Для расчета условной вероятности разрушения объектов и поражения людей ударными волнами используются следующие пробит-функции:
а) вероятность повреждений стен промышленных зданий, при которых возможно восстановление зданий без их сноса, может оцениваться по соотношению:
б) вероятность разрушений промышленных зданий, при которых здания подлежат сносу, оценивается по соотношению:
в) вероятность длительной потери управляемости у людей (состояние нокдауна), попавших в зону действия ударной волны при взрыве облака ТВС, может быть оценена по величине пробит-функции:
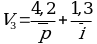
m - масса тела живого организма, кг;
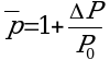
P0 - атмосферное давление, Па;
г) вероятность разрыва барабанных перепонок у людей от уровня перепада давления в воздушной волне определяется по формуле:
д) вероятность отброса человека волной давления оценивается по величине пробит-функции:
При использовании пробит-функций в качестве зон стопроцентного поражения принимаются зоны поражения, где значение пробит-функции достигает величины, соответствующей вероятности в 90%. В качестве зон, безопасных с точки зрения воздействия поражающих факторов, принимаются зоны поражения, где значения пробит-функции достигают величин, соответствующих вероятности в 1%.
- Гражданский кодекс (ГК РФ)
- Жилищный кодекс (ЖК РФ)
- Налоговый кодекс (НК РФ)
- Трудовой кодекс (ТК РФ)
- Уголовный кодекс (УК РФ)
- Бюджетный кодекс (БК РФ)
- Арбитражный процессуальный кодекс
- Конституция РФ
- Земельный кодекс (ЗК РФ)
- Лесной кодекс (ЛК РФ)
- Семейный кодекс (СК РФ)
- Уголовно-исполнительный кодекс
- Уголовно-процессуальный кодекс
- Производственный календарь на 2025 год
- МРОТ 2026
- ФЗ «О банкротстве»
- О защите прав потребителей (ЗОЗПП)
- Об исполнительном производстве
- О персональных данных
- О налогах на имущество физических лиц
- О средствах массовой информации
- Производственный календарь на 2026 год
- Федеральный закон "О полиции" N 3-ФЗ
- Расходы организации ПБУ 10/99
- Минимальный размер оплаты труда (МРОТ)
- Календарь бухгалтера на 2026 год
- Частичная мобилизация: обзор новостей
- Постановление Правительства РФ N 1875
, (5-9)
, (5-10)
, (5-11)
; (5-12)
, (5-13)
, (5-14)
, (5-15)
; (5-16)
; (5-17)
, (5-18)
. (5-19)