18. Пропускная способность одной взлетно-посадочной полосы (далее - ВПП), работающей в режиме чередования взлетающих и приземляющихся ВС (без учета пропускной способности воздушного пространства), определяется по формуле:
где: ПВПП - пропускная способность ВПП (взлетов-посадок/час);
ТВВ, ТПП, ТВП, ТПВ - средние допустимые интервалы времени между взлетно-посадочными операциями ВС, которые рассчитываются для следующих режимов функционирования ВПП: "взлет-взлет", "посадка-посадка", "взлет-посадка", "посадка-взлет" (секунда);
- доля приземляющихся ВС в общей интенсивности движения.
19. При необходимости расчета пропускной способности ВПП в определенный промежуток времени, отличный от 1 часа, в формуле, указанной в пункте 18 Методики, вместо числителя 3600 принимается значение данного промежутка времени, выраженное в секундах.
20. Средние допустимые интервалы времени между взлетно-посадочными операциями зависят от минимально допустимых интервалов времени между смежными взлетно-посадочными операциями ВС, которые устанавливаются из условий обеспечения безопасности полетов на аэродроме по следующим зависимостям:




где:
,
,
,
- минимально допустимые интервалы времени между смежными взлетно-посадочными операциями "взлет-взлет", "посадка-посадка", "взлет-посадка", "посадка-взлет" для "i" и "j" ВС (секунда);
,
- доля i и j ВС в общей интенсивности движения;
i, j - переменные индексы, соответствующие: i-ВС, совершающему взлетно-посадочные операции первым; j-ВС, совершающему взлетно-посадочные операции вторым, при этом i и j последовательно изменяются от 1 до m;
m - количество типов ВС, рассматриваемых в расчете.
21. В целях настоящей Методики для удобства вычислений каждому типу ВС до проведения расчетов присваивается постоянный индекс (1, 2, 3 и т.д.). Минимально допустимые интервалы времени между взлетно-посадочными операциями определяются для всех возможных комбинаций взлетающих и приземляющихся ВС (выражение
- обозначает минимально допустимый интервал времени для случая "взлет ВС 1 - взлет ВС 2";
- обозначает минимально допустимый интервал времени для случая "посадка ВС 2 - посадка ВС 3").
Значения ТВВ, ТПП, ТВП, ТПВ определяются как средневзвешенные величины из произведений минимально допустимых интервалов времени между возможными комбинациями ВС на их долю в общей интенсивности движения.
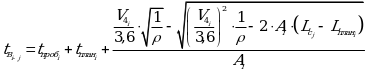
22. Минимально допустимые интервалы времени между взлетно-посадочными операциями определяются исходя из следующих условий.
где:
,
- время выруливания и стоянки на исполнительном старте второго ВС (секунда);
- время разбега первого ВС до точки, соответствующей месту расположения предварительного старта второго ВС (до точки "с") (секунда), согласно приложению N 1 к настоящей Методике;
,
- время разбега до отрыва и набора высоты первым ВС (секунда);
- минимальный временной интервал, учитывающий влияние спутного следа при взлете ВС (секунда).
Режим "посадка-посадка": Для режима "посадка-посадка" временной интервал выбирается наибольшим из следующих:
где:
,
,
,
- время, необходимое первому приземляющемуся ВС для движения от точки, соответствующей точке ухода на второй круг, до торца ВПП (
), от торца до касания ВПП (
), для пробега (
) и отруливания с ВПП (
) (секунда);
- время движения второго приземляющегося ВС по глиссаде из условия обеспечения необходимого продольного эшелонирования (секунда);
- минимальный временной интервал, учитывающий влияние спутного следа при посадке ВС (секунда).
где:
- время, затрачиваемое взлетающим ВС для полета от точки отрыва до торца ВПП (секунда).
где:
- время движения приземляющегося ВС (индекс i) от точки, соответствующей точке ухода на второй круг, до точки "в", соответствующей расположению на предварительном старте взлетающего ВС (индекс j) (секунда), согласно приложению N 2 к настоящей Методике;
- время движения взлетающего ВС от точки отрыва до торца ВПП (секунда).
23. Доли приземляющихся ВС в общей интенсивности движения и доли отдельных типов ВС определяются по формулам:
где: Ui - интенсивность движения i-го типа ВС в полный час (ВС/час);
Un - интенсивность движения приземляющихся ВС в аэропорту в полный час (ВС/час).
