14. Проект признается финансово эффективным в соответствии с оценкой финансовой эффективности проекта, если чистая приведенная стоимость проекта больше или равна 0 (ноль) рублей.
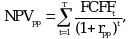
15. Чистая приведенная стоимость проекта рассчитывается с помощью приведения (дисконтирования) свободных денежных потоков от проекта следующим образом:
NPVpp - чистая приведенная стоимость проекта, в рублях;
FCFFt - свободный денежный поток от проекта в периоде t, в рублях;
rpp - ставка дисконтирования для частного партнера, в процентах;
t - период реализации проекта (шаг прогноза в соответствии с пунктом 9.8 Методики);
T - последний период реализации проекта (шаг прогноза в соответствии с пунктом 9.8 Методики).
Свободный денежный поток от проекта в периоде t, в рублях, рассчитывается с учетом денежных потоков от операционной и инвестиционной деятельности по формуле:
EBITt - прибыль до вычета налога на прибыль организаций и процентов в периоде t;
Tax - ставка налога на прибыль организаций в периоде t, в процентном выражении;
- изменение оборотного капитала в периоде t;
D&At - амортизация основных средств, нематериальных и финансовых активов в периоде t;
ICFt - денежный поток от инвестиционной деятельности с учетом капитального гранта и иных средств, направляемых на финансирование проекта на безвозмездной основе, в периоде t.
(п. 15 в ред. Приказа Минэкономразвития России от 21.08.2025 N 543)
(см. текст в предыдущей редакции)
16. Ставка дисконтирования, используемая в расчете чистой приведенной стоимости проекта, принимается равной либо превышающей величину доходности к погашению по облигациям федерального займа со сроком, максимально близким к срокам реализации проекта, плюс два с половиной процентных пункта.
- Гражданский кодекс (ГК РФ)
- Жилищный кодекс (ЖК РФ)
- Налоговый кодекс (НК РФ)
- Трудовой кодекс (ТК РФ)
- Уголовный кодекс (УК РФ)
- Бюджетный кодекс (БК РФ)
- Арбитражный процессуальный кодекс
- Конституция РФ
- Земельный кодекс (ЗК РФ)
- Лесной кодекс (ЛК РФ)
- Семейный кодекс (СК РФ)
- Уголовно-исполнительный кодекс
- Уголовно-процессуальный кодекс
- Производственный календарь на 2025 год
- МРОТ 2026
- ФЗ «О банкротстве»
- О защите прав потребителей (ЗОЗПП)
- Об исполнительном производстве
- О персональных данных
- О налогах на имущество физических лиц
- О средствах массовой информации
- Производственный календарь на 2026 год
- Федеральный закон "О полиции" N 3-ФЗ
- Расходы организации ПБУ 10/99
- Минимальный размер оплаты труда (МРОТ)
- Календарь бухгалтера на 2026 год
- Частичная мобилизация: обзор новостей
- Постановление Правительства РФ N 1875

