к Правилам оптового рынка
электрической энергии и мощности
МЕТОДИКА
РАСЧЕТА ЦЕНЫ НА МОЩНОСТЬ ДЛЯ ГЕНЕРИРУЮЩИХ ОБЪЕКТОВ
ТЕПЛОВЫХ ЭЛЕКТРОСТАНЦИЙ, ВКЛЮЧЕННЫХ В ПЕРЕЧЕНЬ ГЕНЕРИРУЮЩИХ
ОБЪЕКТОВ ТЕПЛОВЫХ ЭЛЕКТРОСТАНЦИЙ, ПОДЛЕЖАЩИХ МОДЕРНИЗАЦИИ
(РЕКОНСТРУКЦИИ) ИЛИ СТРОИТЕЛЬСТВУ НА ОТДЕЛЬНЫХ ТЕРРИТОРИЯХ
ЦЕНОВЫХ ЗОН ОПТОВОГО РЫНКА, РАНЕЕ ОТНОСИВШИХСЯ К НЕЦЕНОВЫМ
ЗОНАМ ОПТОВОГО РЫНКА, ДЛЯ КОТОРЫХ ПРАВИТЕЛЬСТВОМ
РОССИЙСКОЙ ФЕДЕРАЦИИ УСТАНАВЛИВАЮТСЯ ОСОБЕННОСТИ
ФУНКЦИОНИРОВАНИЯ ОПТОВОГО И РОЗНИЧНЫХ РЫНКОВ
МЕТОДИКА
РАСЧЕТА ЦЕНЫ НА МОЩНОСТЬ ДЛЯ ГЕНЕРИРУЮЩИХ ОБЪЕКТОВ
ТЕПЛОВЫХ ЭЛЕКТРОСТАНЦИЙ, ВКЛЮЧЕННЫХ В ПЕРЕЧЕНЬ ГЕНЕРИРУЮЩИХ
ОБЪЕКТОВ ТЕПЛОВЫХ ЭЛЕКТРОСТАНЦИЙ, ПОДЛЕЖАЩИХ МОДЕРНИЗАЦИИ
(РЕКОНСТРУКЦИИ) ИЛИ СТРОИТЕЛЬСТВУ НА ОТДЕЛЬНЫХ ТЕРРИТОРИЯХ
ЦЕНОВЫХ ЗОН ОПТОВОГО РЫНКА, РАНЕЕ ОТНОСИВШИХСЯ К НЕЦЕНОВЫМ
ЗОНАМ ОПТОВОГО РЫНКА, ДЛЯ КОТОРЫХ ПРАВИТЕЛЬСТВОМ
РОССИЙСКОЙ ФЕДЕРАЦИИ УСТАНАВЛИВАЮТСЯ ОСОБЕННОСТИ
ФУНКЦИОНИРОВАНИЯ ОПТОВОГО И РОЗНИЧНЫХ РЫНКОВ
Список изменяющих документов
(введена Постановлением Правительства РФ от 23.12.2024 N 1868)
1. Настоящая методика применяется для расчета цен на мощность для генерирующих объектов тепловых электростанций, включенных в перечень генерирующих объектов тепловых электростанций, подлежащих модернизации (реконструкции) или строительству на отдельных территориях ценовых зон оптового рынка, ранее относившихся к неценовым зонам оптового рынка, для которых Правительством Российской Федерации устанавливаются особенности функционирования оптового и розничных рынков (далее соответственно - перечень генерирующих объектов на отдельных территориях, ранее относившихся к неценовым зонам, отдельные территории, ранее относившиеся к неценовым зонам).
2. Цены на мощность для генерирующих объектов тепловых электростанций, включенных в перечень генерирующих объектов на отдельных территориях, ранее относившихся к неценовым зонам, определяются коммерческим оператором оптового рынка в отношении каждого генерирующего объекта.