24. Время разбега ВС по ВПП (
) определяется по формуле:
где:
- длина разбега i-го ВС в стандартных условиях расположения аэродрома (метр);
- поправочный коэффициент, учитывающий средний продольный уклон ВПП, определяется по следующим формулам:
Lф - фактическая длина ВПП (метр), определяется по исполнительной документации (на строительство или реконструкцию ВПП), а при ее отсутствии - по материалам обследования аэродрома;
iср - средний продольный уклон ВПП, определяется отношением разности отметок высот концов ВПП к фактической длине ВПП, отметки высот концов определяются по исполнительному профилю ВПП;
kH - поправочный коэффициент, учитывающий высоту ВПП над уровнем моря (метр), определяется по формуле:
HИВПП - наивысшая точка поверхности ВПП относительно уровня моря (метр), определяется по исполнительному продольному профилю ВПП (метр);
kt - поправочный коэффициент, учитывающий температуру воздуха на аэродроме, определяется по формуле:
kt = 1 + 0,01 · (tрасч - tст),
tрасч = 1,07 · t13 - 3° - расчетная температура воздуха на аэродроме (°C);
t13 - среднемесячная температура воздуха на аэродроме в 13 ч самого жаркого месяца в году (°C), принимается по климатологическим справочникам;
tст = 15° - 0,0065 · HИВПП - температура стандартной атмосферы на высоте расположения аэродрома над уровнем моря (°C);
- скорость отрыва i-го ВС (км/час);
- поправочный коэффициент, учитывающий относительную плотность воздуха, определяется по формуле:
где: P - атмосферное давление (миллиметров ртутного столба), принимаемое в зависимости от высоты расположения аэродрома.
25. Время набора высоты при взлете (
) определяется по формуле:
где: Hi - высота, на которой заканчивается взлет i-го ВС; принимается равной 10,7 (метр);
- воздушная скорость полета i-го ВС при наборе высоты 10,7 метров (км/час);
- угол наклона траектории полета ВС при взлете.
26. Время выруливания ВС на исполнительный старт определяется по формуле:
где:
- длина пути выруливания i-го ВС на исполнительный старт; принимается в зависимости от схемы организации движения ВС на аэродроме (метр);
- скорость выруливания i-го ВС на исполнительный старт, принимается 20 - 30 (км/час).
27. При определении времени разбега i-го ВС до точки "с" согласно приложению N 1 к настоящей Методике, соответствующей расположению j-го ВС на предварительном старте (
), применяется три расчетных случая:
где:
- удаление точки, соответствующей расположению исполнительного старта i-го ВС на ВПП от торца ВПП (метр);
- удаление точки, соответствующей расположению предварительного старта j-го ВС от торца ВПП (метр).
Расчетные случаи, указанные в подпунктах 1 и 2 настоящего пункта Методики, возможны, когда j-ое ВС выруливает на исполнительный старт по РД, примыкающей не к торцевому участку ВПП, а также в случае отсутствия РД, примыкающих к торцевому участку ВПП.
28. Время движения при взлете i-го ВС от точки отрыва до торца ВПП (
) определяется по формуле:
- скорость набора высоты i-го ВС у противоположного торца ВПП (допускается принимать равной
) (км/час).
29. При определении времени пробега ВС по ВПП (
), в зависимости от схемы его движения, возможны два расчетных случая:
1) пробег ВС осуществляется на ВПП, при этом ВС отруливает на ближайшую РД без разворота на ВПП:
где:
- длина пробега i-го ВС до точки схода с ВПП принимается в зависимости от геометрической схемы РД (количество, конфигурация и места примыкания РД) (метр);
- скорость касания ВПП i-ым ВС (км/час);
- скорость отруливания i-го ВС с ВПП (км/час), для скоростных РД
принимается 80 - 100 км/час;
2) пробег ВС осуществляется на ВПП, при этом для схода необходимо осуществить разворот на ВПП:
- длина участка движения i-го ВС от точки, соответствующей началу разворота на ВПП, до точки, соответствующей сходу ВС с ВПП (метр);
- скорость разворота i-го ВС на ВПП, принимается не более 10 км/час.
30. Время отруливания ВС с ВПП (
) определяется по формуле:
где:
- длина пути отруливания, принимается в зависимости от геометрической схемы РД (метр);
- скорость ВС в конце участка отруливания (км/час).
31. При определении безопасного интервала времени при движении ВС по глиссаде (
) используются следующие случаи посадки ВС:
посадка ВС осуществляется без учета метеоминимумов, тогда:

посадка ВС осуществляется в условиях метеоминимумов I, II и III категории ИКАО, тогда:
где:
- высота, соответствующая точке входа ВС в глиссаду (метр);
HVi - высота, соответствующая точке ухода на второй круг (метр);
tинт - интервал продольного эшелонирования, установленный правилами полетов (секунда).
32. Время движения ВС от точки ухода на второй круг до торца ВПП (
) определяется по формуле:
33. При определении времени движения i-го ВС от высоты, соответствующей точке ухода на второй круг до точки "в" согласно приложению N 2 к настоящей Методике, соответствующей расположению предварительного старта j-го ВС (
), используются следующие расчетные случаи:
1) точка приземления i-го ВС удалена от торца ВПП дальше, чем точка "с" (предварительный старт j-го ВС, расположен на участке планирования i-го ВС), т.е. выполняется условие:
где:
- длина участка от торца ВПП до точки, соответствующей касанию i-ым ВС (метр), принимается равной 800 метров для ВС массой более 100 тонн, 600 метров - для ВС массой 45 - 100 тонн и 400 метров - для ВС массой 10 - 45 тонн и до 10 тонн.
2) точка приземления i-го ВС расположена от торца ВПП ближе, чем точка "с" (предварительный старт j-го ВС расположен на участке пробега i-го ВС), т.е выполняется условие:
где: Ai - замедление при движении i-го ВС по ВПП (метр/секунда2);
где:
- скорость в конце участка пробега, принимается равной
или
в зависимости от расчетного случая пробега (км/час).
34. Время движения ВС от порога ВПП до точки касания (
) для случаев "посадка-посадка", "взлет-посадка" определяется по формуле:
35. Время стоянки ВС на исполнительном старте принимается: для ВС массой более 100 тонн - 60 секунд, для ВС массой 45 - 100 тонн - 50 секунд, для ВС массой 10 - 45 тонн - 35 секунд, для ВС массой до 10 тонн - 30 секунд.
Необходимые взлетно-посадочные характеристики ВС определяются на основании руководств по летной эксплуатации.
36. Пропускная способность одной ВПП, работающей на чередование только приземляющихся или взлетающих ВС, определяется по формулам:
где: ПВ - пропускная способность ВПП, работающей в режиме чередования взлетающих ВС (взлет/час);
где: ПП - пропускная способность ВПП, работающей в режиме чередования приземляющихся ВС (посадка/час).
37. Пропускная способность разнесенных (независимых) ВПП, работающих каждая на чередовании взлетающих и приземляющихся ВС, определяется по формуле:
где: П1, П2 - пропускные способности, соответственно первой и второй ВПП, работающих в режиме чередования взлетно-посадочных операций (взлет-посадка/час).
Пропускные способности П1 и П2 определяются по следующим формулам:
где:
,
,
,
,
,
,
,
- средние допустимые интервалы времени между взлетно-посадочными операциями, соответственно для первой и второй ВПП (секунда);
,
- доля приземляющихся ВС в общей интенсивности движения для первой и второй ВПП.
38. Для близкорасположенных (зависимых) ВПП пропускная способность определяется исходя из специфических особенностей управления воздушным движением на конкретном аэродроме, возможных ограничений на движение ВС, взаимного влияния ВПП друг на друга, возможных сочетаний взлетающих и приземляющихся ВС на обеих ВПП.
39. При проведении расчетов по определению пропускной способности ВПП (как одной, так и системы ВПП) учитываются особенности организации движения ВС на аэродроме, в том числе переруливание ВС (или буксировку ВС) через ВПП, руление (буксировку ВС) по ВПП. Учет данных особенностей осуществляется введением в расчет дополнительного или дополнительных временных ограничительных интервалов времени, например:
где: Lрул - длина пути руления (буксировки) ВС от занятия ВПП до ее освобождения (метр);
Vрул - средняя скорость руления (буксировки) (метр/секунда).
Значение этого интервала или интервалов сравниваются со значением средневзвешенного времени занятия ВПП в соответствии со знаменателями, указанными в формулах пунктов 18, 36, 37 Методики. В расчеты пропускной способности принимаются большие из них.
