4.6. РАСЧЕТ СЕБЕСТОИМОСТИ ПО ТЕХНИКО-ЭКОНОМИЧЕСКИМ ФАКТОРАМ
83. Расчет себестоимости по технико-экономическим факторам (см. приложение 6) рекомендуется проводить по следующей схеме:
- определяются удельные расходы базового периода на 1 руб. товарной продукции (базовым уровнем являются расходы предшествующего периода);
- путем умножения удельных расходов базового периода на объем товарной продукции планируемого периода подсчитывается ее себестоимость при сохранении условий производства и реализации продукции в базовом периоде, т.е. объем товарной продукции планируемого периода принимается в ценах и условиях базового года без учета влияния на него индивидуальных и средних (групповых) цен и повышения качества продукции, изменения размещения производства и других условий;
- определяется снижение (повышение) расходов, включаемых в себестоимость продукции, обусловленное влиянием отдельных технико-экономических факторов.
В расчетах влияния на себестоимость продукции основных технико-экономических факторов выделяются следующие группы факторов:
- повышение технического уровня производства;
- улучшение организации производства и труда;
- изменение объема и структуры производимой продукции;
- отраслевые и прочие факторы.
84. При определении экономии, обусловленной действием всех технико-экономических факторов (кроме изменения объема производства продукции и использования основных средств), учитывается снижение только переменных, прямо пропорциональных объему производства, расходов. Относительная (в расчете на 1 рубль товарной продукции) экономия условно-постоянных расходов и сумм начисленной амортизации рассматривается как результат увеличения (уменьшения) объема производимой продукции и улучшения использования основных средств.
Влияние каждого из технико-экономических факторов на уровень расходов на производство определяется путем расчетов по нижеприведенной методике.
85. Экономия, обусловленная повышением технического уровня и улучшением организации производства и труда, определяется с учетом времени проведения соответствующих мероприятий. Если намеченное в плане мероприятие проводится не с начала года, то в расчете отражается только часть эффекта, полученного за период с начала внедрения мероприятия до конца года. Если мероприятие внедрено в базовом периоде, то в планируемом периоде должна быть учтена переходящая экономия от проведения мероприятий в базовом периоде. Эта экономия равна разнице между величиной условно-переменных расходов на единицу продукции в базовом периоде и их величиной после проведения организационно-технических мероприятий, умноженной на объем производства соответствующих видов продукции в планируемом периоде.
Величина этой экономии может быть определена по формуле:
и
- переменные расходы на единицу продукции до и после проведения мероприятия;
,
- количество единиц продукции, произведенной с начала базисного года до и после проведения мероприятия;
- среднегодовые затраты на единицу продукции в базисном году;
- количество единиц продукции, производимой в планируемом году.
86. В группе "повышение технического уровня производства" выделяются следующие факторы:
- механизация и автоматизация производственных процессов, внедрение новой техники и передовой технологии и автоматизированных систем управления;
- модернизация и улучшение эксплуатации применяемой техники и технологии производства;
- повышение качества продукции;
- внедрение новых видов и замена потребляемого сырья, материалов, топлива и энергии;
- прочие факторы, повышающие технический уровень производства.
87. Основой для определения экономии текущих расходов, обусловленной механизацией и автоматизацией производственных процессов, внедрением передовой технологии и автоматизированных производственных систем управления, является план внедрения достижений науки и техники в производство. Все другие технические мероприятия рассматриваются как модернизация и улучшение эксплуатации применяемой техники и технологии производства (улучшение раскроя, снижение припусков на обработку, внедрение заменителей и т.д.).
Сумма экономии от снижения себестоимости в результате внедрения в производство достижений науки и техники и осуществления других технических мероприятий складывается из уменьшения расходов материальных ресурсов и расходов на оплату труда.
Следует иметь в виду, что величина экономии, обусловленная действием каждого из факторов, определяется комплексно, по всем элементам расходов. Общее снижение каждого вида расходов является результатом действия многих факторов, поэтому в расчетах следует использовать показатели экономии материальных ресурсов, заработной платы и других показателей, связанных с влиянием только конкретного фактора.
88. Экономия от снижения материальных расходов определяется по формуле:
- экономия расходов на сырье, материалы, топливо и энергию;
,
- норма расхода сырья, материалов, топлива и энергии на единицу продукции до (
) и после (
) проведения соответствующего мероприятия;
К - количество единиц продукции, выпускаемой с момента проведения мероприятия до конца планируемого года.
89. Уменьшение расходов на оплату труда, включая суммы единого социального налога, в результате снижения трудоемкости единицы продукции определяется по формуле:
- экономия расходов на оплату труда и сумм единого социального налога (без учета инфляции);
,
- трудоемкость единицы продукции в человеко-днях до (
) и после (
) проведения мероприятия;
,
- среднедневная оплата труда рабочих до (
) и после (
) проведения мероприятия;
Г - установленный процент единого социального налога;
- количество изделий, выпускаемых с момента проведения мероприятия до конца планируемого года.