3. Цена на мощность для генерирующего объекта тепловой электростанции, включенного в перечень генерирующих объектов на отдельных территориях, ранее относившихся к неценовым зонам
, по итогам каждого месяца m периода поставки мощности по договорам, указанным в подпункте 17 пункта 4 Правил оптового рынка электрической энергии и мощности, утвержденных постановлением Правительства Российской Федерации от 27 декабря 2010 г. N 1172 "Об утверждении Правил оптового рынка электрической энергии и мощности и о внесении изменений в некоторые акты Правительства Российской Федерации по вопросам организации функционирования оптового рынка электрической энергии и мощности", но не ранее месяца, в котором определенный системным оператором предельный объем поставки мощности генерирующего объекта впервые был больше нуля, определяется по формуле (рублей/МВт):
OpExm - значение удельных затрат на эксплуатацию генерирующего объекта, равное цене, определенной для первой ценовой зоны (для генерирующих объектов тепловых электростанций, расположенных на входящей в состав Дальневосточного федерального округа отдельной территории, ранее относившейся к неценовым зонам, - для второй ценовой зоны) по итогам конкурентного отбора мощности, проведенного в 2017 году, проиндексированной с 1 января 2018 г. до 31 декабря года, предшествующего году, которому принадлежит месяц m, в соответствии с изменением индекса потребительских цен, определяемого и публикуемого федеральным органом исполнительной власти, осуществляющим функции по формированию официальной статистической информации, и умноженной на коэффициент 1,1136 (рублей/МВт в месяц);
- величина плановой компенсации капитальных затрат на модернизацию (реконструкцию) или строительство генерирующего объекта для месяца m, определяемая в соответствии с пунктом 4 настоящей методики (рублей/МВт в месяц);
НПm - расчетная величина расходов, связанных с уплатой налога на прибыль организаций, определяемая в соответствии с пунктом 9 настоящей методики (рублей/МВт в месяц);
НИm - расчетная величина расходов, связанных с уплатой налога на имущество организаций, определяемая в соответствии с пунктом 10 настоящей методики (рублей/МВт в месяц);
m - порядковый номер месяца поставки мощности генерирующего объекта (m = 1 для месяца, соответствующего дате начала поставки мощности генерирующим объектом, указанной в перечне генерирующих объектов на отдельных территориях, ранее относившихся к неценовым зонам);
- величина, определяемая для месяца m, в соответствии с пунктом 12 настоящей методики (рублей/МВт в месяц);
Ксн - коэффициент, отражающий потребление электрической энергии и мощности на собственные и (или) хозяйственные нужды электростанций, принимаемый равным:
1,033, - для генерирующего объекта газовой генерации, работающего с использованием парогазового цикла, а также для генерирующего объекта на базе газотурбинных установок;
1,058, - для генерирующего объекта газовой генерации, работающего с использованием паросилового цикла;
1,081, - для генерирующего объекта угольной генерации, а также для прочих типов генерирующих объектов.
4. Величина плановой компенсации капитальных затрат на модернизацию (реконструкцию) или строительство генерирующего объекта для месяца m
определяется по формуле:
Rm - не возмещенная по состоянию на начало месяца m часть капитальных затрат на модернизацию (реконструкцию) или строительство генерирующего объекта (рублей/МВт);
НДm - норма доходности (выражаемая в процентах годовых) в отношении месяца m, равная норме доходности, рассчитанной в соответствии с пунктом 11 настоящей методики в отношении календарного года, предшествующего календарному году, к которому относится месяц m.
