обязательства субъекта Российской Федерации по проведению технологического и ценового аудита обоснования инвестиций, а также государственной экспертизы проектной документации, включая проверку достоверности определения сметной стоимости строительства объектов капитального строительства в случаях, установленных частью 2 статьи 8.3 Градостроительного кодекса Российской Федерации, и результатов инженерных изысканий из федерального бюджета не софинансируются;
б) документы, предусмотренные подпунктами "б" и "в" пункта 7 настоящих Правил, предоставляются после их разработки и утверждения;
в) к заявке прилагается гарантийное письмо высшего исполнительного органа субъекта Российской Федерации (уполномоченного им должностного лица) о дополнительном финансовом обеспечении завершения строительства (реконструкции) незавершенного объекта капитального строительства за счет средств бюджета субъекта Российской Федерации в случае, если его стоимость увеличилась более чем на 30 процентов по результатам проведения государственной экспертизы проектной документации, содержащей оценку достоверности определения сметной стоимости, по отношению к предполагаемой (предельной) стоимости, предусмотренной в задании на проектирование.
(п. 7(1) введен Постановлением Правительства РФ от 23.04.2026 N 452)
8. Субсидия предоставляется на основании соглашения о предоставлении субсидии между Министерством строительства и жилищно-коммунального хозяйства Российской Федерации и высшим исполнительным органом субъекта Российской Федерации (далее - соглашение) в соответствии с пунктом 10 Правил формирования, предоставления и распределения субсидий, подготавливаемого (формируемого) и заключаемого с использованием государственной интегрированной информационной системы управления общественными финансами "Электронный бюджет" в соответствии с типовой формой, утвержденной Министерством финансов Российской Федерации.
(в ред. Постановления Правительства РФ от 23.04.2026 N 452)
(см. текст в предыдущей редакции)
В соглашении могут быть установлены различные уровни софинансирования расходного обязательства субъекта Российской Федерации из федерального бюджета по отдельным мероприятиям (объектам капитального строительства) в случае предоставления субсидий в целях софинансирования расходного обязательства субъекта Российской Федерации, предусматривающего реализацию более одного мероприятия (капитальные вложения в несколько объектов капитального строительства).
9. Субсидии распределяются между субъектами Российской Федерации на основании заявок в следующем порядке:
а) бюджетные ассигнования в размере до 30 процентов общего объема бюджетных ассигнований, предусмотренных на соответствующий финансовый год, распределяются между незавершенными объектами капитального строительства в соответствии с решениями президиума (штаба) Правительственной комиссии по региональному развитию в Российской Федерации;
б) нераспределенные бюджетные ассигнования распределяются между незавершенными объектами капитального строительства согласно датам принятия решений о включении таких объектов в федеральный реестр (от наиболее ранней до наиболее поздней даты).
(пп. "б" в ред. Постановления Правительства РФ от 23.04.2026 N 452)
(см. текст в предыдущей редакции)
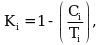
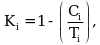
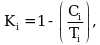
10. Размер субсидии из федерального бюджета бюджетам субъектов Российской Федерации (Si) определяется по формуле:
Sобщ - общий объем бюджетных ассигнований федерального бюджета, предусмотренный в федеральном бюджете на предоставление субсидий на соответствующий год;
(в ред. Постановления Правительства РФ от 23.04.2026 N 452)
(см. текст в предыдущей редакции)
Pi - общая потребность i-го субъекта Российской Федерации в необходимом финансовом обеспечении для завершения строительством (реконструкцией) незавершенных объектов капитального строительства в соответствующем финансовом году;
(в ред. Постановления Правительства РФ от 23.04.2026 N 452)
(см. текст в предыдущей редакции)
Yi - предельный уровень софинансирования расходного обязательства субъекта Российской Федерации из федерального бюджета, утверждаемый Правительством Российской Федерации в соответствии с пунктом 13 Правил формирования, предоставления и распределения субсидий, процентов;
n - число субъектов Российской Федерации, между бюджетами которых распределяются субсидии.
11. Утратил силу. - Постановление Правительства РФ от 23.04.2026 N 452.
(см. текст в предыдущей редакции)
12. Субсидии распределяются субъектам Российской Федерации в соответствующем финансовом году согласно заявкам, а также с учетом решений, предусмотренных подпунктами "а" и "б" пункта 9 настоящих Правил.
Потребность субъекта Российской Федерации в необходимом финансовом обеспечении для завершения строительством (реконструкцией) незавершенных объектов капитального строительства в соответствующем финансовом году указывается в заявке в соответствии со сметной или предполагаемой (предельной) стоимостью строительства (реконструкции) таких объектов в ценах соответствующих лет.
