4.1. На территории Республики Беларусь
4.1.1. Затраты
на услуги по МГП по передающей сети Республики Беларусь (далее - ПС), включаемые в тарифы субъектов естественных монополий при осуществлении МГП между государствами-членами, рассчитываются по формуле:
З - общие затраты на содержание и эксплуатацию ПС, относимые на МГП между государствами-членами, определяемые в установленном уполномоченным государственным органом порядке;
ИФ - доля отчислений в инновационный фонд;
ПР - доля отчислений на прибыль, определяемая в установленном законодательством Республики Беларусь порядке;
Н - доля отчислений на налоги;
Общие затраты З включают: затраты на эксплуатационно-ремонтное обслуживание; заработную плату; амортизацию; прочие денежные расходы (вспомогательные материалы, энергия со стороны, отчисления на социальное страхование и др.); затраты на компенсацию потерь электрической энергии.
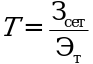
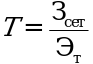
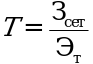
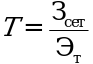
4.1.2. Тариф на услуги по МГП по сетям ОЭС Беларуси рассчитывается по формуле:
Т - тариф на услуги по МГП по сетям ОЭС Беларуси;
- суммарный объем МГП между государствами-членами по сетям ОЭС Беларуси.
- Гражданский кодекс (ГК РФ)
- Жилищный кодекс (ЖК РФ)
- Налоговый кодекс (НК РФ)
- Трудовой кодекс (ТК РФ)
- Уголовный кодекс (УК РФ)
- Бюджетный кодекс (БК РФ)
- Арбитражный процессуальный кодекс
- Конституция РФ
- Земельный кодекс (ЗК РФ)
- Лесной кодекс (ЛК РФ)
- Семейный кодекс (СК РФ)
- Уголовно-исполнительный кодекс
- Уголовно-процессуальный кодекс
- Производственный календарь на 2025 год
- МРОТ 2026
- ФЗ «О банкротстве»
- О защите прав потребителей (ЗОЗПП)
- Об исполнительном производстве
- О персональных данных
- О налогах на имущество физических лиц
- О средствах массовой информации
- Производственный календарь на 2026 год
- Федеральный закон "О полиции" N 3-ФЗ
- Расходы организации ПБУ 10/99
- Минимальный размер оплаты труда (МРОТ)
- Календарь бухгалтера на 2026 год
- Частичная мобилизация: обзор новостей
- Постановление Правительства РФ N 1875
, где:
, где: