VI. Особенности формирования единого тарифа на услугу регионального оператора по обращению с твердыми коммунальными отходами
VI. Особенности формирования единого тарифа
на услугу регионального оператора по обращению с твердыми
коммунальными отходами
83. Единый тариф на услуги регионального оператора по обращению с твердыми коммунальными отходами устанавливается в соответствии с условиями соглашения об организации деятельности по обращению с твердыми коммунальными отходами, заключаемого между региональным оператором и уполномоченным органом исполнительной власти субъекта Российской Федерации по результатам конкурса на выбор регионального оператора.
84. Необходимая валовая выручка регионального оператора на год i не может превышать прогнозную необходимую валовую выручку регионального оператора по организации деятельности по обращению с твердыми коммунальными отходами, содержащуюся в заявке на участие в конкурсном отборе региональных операторов победителя такого конкурсного отбора на соответствующий год, за исключением следующих случаев:
а) изменение законодательства Российской Федерации, существенно влияющее на расходы, учитываемые при установлении тарифов (более 10 процентов);
б) корректировка территориальной схемы, влияющая на расходы, учитываемые при установлении тарифов, в связи с изменением схемы потоков твердых коммунальных отходов и объема (массы) твердых коммунальных отходов, а также в связи со строительством и (или) реконструкцией объектов, используемых для обращения с твердыми коммунальными отходами.
(п. 84 в ред. Приказа ФАС России от 01.11.2018 N 1488/18)
(см. текст в предыдущей редакции)
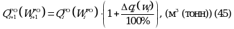
85. Расчет единого тарифа регионального оператора по обращению с твердыми коммунальными отходами,
, осуществляется по следующим формулам:
(в ред. Приказа ФАС России от 01.11.2018 N 1488/18)
(см. текст в предыдущей редакции)
- необходимая валовая выручка регионального оператора в году i, руб.;
- объем (масса) отходов, транспортирование которых будет осуществлять региональный оператор в году i, м3 (тонн). В эту величину не включается объем (масса) отходов, поступающих от других региональных операторов в рамках заключаемых с ними договоров (соглашений), но включаются объемы отходов, передаваемые другим региональным операторам в соответствии с территориальной схемой и соглашением между региональными операторами;
(в ред. Приказа ФАС России от 01.11.2018 N 1488/18)
(см. текст в предыдущей редакции)
- расходы регионального оператора по обработке, обезвреживанию, энергетической утилизации, захоронению твердых коммунальных отходов на объектах, используемых для обращения с твердыми коммунальными отходами, руб.;
(см. текст в предыдущей редакции)
- собственные расходы регионального оператора, определяемые в соответствии с пунктом 87 настоящих Методических указаний, руб.;
- корректировка необходимой валовой выручки регионального оператора в году i, осуществляемая в соответствии с пунктом 92 настоящих Методических указаний, руб.;
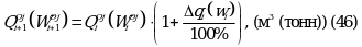
- тариф оператора по обращению с твердыми коммунальными отходами, Оj, установленный органом регулирования тарифов на год i, руб/м3 (руб./тонна).
В составе тарифов операторов по обращению с твердыми коммунальными отходами учитываются также тарифы организаций коммунального комплекса, установленные в соответствии с Федеральным законом от 30 декабря 2004 г. N 210-ФЗ "Об основах регулирования тарифов организаций коммунального комплекса";
НадбОj - надбавки к тарифам, установленные в соответствии с Федеральным законом от 30 декабря 2004 г. N 210-ФЗ "Об основах регулирования тарифов организаций коммунального комплекса", руб./м3;
- объем (масса) отходов, направляемая (планируемая к направлению) региональным оператором на объект оператора по обращению с твердыми коммунальными отходами, Оj в году i, м3 (тонн). В составе таких объектов учитываются также объекты, расположенные в зоне деятельности других региональных операторов, с которыми у регионального оператора заключен договор (соглашение), и доставка отходов на которые предусмотрена территориальной схемой;
Кпл - коэффициент перевода, определяемый в соответствии с Правилами коммерческого учета объема и (или) массы твердых коммунальных отходов, утвержденными постановлением Правительства Российской Федерации от 3 июня 2016 г. N 505 (Собрание законодательства Российской Федерации, 2016, N 24, ст. 3543) (далее - Правила коммерческого учета), в целях сопоставления объема и массы твердых коммунальных отходов (средняя плотность твердых коммунальных отходов).