5. Не возмещенная по состоянию на начало первого (m = 1) месяца часть капитальных затрат на модернизацию (реконструкцию) или строительство генерирующего объекта (R1) определяется по формуле:
КЗуд - удельное значение капитальных затрат на модернизацию (реконструкцию) или строительство генерирующего объекта, определяемое как отношение значения капитальных затрат на модернизацию (реконструкцию) или строительство генерирующего объекта, указанного в решении Правительства Российской Федерации, принятом в соответствии с пунктом 319 Правил оптового рынка электрической энергии и мощности, утвержденных постановлением Правительства Российской Федерации от 27 декабря 2010 г. N 1172 "Об утверждении Правил оптового рынка электрической энергии и мощности и о внесении изменений в некоторые акты Правительства Российской Федерации по вопросам организации функционирования оптового рынка электрической энергии и мощности", и уменьшенного в порядке и в случаях, которые указаны в пункте 322 Правил оптового рынка электрической энергии и мощности, утвержденных постановлением Правительства Российской Федерации от 27 декабря 2010 г. N 1172 "Об утверждении Правил оптового рынка электрической энергии и мощности и о внесении изменений в некоторые акты Правительства Российской Федерации по вопросам организации функционирования оптового рынка электрической энергии и мощности", к значению установленной мощности генерирующего объекта, определенному в перечне генерирующих объектов на отдельных территориях, ранее относившихся к неценовым зонам (рублей/МВт);
Кприв - коэффициент приведения, определяемый в соответствии с пунктом 6 настоящей методики;
Кинд - коэффициент индексации, рассчитываемый в соответствии с изменением индекса потребительских цен, определяемого и публикуемого федеральным органом исполнительной власти, осуществляющим функции по формированию официальной статистической информации, за период с 1 января года, в котором Правительством Российской Федерации утверждены капитальные затраты на модернизацию (реконструкцию) или строительство генерирующего объекта, до 31 декабря (включительно) года, предшествующего году, на который приходится дата, определяемая половиной длительности периода от 1 января года, в котором Правительством Российской Федерации утверждены капитальные затраты на модернизацию (реконструкцию) или строительство генерирующего объекта, до 1 января года, на который приходится дата начала поставки мощности, указанная в перечне генерирующих объектов на отдельных территориях, ранее относившихся к неценовым зонам.
6. Коэффициент приведения (Кприв) определяется по формуле:
НДср. - среднее арифметическое значение норм доходности, определенных в отношении N календарных месяцев, предшествовавших году, на который приходится дата начала фактической поставки мощности. Норма доходности в отношении календарного месяца равна норме доходности, определяемой в соответствии с пунктом 11 настоящей методики в отношении календарного года, к которому относится указанный календарный месяц;
N - срок строительства или модернизации (реконструкции) генерирующего объекта, принимаемый равным:
60 месяцам, - для проектов строительства генерирующих объектов, выработка электрической энергии которых осуществляется с использованием угля;
48 месяцам, - для проектов строительства генерирующих объектов, выработка электрической энергии которых осуществляется с использованием газа;
36 месяцам, - для проектов модернизации (реконструкции) генерирующих объектов, выработка электрической энергии которых осуществляется с использованием угля;
24 месяцам, - для проектов модернизации (реконструкции) генерирующих объектов, выработка электрической энергии которых осуществляется с использованием газа.
7. Не возмещенная по состоянию на начало месяца m, отличного от первого (m > 1), часть капитальных затрат на модернизацию (реконструкцию) или строительство генерирующего объекта (Rm) определяется по формуле:
Rm-1 - не возмещенная по состоянию на начало месяца, предшествующего месяцу m, часть капитальных затрат на модернизацию (реконструкцию) или строительство генерирующего объекта (рублей/МВт);
НДm-1 - норма доходности, рассчитанная в соответствии с пунктом 11 настоящей методики, в отношении календарного года, предшествующего году, к которому относится месяц, предшествующий месяцу m.
8. В случае изменения значения капитальных затрат на модернизацию (реконструкцию) или строительство генерирующего объекта на дату определения цены на мощность в отношении месяца m относительно значения этих затрат, учтенных при определении цены на мощность в отношении предыдущего месяца (m-1), расчет величины не возмещенной по состоянию на начало месяца m части капитальных затрат (Rm-1) производится с учетом изменения всех соответствующих величин (от R1 до Rm-1) включительно).
9. Расчетная величина расходов, связанных с уплатой налога на прибыль организаций (НПm), определяется по формуле:
te - плановый срок (в годах) полезного использования генерирующего объекта, равный 20 годам;
СтавкаНПm - налоговая ставка налога на прибыль организаций, равная величине, указанной в абзаце первом пункта 1 статьи 284 Налогового кодекса Российской Федерации (в редакции, действующей по состоянию на 1 января года, к которому относится месяц m).
