2. Расчет сварных соединений

2.1. Стыковое соединение с прямым швом.

Рисунок 236

Рисунок П 1.5

Допускаемое усилие для соединения при:

- растяжении Рисунок 237;

- сжатии Рисунок 238,

где Рисунок 239, Рисунок 240 - допускаемые напряжения для сварного шва соответственно при растяжении и сжатии, кгс/см2;

l, S - ширина и толщина соединяемых деталей, мм.

При расчете прочности все виды подготовки кромок в стыковых соединениях принимают равноценными.

2.2. Стыковое соединение с косым швом.

Рисунок 241

Рисунок П 1.6

Допускаемое усилие для соединения при:

- растяжении Рисунок 242;

- сжатии Рисунок 243,

при Рисунок 244 соединение равнопрочно целому сечению.

2.3. Нахлесточное соединение.

Рисунок 245

Рисунок П 1.7

Соединения выполняют угловым швом. В зависимости от направления шва относительно направления действующих сил угловые швы называют лобовыми (рисунок П 1.7а), фланговыми (рисунок П 1.7б), косыми (рисунок П 1.7в) и комбинированными (рисунок П 1.7г).

Максимальную длину лобового и косого швов не ограничивают. Длину фланговых швов следует принимать не более 60К, где К - величина катета шва (мм). Минимальная длина углового шва 30 мм; при меньшей длине дефекты в начале и конце шва значительно снижают его прочность. Минимальный катет углового шва Кmin принимают равным 3 мм, если толщина металла S >= 3 мм.

Допускаемое усилие для соединения

Рисунок 246,

где Рисунок 247 - допускаемое напряжение для сварного шва на срез, кгс/см2;

K - катет шва, мм;

L - периметр угловых швов, мм:

- для лобовых швов L = 1;

- для фланговых швов L = 2l1;

- для косых швов Рисунок 248;

- для комбинированных швов L = 2l1 + 1.

2.4. Соединение несимметричных элементов.

Рисунок 249

Рисунок П 1.8

Усилия, передаваемые на швы 1 и 2, находят из уравнения статики:

P1 = Pe 1/e; P2 = Pe 2/e.

Необходимая длина швов:

Рисунок 250; Рисунок 251,

где Рисунок 252 - допускаемое напряжение для сварного шва на срез, кгс/см2;

К - катет шва, мм.

Допускается увеличение l2 до размера l1.

2.5. Тавровое соединение, обеспечивающее лучшую передачу усилий.

Рисунок 253

Рисунок П 1.9

Допускаемое усилие при:

- растяжении Рисунок 254;

- сжатии Рисунок 255,

где Рисунок 256, Рисунок 257 - допускаемые напряжения для сварного шва соответственно при растяжении, сжатии, кгс/см2;

l, S - ширина и толщина пристыкованных деталей, мм.

2.6. Допускаемые напряжения для сварных швов.

Допускаемые напряжения для сварных швов принимают в соответствии с таблицей П1.1 в зависимости от допускаемых напряжений, принятых для основного металла.

Таблица П 1.1

Допускаемые напряжения для сварных швов

Сварка

Для стыковых соединений

При срезе Рисунок 258

при растяжении Рисунок 259

при сжатии Рисунок 260

Ручная электродами Э42

Рисунок 261

Рисунок 262

Рисунок 263

Ручная электродами Э42А

Рисунок 264

Рисунок 265

Рисунок 266

Рисунок 267 - допускаемое напряжение при растяжении для основного металла

2.7. Расчет сварных соединений, на которые действует изгибающий момент Ми и продольная сила P.