В случае, если региональный оператор в соответствии с территориальной схемой самостоятельно осуществляет обработку, обезвреживание, энергетическую утилизацию и (или) захоронение твердых коммунальных отходов, то расходы на оказание соответствующих услуг, а также объем таких услуг учитываются при расчете единого тарифа регионального оператора по обращению с твердыми коммунальными отходами в соответствии с главами I - V настоящих Методических указаний в составе показателя
.
(см. текст в предыдущей редакции)
86. При расчете единого тарифа регионального оператора по обращению с твердыми коммунальными отходами орган регулирования тарифов учитывает количество отходов
и
, определяемые на уровне соответствующих фактических объемов и масс за последний отчетный год с учетом динамики изменения количества отходов за последние три года, при условии, что направления транспортирования отходов соответствуют территориальной схеме и не содержат изменений за последние три года. Значения этих параметров подлежат корректировке в случае, если территориальная схема предусматривает изменения баланса образования и обращения с твердыми коммунальными отходами в зоне деятельности регионального оператора, либо такие изменения предусмотрены соглашением об организации деятельности по обращению с твердыми коммунальными отходами.
В случае, если территориальная схема не предусматривает изменений, количество отходов на очередной год рассчитывается по формулам:
- объем (масса) отходов, транспортирование которых будет осуществлять региональный оператор в году i, м3 (тонн). В эту величину не включается объем (масса) отходов, поступающих от других региональных операторов в рамках заключаемых с ними договоров (соглашений);
(в ред. Приказа ФАС России от 01.11.2018 N 1488/18)
(см. текст в предыдущей редакции)
- объем (масса) отходов, направляемая региональным оператором на объект Оj в году i, м3 (тонн). В составе таких объектов учитываются также объекты, расположенные в зоне деятельности других региональных операторов, с которыми у регионального оператора заключен договор (соглашение), и доставка отходов на которые предусмотрена территориальной схемой;
- среднее изменение количества отходов за 3 года, процентов. В случае отсутствия наблюдений за соответствующие годы, отношение соответствующих объемов отходов определяется равным 1;
,
- фактический объем (масса) отходов, транспортирование которых осуществлял региональный оператор в годах (i-k), (i-k-1), м3 (тонн).
(в ред. Приказа ФАС России от 01.11.2018 N 1488/18)
(см. текст в предыдущей редакции)
В случае, если имеет место изменение потоков отходов, предусмотренное территориальной схемой, величины
и
определяются с учетом такого перераспределения потоков отходов.
87. Собственные расходы регионального оператора,
, включают в себя:
- расходы на транспортирование твердых коммунальных отходов;
(в ред. Приказа ФАС России от 01.11.2018 N 1488/18)
(см. текст в предыдущей редакции)
- сбытовые расходы регионального оператора, определяемые в соответствии с пунктом 89 настоящих Методических указаний;
- расходы на оказание комплексной услуги по обращению с твердыми отходами в случаях, предусмотренных постановлением Правительства Российской Федерации от 5 сентября 2016 г. N 881 "О проведении уполномоченными органами исполнительной власти субъектов Российской Федерации конкурсного отбора региональных операторов по обращению с твердыми коммунальными отходами" (Собрание законодательства Российской Федерации; 2016, N 37, ст. 5501) для субъектов Российской Федерации - городов федерального значения;
- расходы на заключение и обслуживание договоров с собственниками твердых коммунальных отходов и операторами по обращению с твердыми коммунальными отходами.
88. Расходы на транспортирование твердых коммунальных отходов формируются исходя из расходов на оплату выполняемых сторонними организациями или индивидуальными предпринимателями работ и (или) услуг, связанных с осуществлением деятельности по сбору и транспортированию твердых коммунальных отходов в соответствии с договорами, заключаемыми региональным оператором с операторами, осуществляющими транспортирование твердых коммунальных отходов, и (или) собственных расходов регионального оператора на транспортирование твердых коммунальных отходов, осуществляемых региональным оператором, с учетом положений пунктов 12, 14 Основ ценообразования;
(в ред. Приказа ФАС России от 01.11.2018 N 1488/18)
(см. текст в предыдущей редакции)
89. К сбытовым расходам регионального оператора относятся расходы по сомнительным долгам в размере фактической дебиторской задолженности, но не более 2 процентов необходимой валовой выручки, установленной для регионального оператора на предыдущий период регулирования, за который имеются подтвержденные бухгалтерской и статистической отчетностью данные.