Расчетная величина расходов, связанных с уплатой налога на прибыль организаций, не является суммой налога на прибыль организаций, определяемой и уплачиваемой в соответствии с законодательством о налогах и сборах Российской Федерации.
10. Расчетная величина расходов, связанных с уплатой налога на имущество организаций (НИm), определяется по формуле:
где СтавкаНИm - налоговая ставка налога на имущество организаций, равная величине, указанной в пункте 1 статьи 380 Налогового кодекса Российской Федерации (в редакции, действующей по состоянию на 1 января года, к которому относится месяц m).
Расчетная величина расходов, связанных с уплатой налога на имущество организаций, не является суммой налога на имущество, определяемой и уплачиваемой в соответствии с законодательством о налогах и сборах Российской Федерации.
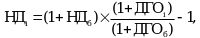
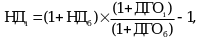
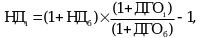
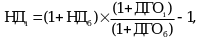
11. Норма доходности (НДi) рассчитывается коммерческим оператором оптового рынка по результатам i-го календарного года. Расчет производится ежегодно с учетом особенностей, предусмотренных договором о присоединении к торговой системе оптового рынка, и определяется по формуле:
НДб - базовый уровень нормы доходности инвестированного капитала, равный 12,5 процента;
ДГОi - средняя доходность долгосрочных государственных обязательств, определяемая по результатам года i коммерческим оператором оптового рынка в порядке, установленном федеральным органом исполнительной власти, осуществляющим функции по выработке государственной политики и нормативно-правовому регулированию в сфере анализа и социально-экономического развития, с учетом особенностей, предусмотренных договором о присоединении к торговой системе оптового рынка;
ДГОб - базовый уровень доходности долгосрочных государственных обязательств, равный 8,5 процента.
12. Величина
определяется по формуле:
- средневзвешенное значение из цен на электрическую энергию, определенных по результатам конкурентного отбора ценовых заявок на сутки вперед, в каждый час предшествующего месяца в группе точек поставки, к которой относится генерирующий объект, по объемам электрической энергии, продаваемой по результатам конкурентного отбора ценовых заявок на сутки вперед в соответствующие часы (рублей/МВт·ч);
- значение переменных (топливных) затрат на выработку электрической энергии, определяемое в соответствии с пунктом 13 настоящей методики (рублей/МВт·ч);
- объем электрической энергии, составляющий обязательства по поставке электрической энергии по регулируемым договорам на оптовый рынок в предшествующем месяце (МВт·ч);
- объем мощности, фактически поставленной на оптовый рынок в предшествующем месяце (МВт);
КИУМ - значение коэффициента использования установленной мощности, равное 0,45;
УМ - объем установленной мощности соответствующего генерирующего объекта (МВт), указанный в перечне генерирующих объектов на отдельных территориях, ранее относившихся к неценовым зонам.
13. Значение переменных (топливных) затрат на выработку электрической энергии
определяется как произведение установленного в соответствии с настоящим пунктом для соответствующих генерирующих объектов значения удельного расхода условного топлива и цены соответствующего вида топлива с учетом калорийного эквивалента соответствующего топлива.
В отношении объектов газовой генерации цена топлива определяется на основании данных, полученных в соответствии с договором о присоединении к торговой системе оптового рынка от поставщика, исходя из оптовой цены на газ, платы за снабженческо-сбытовые услуги и затрат на услуги по транспортировке газа по газораспределительным сетям (в случае оказания в отношении генерирующего объекта таких услуг), сформированных на основании решений федерального органа исполнительной власти в области регулирования тарифов и (или) уполномоченных исполнительных органов субъектов Российской Федерации. В целях определения указанной цены топлива поставщик представляет коммерческому оператору оптового рынка информацию о значении калорийного эквивалента, об установленных федеральным органом исполнительной власти в области регулирования тарифов значениях оптовой цены на газ, платы за снабженческо-сбытовые услуги и о решениях федерального органа исполнительной власти в области регулирования тарифов и (или) уполномоченных исполнительных органов субъектов Российской Федерации, на основании которых формируются затраты на услуги по транспортировке газа по газораспределительным сетям (в случае оказания в отношении генерирующего объекта таких услуг).