В случае если рассчитанное в соответствии с пунктом 10 настоящих Правил распределение субсидии больше чем запросил в заявке субъект Российской Федерации, то бюджету этого субъекта Российской Федерации предоставляется субсидия в размере, предусмотренном в заявке.
(п. 12 в ред. Постановления Правительства РФ от 23.04.2026 N 452)
(см. текст в предыдущей редакции)
13. В ходе исполнения федерального бюджета в распределение субсидий между субъектами Российской Федерации на текущий финансовый год могут быть внесены изменения, при которых положения пунктов 9 и 10 настоящих Правил не применяются.
(в ред. Постановления Правительства РФ от 23.04.2026 N 452)
(см. текст в предыдущей редакции)
14. Предложения по распределению субсидий между субъектами Российской Федерации рассматриваются президиумом (штабом) Правительственной комиссии по региональному развитию в Российской Федерации и утверждаются в порядке, установленном бюджетным законодательством Российской Федерации.
15. Результатом использования субсидии является количество завершенных строительством (реконструкцией) и введенных в эксплуатацию незавершенных объектов капитального строительства, включенных в федеральный реестр, единиц.
(п. 15 в ред. Постановления Правительства РФ от 23.04.2026 N 452)
(см. текст в предыдущей редакции)
16. Оценка эффективности использования субсидии осуществляется Министерством строительства и жилищно-коммунального хозяйства Российской Федерации путем сравнения фактически достигнутых и плановых значений результата использования субсидии, предусмотренного соглашением.
17. Перечисление субсидий осуществляется в установленном порядке на единые счета бюджетов, открытые финансовым органам субъектов Российской Федерации в территориальных органах Федерального казначейства.
18. Порядок и условия возврата средств из бюджета субъекта Российской Федерации в федеральный бюджет в случае нарушения субъектом Российской Федерации обязательств, предусмотренных соглашением в соответствии с подпунктами "б(1)" и "в" пункта 10 Правил формирования, предоставления и распределения субсидий, а также основания для освобождения субъекта Российской Федерации от применения мер финансовой ответственности установлены пунктами 16 - 20 Правил формирования, предоставления и распределения субсидий.
(п. 18 в ред. Постановления Правительства РФ от 23.04.2026 N 452)
(см. текст в предыдущей редакции)
19. Исполнительный орган субъекта Российской Федерации, уполномоченный высшим исполнительным органом субъекта Российской Федерации, размещает в государственной интегрированной информационной системе управления общественными финансами "Электронный бюджет" отчетность, предусмотренную соглашением в соответствии с пунктом 10 Правил формирования, предоставления и распределения субсидий.
(п. 19 в ред. Постановления Правительства РФ от 23.04.2026 N 452)
(см. текст в предыдущей редакции)
20. Ответственность в соответствии с законодательством Российской Федерации за достоверность представляемых в Министерство строительства и жилищно-коммунального хозяйства Российской Федерации сведений, содержащихся в заявке и документах, указанных в пунктах 5 и 7 настоящих Правил, а также отчетности, указанной в пункте 19 настоящих Правил, несет высший исполнительный орган субъекта Российской Федерации.
21. В случае нарушения целей, установленных при предоставлении субсидии, применяются бюджетные меры принуждения, предусмотренные бюджетным законодательством Российской Федерации.
22. Контроль за соблюдением субъектами Российской Федерации условий предоставления субсидий осуществляется Министерством строительства и жилищно-коммунального хозяйства Российской Федерации и уполномоченными органами государственного финансового контроля.
- Гражданский кодекс (ГК РФ)
- Жилищный кодекс (ЖК РФ)
- Налоговый кодекс (НК РФ)
- Трудовой кодекс (ТК РФ)
- Уголовный кодекс (УК РФ)
- Бюджетный кодекс (БК РФ)
- Арбитражный процессуальный кодекс
- Конституция РФ
- Земельный кодекс (ЗК РФ)
- Лесной кодекс (ЛК РФ)
- Семейный кодекс (СК РФ)
- Уголовно-исполнительный кодекс
- Уголовно-процессуальный кодекс
- Производственный календарь на 2025 год
- МРОТ 2026
- ФЗ «О банкротстве»
- О защите прав потребителей (ЗОЗПП)
- Об исполнительном производстве
- О персональных данных
- О налогах на имущество физических лиц
- О средствах массовой информации
- Производственный календарь на 2026 год
- Федеральный закон "О полиции" N 3-ФЗ
- Расходы организации ПБУ 10/99
- Минимальный размер оплаты труда (МРОТ)
- Календарь бухгалтера на 2026 год
- Частичная мобилизация: обзор новостей
- Постановление Правительства РФ N 1875