90. В случае, если региональный оператор осуществляет транспортирование отходов в зоны деятельности других региональных операторов, в том числе на территорию иных субъектов Российской Федерации, если иное не установлено соглашением об организации деятельности по обращению с твердыми коммунальными отходами, при установлении единого тарифа регионального оператора на обращение учитываются:
расходы на обработку, обезвреживание, энергетическую утилизацию и захоронение отходов, осуществляемые в зоне деятельности другого регионального оператора (на территории другого субъекта Российской Федерации) в соответствии с тарифами, установленными для объектов, на которых осуществляется обработка, обезвреживание, энергетическая утилизация и захоронение отходов;
(в ред. Приказа ФАС России от 25.02.2022 N 145/22)
(см. текст в предыдущей редакции)
расходы на транспортирование отходов в составе собственных расходов регионального оператора в соответствии с договором (соглашением) между региональными операторами.
(в ред. Приказа ФАС России от 01.11.2018 N 1488/18)
(см. текст в предыдущей редакции)
При учете расходов регионального оператора на обращение с отходами в зоне деятельности другого регионального оператора орган регулирования тарифов во избежание двойного учета соответствующих расходов обеспечивает исключение таких расходов из тарифов регионального оператора, в зоне деятельности которого осуществляются соответствующие расходы.
90(1). Расчетная предпринимательская прибыль регионального оператора определяется в размере 5% от расходов на транспортирование твердых коммунальных отходов, выполняемых региональным оператором самостоятельно (за исключением расходов на оплату выполняемых сторонними организациями или индивидуальными предпринимателями работ и (или) услуг, связанных с осуществлением деятельности по транспортированию твердых коммунальных отходов), и расходов на заключение и обслуживание договоров с собственниками твердых коммунальных отходов и операторами по обращению с твердыми коммунальными отходами.
В случае если региональный оператор в соответствии с территориальной схемой самостоятельно осуществляет обезвреживание, энергетическую утилизацию, обработку и (или) захоронение твердых коммунальных отходов, то орган регулирования учитывает расчетную предпринимательскую прибыль такого регионального оператора в составе необходимой валовой выручки, относимой на деятельность по обезвреживанию, энергетической утилизации, обработке, захоронению твердых коммунальных отходов.
(в ред. Приказа ФАС России от 25.02.2022 N 145/22)
(см. текст в предыдущей редакции)
(п. 90(1) введен Приказом ФАС России от 01.11.2018 N 1488/18)
91. Если иное не предусмотрено соглашением об организации деятельности по обращению с твердыми коммунальными отходами, индексация собственных расходов регионального оператора производится по следующим формулам:
(в ред. Приказа ФАС России от 01.11.2018 N 1488/18)
(см. текст в предыдущей редакции)
- собственные расходы регионального оператора в году (i + 1), руб.;
,
- расходы регионального оператора на транспортирование твердых коммунальных отходов соответственно в годах (i + 1), i, руб.;
(в ред. Приказа ФАС России от 01.11.2018 N 1488/18)
(см. текст в предыдущей редакции)
- прочие расходы регионального оператора, предусмотренные пунктом 87 настоящих Методических указаний (за исключением расходов на транспортирование, сбытовых расходов регионального оператора), соответственно в годах (i + 1), i, руб.;
(в ред. Приказа ФАС России от 01.11.2018 N 1488/18)
(см. текст в предыдущей редакции)
- сбытовые расходы регионального оператора, определяемые в соответствии с пунктом 89 настоящих Методических указаний, руб.;
(абзац введен Приказом ФАС России от 01.11.2018 N 1488/18)
ИПЦi+1 - индекс потребительских цен, установленный в прогнозе социально-экономического развития на год (i+1);
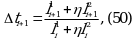
- корректировка расходов на транспортирование отходов в году (i + 1);
,
- среднее расстояние транспортирования отходов первого плеча (от источника образования или накопления отходов до объекта по обращению с отходами без осуществления сортировки или перегрузки) соответственно в годах (i+1), i, км;
,
- среднее расстояние транспортирования отходов второго плеча (от перегрузки или сортировки до объекта, на котором осуществляется обезвреживание, энергетическая утилизация или захоронение отходов) соответственно в годах (i+1), i, км;
(в ред. Приказа ФАС России от 25.02.2022 N 145/22)
(см. текст в предыдущей редакции)
- коэффициент снижения расходов на транспортирование отходов после сортировки или перегрузки. В случае, если такой коэффициент не определен в соглашении об организации деятельности по обращению с твердыми коммунальными отходами или в территориальной схеме, его значение принимается равным 0,4.