В отношении объектов угольной генерации цена топлива определяется на основании данных, полученных от поставщика. В целях определения указанной цены топлива поставщик представляет коммерческому оператору оптового рынка в соответствии с договором о присоединении к торговой системе оптового рынка информацию о значении цены угля с учетом затрат на транспортировку угля и о значении калорийного эквивалента.
Порядок определения цены соответствующего вида топлива с учетом калорийного эквивалента соответствующего топлива и ее составляющих определяется договором о присоединении к торговой системе оптового рынка. В случае непредставления поставщиком информации в соответствии с абзацами вторым и (или) третьим настоящего пункта цена соответствующего вида топлива определяется равной нулю.
Значение удельного расхода условного топлива в целях определения переменных (топливных) затрат на выработку электрической энергии принимается равным нормативу удельного расхода топлива при производстве электрической энергии, установленному для соответствующего генерирующего объекта федеральным органом исполнительной власти, осуществляющим функции по выработке и реализации государственной политики и нормативно-правовому регулированию в сфере топливно-энергетического комплекса, и представленному поставщиком коммерческому оператору оптового рынка в порядке и сроки, которые предусмотрены договором о присоединении к торговой системе оптового рынка, в отношении каждого года поставки мощности с использованием генерирующего объекта. В случае если поставщиком не были направлены величины нормативов удельного расхода топлива, значения удельного расхода условного топлива в целях определения переменных (топливных) затрат на выработку электрической энергии принимаются равными:
240 граммам условного топлива на выработку 1 кВт·ч электрической энергии - для генерирующих объектов на базе парогазовых установок, а также иных типов генерирующих объектов, не относящихся к генерирующим объектам на базе газотурбинных установок и паросиловых установок;
320 граммам условного топлива на выработку 1 кВт·ч электрической энергии - для генерирующих объектов на базе паросиловых установок, использующих в качестве основного топлива природный газ;
346 граммам условного топлива на выработку 1 кВт·ч электрической энергии - для генерирующих объектов на базе газотурбинных установок;
353 граммам условного топлива на выработку 1 кВт·ч электрической энергии - для генерирующих объектов на базе паросиловых установок, использующих в качестве основного топлива уголь.
14. Особенности определения отдельных составляющих, используемых для расчета цен на мощность в соответствии с настоящей методикой, могут быть определены договором о присоединении к торговой системе оптового рынка.
- Гражданский кодекс (ГК РФ)
- Жилищный кодекс (ЖК РФ)
- Налоговый кодекс (НК РФ)
- Трудовой кодекс (ТК РФ)
- Уголовный кодекс (УК РФ)
- Бюджетный кодекс (БК РФ)
- Арбитражный процессуальный кодекс
- Конституция РФ
- Земельный кодекс (ЗК РФ)
- Лесной кодекс (ЛК РФ)
- Семейный кодекс (СК РФ)
- Уголовно-исполнительный кодекс
- Уголовно-процессуальный кодекс
- Производственный календарь на 2025 год
- МРОТ 2025
- ФЗ «О банкротстве»
- О защите прав потребителей (ЗОЗПП)
- Об исполнительном производстве
- О персональных данных
- О налогах на имущество физических лиц
- О средствах массовой информации
- Производственный календарь на 2026 год
- Федеральный закон "О полиции" N 3-ФЗ
- Расходы организации ПБУ 10/99
- Минимальный размер оплаты труда (МРОТ)
- Календарь бухгалтера на 2025 год
- Частичная мобилизация: обзор новостей
- Постановление Правительства РФ N 1875