90. При высвобождении работников, находящихся на повременной оплате труда, экономия определяется по формуле:
Л - количество высвобождающихся работников;
Ф - среднемесячная оплата труда данной категории работников;
М - число месяцев с момента проведения мероприятия и до конца года;
В - средней размер компенсационных выплат в связи с увольнением одного работника.
91. Экономия, получаемая в результате внедрения новых видов и замены потребляемого сырья, материалов, топлива и энергии, должна отражать результаты применения более экономичных материальных ресурсов, например, внедрение заменителей, прогрессивных материалов и др. Она складывается из уменьшения затрат, обусловленных снижением расхода соответствующих видов материальных ресурсов в связи с изменением их структуры, и влияния изменения цен потребления на указанные ресурсы.
Уменьшение затрат, обусловленное снижением расхода материальных ресурсов, подсчитывается путем умножения экономии соответствующих ресурсов в натуральном выражении на средние цены приобретения, сложившиеся в базисном году. Влияние изменения средних цен подсчитывается путем умножения разницы в средних ценах материальных ресурсов в планируемом и базисном году на объем потребления этого ресурса в планируемом году. Совокупное влияние изменения норм расхода и средних цен приобретения в связи с изменением структуры материальных ресурсов может быть подсчитано путем умножения разницы в стоимости расходуемых материальных ресурсов на единицу продукции в базисном и планируемом году на объем производства продукции в планируемом году.
В составе этого фактора определяется воздействие на себестоимость только тех изменений в структуре сырья, материалов, топлива и энергии, которые не связаны с увеличением или уменьшением объема производства отдельных видов продукции.
При определении эффективности внедрения новых видов и замены потребляемого сырья, материалов, топлива и энергии рекомендуется учесть результаты мероприятий, направленных на улучшение снабжения производства всеми видами материальных ресурсов. К их числу относятся: ликвидация потерь в производстве, связанных с использованием материалов, не соответствующих техническим условиям, уменьшение потерь материалов при хранении и транспортировке, улучшение использования тары, применяемой при транспортировке, и т.п.
Предприятия в составе изменений структуры сырья могут выделять влияние специализации и кооперирования производства. При этом учитывается только та часть изменений удельного веса покупных полуфабрикатов и комплектующих изделий, которая не связана с изменением структуры производства.
92. Экономия, обусловленная специализацией производства, может быть определена по формуле:
С - производственная себестоимость отдельных изделий;
Ц - цена приобретения, по которой эти изделия будут поступать от специализированных предприятий;
Р - транспортно-заготовительные расходы соответствующих изделий;
К - количество изделий, получаемых по кооперации с момента проведения специализации и до конца планируемого года.
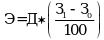
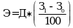
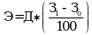
93. Расчеты влияния изменения качества на затраты на 1 руб. товарной продукции, связанные с повышением удельного веса более дорогих видов продукции.
Изменения расходов в связи с повышением качества продукции определяются по формуле:
,
- затраты на единицу продукции до (
) и после (
) повышения качества продукции;
К - количество единиц продукции повышенного качества, изготовляемое в планируемом году.
94. В расчетах влияния на себестоимость улучшения организации производства выделяются следующие основные факторы:
- совершенствование управления производством;
- улучшение организации труда;
- улучшение материально-технического снабжения;
- ликвидация непроизводительных потерь;
- прочие факторы, связанные с совершенствованием организации производства.
Способы определения экономии, обусловленной улучшением организации производства, аналогичны расчетам влияния факторов, связанных с повышением технического уровня производства.
95. При определении экономии от совершенствования управления производством определяется эффективность таких мероприятий, как укрупнение цехов и участков, внедрение бесцеховой структуры управления, внедрение автоматизированных систем управления производством, рациональное изменение структуры предприятия и цехов и т.п.
При этом экономия исчисляется за счет сокращения численности аппарата, содержания зданий, канцелярских и других расходов.
В расчетах эффективности улучшения организации труда учитывается экономия от уменьшения простоев и сокращения потерь рабочего времени, уменьшения числа рабочих, не выполняющих нормы выработки, ликвидации отступлений от принятой технологии производства и нормативных условий работы, а также других мероприятий.
96. Экономия, получаемая в результате улучшения организации труда, рассчитывается путем умножения числа высвобождающихся рабочих на среднюю оплату труда, включая сумму единого социального налога в базисном году и с учетом расходов на спецодежду, питание и т.д.
При определении экономии от улучшения материально-технического снабжения подсчитывается эффективность мероприятий, обеспечивающих сокращение транспортно-заготовительных расходов в результате сокращения расстояний и улучшения способов доставки, сокращение заготовительно-складских расходов.
Расходы, связанные с набором рабочей силы, предусмотренные действующим законодательством, включая расходы на оплату выпускникам средних профессионально-технических училищ и молодым специалистам, окончившим высшее и среднее специальное заведение, проезда к месту работы, а также по предоставлению отпуска перед началом работы. Уменьшение набора рабочей силы снижает долю затрат, включаемую в состав общезаводских расходов, и приводит к снижению себестоимости продукции.
Экономия от ликвидации непроизводительных расходов и потерь определяется как произведение суммы этих расходов и потерь в базисном году на темп роста товарной продукции в планируемом году.