Средние расстояния транспортирования отходов, учитываемые при расчете тарифов в соответствии с формулой (50) пункта 91 настоящих Методических указаний определяются в соответствии с территориальной схемой. Корректировка расходов на транспортирование не рассчитывается в случае, если территориальной схемой не предусмотрено изменений схемы потоков транспортирования отходов на соответствующий год.
92. Корректировка необходимой валовой выручки регионального оператора по обращению с твердыми коммунальными отходами на очередной период регулирования рассчитывается по формуле:
- корректировка необходимой валовой выручки регионального оператора в году i, руб.;
- фактическая величина необходимой валовой выручки регионального оператора в (i-2)-м году, определяемая в соответствии с формулой (43) пункта 85 настоящих Методических указаний с применением фактических значений параметров расчета взамен прогнозных, в том числе с учетом изменений территориальной схемы, руб.;
- выручка от реализации товаров (услуг) по регулируемому виду деятельности в (i-2)-м году, определяемая исходя из фактического объема (массы) твердых коммунальных отходов в (i-2)-м году и тарифов, установленных в соответствии с главой VI настоящих Методических указаний на (i-2)-й год, руб.;
- корректировка необходимой валовой выручки регионального оператора в связи с изменением законодательства, не учтенным при установлении тарифов, руб.;
- корректировка необходимой валовой выручки регионального оператора в связи с возмещением расходов и недополученных доходов, предусмотренных пунктом 12 настоящих Методических указаний, а также в связи с исключением необоснованно полученных доходов регионального оператора, предусмотренных пунктом 12 Основ ценообразования.
(п. 92 в ред. Приказа ФАС России от 01.11.2018 N 1488/18)
(см. текст в предыдущей редакции)
93. Экономия собственных расходов, достигнутая региональным оператором, в том числе в результате строительства и эксплуатации сортировочных и перегрузочных станций, сохраняется в распоряжении регионального оператора на срок действия соглашения об организации деятельности по обращению с твердыми коммунальными отходами, при наличии подтверждающих документов и материалов.
94. Утратил силу. - Приказ ФАС России от 01.11.2018 N 1488/18.
(см. текст в предыдущей редакции)
95. На второй и последующие годы действия соглашения об организации деятельности по обращению с отходами единый тариф регионального оператора по обращению с отходами рассчитывается в соответствии с пунктом 85 настоящих Методических указаний с учетом следующих особенностей:
величины
,
определяются в соответствии с пунктом 86 настоящих Методических указаний;
величина
индексируется в соответствии с пунктом 91 настоящих Методических указаний;
величина
рассчитывается в соответствии с пунктом 92 настоящих Методических указаний.
(п. 95 в ред. Приказа ФАС России от 01.11.2018 N 1488/18)
(см. текст в предыдущей редакции)
- Гражданский кодекс (ГК РФ)
- Жилищный кодекс (ЖК РФ)
- Налоговый кодекс (НК РФ)
- Трудовой кодекс (ТК РФ)
- Уголовный кодекс (УК РФ)
- Бюджетный кодекс (БК РФ)
- Арбитражный процессуальный кодекс
- Конституция РФ
- Земельный кодекс (ЗК РФ)
- Лесной кодекс (ЛК РФ)
- Семейный кодекс (СК РФ)
- Уголовно-исполнительный кодекс
- Уголовно-процессуальный кодекс
- Производственный календарь на 2025 год
- МРОТ 2026
- ФЗ «О банкротстве»
- О защите прав потребителей (ЗОЗПП)
- Об исполнительном производстве
- О персональных данных
- О налогах на имущество физических лиц
- О средствах массовой информации
- Производственный календарь на 2026 год
- Федеральный закон "О полиции" N 3-ФЗ
- Расходы организации ПБУ 10/99
- Минимальный размер оплаты труда (МРОТ)
- Календарь бухгалтера на 2026 год
- Частичная мобилизация: обзор новостей
- Постановление Правительства РФ N 1875