40. При определении пропускной способности ВПП, выраженной годовым количеством взлетно-посадочных операций, следует учитывать долю времени работы каждого из направлений посадки и взлета.
Годовая пропускная способность ВПП определяется по следующей зависимости:
где:
- годовая пропускная способность ВПП (взлет-посадка/год);
a - доля использования определенного направления ВПП в течение года;
Tr - время закрытия ВПП в течение года на производство ремонтных и профилактических работ (час);
Ts - время закрытия ВПП в течение года на очистку от атмосферных осадков (час);
Tm - время закрытия ВПП в течение года из-за недостаточного минимума аэродрома (час);
Te - время закрытия ВПП в течение года по другим причинам (экологические, отсутствие светосигнального оборудования) (час);
,
- часовая пропускная способность ВПП для первого и второго направлений посадки (взлет-посадка/час).
41. Пропускная способность перрона рассчитывается на основании количества мест стоянок (далее - МС) ВС и их вида:
1) МС, размеры которых позволяют осуществлять стоянку и обслуживание ВС любого типа (далее - универсальные МС);
2) МС, размеры которых позволяют осуществлять стоянку и обслуживание ВС определенных типов (далее - частично универсальные МС);
3) МС, размеры которых позволяют осуществлять стоянку и обслуживание ВС только определенного типа (специализированные МС).
42. Пропускная способность пассажирского перрона определяется по графику согласно приложению N 3 к настоящей Методике. Учитывая количество МС и вид МС, по графику определяют произведение Uпос · Tст,
где: Uпос - возможное количество прибытий ВС на пассажирский перрон для стоянки и обслуживания (пропускная способность);
Tст - среднее время стоянки ВС на пассажирском перроне (час). На основании полученного произведения определяют:
43. Среднее время стоянки ВС на пассажирском перроне следует принимать: 2 часа - для ВС массой более 100 тонн, 1,5 часа - для ВС массой 45 - 100 тонн и 1 час - для ВС массой 10 - 45 тонн и до 10 тонн. Для универсальных и частично универсальных МС среднее время стоянки ВС принимается наибольшим из типов ВС, которые могут их занимать.
44. Пропускная способность рулежных дорожек (далее - РД) определяется исходя из скорости руления (буксировки) и допустимого интервала между ВС, осуществляющими руление (за исключением РД, примыкающих к ВПП, на которых располагаются взлетающие ВС, ожидающие своей очереди для выполнения взлета):
где: ПРД - пропускная способность РД;
VР - средняя скорость руления (буксировки) ВС, принимается для руления ВС - 20 - 30 км/час, для буксировки ВС - 5 - 7 км/час;
lинт - допустимый интервал между ВС (метр), принимается 150 - 200 метров.
45. При определении пропускной способности РД в конкретном аэропорту в формуле пункта 44 Методики дополнительно учитываются временные интервалы, предусматривающие особенности руления (организация движения ВС на аэродроме, наличия путей руления, пересечений путей руления), определяемые на основе данных хронометража.
- Гражданский кодекс (ГК РФ)
- Жилищный кодекс (ЖК РФ)
- Налоговый кодекс (НК РФ)
- Трудовой кодекс (ТК РФ)
- Уголовный кодекс (УК РФ)
- Бюджетный кодекс (БК РФ)
- Арбитражный процессуальный кодекс
- Конституция РФ
- Земельный кодекс (ЗК РФ)
- Лесной кодекс (ЛК РФ)
- Семейный кодекс (СК РФ)
- Уголовно-исполнительный кодекс
- Уголовно-процессуальный кодекс
- Производственный календарь на 2025 год
- МРОТ 2026
- ФЗ «О банкротстве»
- О защите прав потребителей (ЗОЗПП)
- Об исполнительном производстве
- О персональных данных
- О налогах на имущество физических лиц
- О средствах массовой информации
- Производственный календарь на 2026 год
- Федеральный закон "О полиции" N 3-ФЗ
- Расходы организации ПБУ 10/99
- Минимальный размер оплаты труда (МРОТ)
- Календарь бухгалтера на 2026 год
- Частичная мобилизация: обзор новостей
- Постановление Правительства РФ N 1875
,
,
,
,
,
,
,
,
,
;
,
,
,
,
,
,
, то
;
и
,
;
и
,
,
,
,
,
,
,
.
,
;
.
,
,
.
,
,
,
,
,
,
.
,