2.7.1. Стыковое соединение, выполненное угловым швом (рисунок П 1.10)

Рисунок 268

Рисунок П 1.10

Условие прочности сварного соединения:

Рисунок 269,

где Ми - изгибающий момент, кгс/см2;

W - момент сопротивления сечения детали при изгибе, см3:

- для односторонних сварных швов без скоса кромки (Т1 по ГОСТ 5264)

W = Wс = 0,7К * l2 / 6;

- для односторонних со скосом кромки (Т2 по ГОСТ 5264) и двусторонних сварных швов (Т3, Т5 - Т9 по ГОСТ 5264)

W = S * l2 / 6;

F - площадь сечения детали, см2;

F = l * S,

К - катет шва, см

Пример 1. Расчет сварных швов крепления упора кассеты составной подкладки, применяемой при размещении и креплении рельсов длиной 25 м на сцепе платформ, от действия поперечной инерционной силы.

Две составные подкладки с закрепленным грузом установлены поперек платформы и охватывают своими упорами боковые балки платформы. Кассета каждой из двух подкладок нагружена силой Рисунок 270 кгс, направленной вдоль оси кассеты и перпендикулярно плоскости упора (рисунок П1.10а).

Рисунок 271

Рисунок П 1.10а

Так как линии действия силы P и равной ей реакции боковой балки платформы не совпадают, сварные швы нагружены растягивающей нагрузкой P и изгибающим моментом Ми, действующими в плоскости, перпендикулярной плоскости расположения сварных швов. Материал кассеты - сталь 3. Упор кассеты приварен к вертикальным стенкам кассеты четырьмя стыковыми сварными швами Т1 по ГОСТ 5264 (тавровый односторонний без скоса кромок) длиной l = 120 мм.

Тогда в соответствии с пунктом 2.7.1

Рисунок 272,

Ми = R * h = 15320,5 (12,0 / 2 + 2,25 + 5,0) = 202997 кгс * см

Рисунок 273; Рисунок 274

F = 4 * 1 * 0,7К = 4 * 12 * 0,7 * 0,8 = 26,9 см2,

Рисунок 275

В соответствии с таблицей П 1.1 допускаемые напряжения для сварного шва равны:

Рисунок 276,

где 1650 кгс/см2 - допускаемое напряжение при растяжении для основного металла деталей упора (сталь 3) (таблица 33 главы 1).

Напряжения в сварных швах не превышают допускаемое значение.

2.7.2. Нахлесточное соединение, выполненное угловым швом (рисунок П 1.11)

Рисунок 277

Рисунок П 1.11

Условие прочности сварного соединения:

Рисунок 278,

где

Wс = 0.7К * l2 / 6; Fс = 0,7К * l.

2.7.3. Нахлесточное соединение, выполненное несколькими угловыми швами (рисунок П 1.12).

Рисунок 279

Рисунок П 1.12

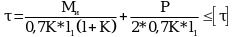
При расчете принимают, что изгибающий момент Ми уравновешивается парой сил в горизонтальных швах и моментом защемления вертикального шва:

Рисунок 280,

Условие прочности сварного соединения:

Рисунок 281.

Если момент Ми и допускаемое напряжение Рисунок 282 заданы, то из полученного уравнения следует определить l, l1 и K, задавшись остальными геометрическими параметрами.

Пример 2. Определение несущей способности продольного упора, установленного в стоечную скобу платформы.

Упор приварен к грузу двумя угловыми швами катетом 8 мм длиной 200 мм. Упор вставлен в стоечную скобу платформы и нагружен продольной инерционной силой Рисунок 283 (рисунок П 1.12а). Материал упора - сталь 3. Требуется определить значение Рисунок 284, исходя из параметров упора, сварных швов (рисунок П 1.12а) и допускаемых напряжений в сварных швах.

Рисунок 285

Рисунок П 1.12а

Сварные швы нагружены сдвигающей силой Рисунок 286 и изгибающим моментом Ми = P * h, действующими в плоскости расположения сварных швов.

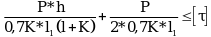
Касательные напряжения в сварных швах не должны превышать допускаемое значение:

Рисунок 287;

Ми = P * h.

В соответствии с таблицей П1.1 при ручной сварке электродами Э42

Рисунок 288.

Тогда

Рисунок 289, откуда

Рисунок 290

Таким образом, рассмотренный упор может обеспечить компенсацию Рисунок 291 не более 3999 кгс.