Влияние на себестоимость сокращения брака подсчитывается в целом независимо от того, в результате каких технических или организационных мероприятий достигается снижение брака.
Экономия от снижения брака определяется путем умножения потерь от брака в базисном году на темп роста товарной продукции в планируемом году по сравнению с базисным.
97. В расчетах влияния изменения объема и структуры производимой продукции выделяются следующие основные факторы:
- относительное сокращение условно-постоянных расходов (кроме амортизации), обусловленное ростом объема производимой продукции;
- улучшение использования основных средств и связанное с этим относительное уменьшение суммы начисленной амортизации;
- изменение структуры производимой продукции.
Величина относительного сокращения условно-постоянных расходов определяется исходя из удельного веса этих расходов в себестоимости товарной продукции базового периода.
Учитывая, что рост объема производимой продукции вызывает некоторое увеличение условно-постоянных расходов, для расчетов планируемого периода удельный вес условно-постоянных расходов базового периода уточняется. Для этого условно-постоянные расходы приводятся к постоянным с помощью следующей формулы:
- удельный вес приведенных условно-постоянных расходов в себестоимости товарной продукции базисного периода или в отдельных элементах (статьях) расходов, в %;
У - удельный вес условно-постоянных расходов в себестоимости товарной продукции или в отдельных элементах (статьях) расходов в базисном году, в %;
Т - темп прироста объема товарной продукции в планируемом году по сравнению с базисным периодом, в %;
Д - темп прироста данного вида расходов в связи с ростом объема производства, %.
Относительная экономия на условно-постоянных расходах в результате увеличения объема производства определяется по формуле:
- экономия на условно-постоянных расходах, тыс. руб.;
Т - темп прироста товарной продукции в планируемом году по сравнению с базисным годом, в %;
- себестоимость товарной продукции или отдельных элементов расходов в базисном году, тыс. руб.;
- удельный вес приведенных постоянных расходов в себестоимости товарной продукции или отдельных элементов расходов базисного года, в %.
Экономия на постоянных расходах подсчитывается исходя из темпа прироста товарной продукции без учета увеличения (уменьшения) ее объема в связи с повышением качества выпускаемой продукции и т.п.
98. Влияние изменения суммы начисленной амортизации на себестоимость продукции в результате изменения объема производства определяется по формуле:
- экономия в связи с относительным снижением суммы начисленной амортизации, тыс. руб.;
и
- общая сумма начисленной амортизации в базовом (
) и планируемом (
) году, тыс. руб.;
и
- объем товарной продукции в базисном и планируемом году, тыс. руб.;
К - коэффициент, учитывающий величину затрат по суммам начисленной амортизации, относимых на себестоимость продукции.
Аналогично подсчитывается экономия (удорожание) в связи с относительным изменением отчислений в ремонтный фонд.
99. Влияние изменения структуры продукции, т.е. изменения удельного веса отдельных изделий в общем объеме товарной продукции на уровень расходов, определяется на основе данных о ценах по переменным расходам на производство отдельных видов продукции в базисном году и объема их производства в базисном и планируемом годах. Величина переменных расходов подсчитывается на основе калькуляции базисного года, а по новым, не производившимся в базисном году видам продукции, - на основе плановых калькуляций планируемого года.
Разница между полученными итоговыми данными по переменным расходам и оплатой труда производственных рабочих распределяется по элементам расходов (кроме сумм начисленной амортизации) пропорционально удельному весу отдельных элементов расходов в себестоимости товарной продукции планируемого года (за исключением оплаты труда, включая суммы единого социального налога и суммы начисленной амортизации), определенному исходя из уровня расходов базисного года.
100. В группе "Отраслевые и прочие факторы" выделяются следующие факторы:
- ввод новых (ликвидация устаревших и малоэффективных цехов, производств, агрегатов);
Влияние ввода новых (ликвидация устаревших и малоэффективных цехов, производств и агрегатов) определяется по следующей формуле:
Э - экономия (повышение) расходов в связи с вводом нового цеха, производства;
Д - объем товарной продукции нового цеха, производства в планируемом году;
и
- затраты на 1 руб. товарной продукции предприятия в базисном (
) году и нового цеха, производства в планируемом году (
). Эти затраты (
) обосновываются проектными (плановыми) калькуляциями производства продукции в данном цехе (производстве) и показываются в элементном разрезе.
Влияние списания пусковых расходов определяется путем умножения разницы в сумме списания этих расходов на единицу продукции в планируемом и базисных годах на объем производства соответствующего вида продукции в планируемом году.
Данные об экономии, связанной с влиянием отдельных факторов, обобщаются в сводном расчете снижения себестоимости по технико-экономическим факторам.
- Гражданский кодекс (ГК РФ)
- Жилищный кодекс (ЖК РФ)
- Налоговый кодекс (НК РФ)
- Трудовой кодекс (ТК РФ)
- Уголовный кодекс (УК РФ)
- Бюджетный кодекс (БК РФ)
- Арбитражный процессуальный кодекс
- Конституция РФ
- Земельный кодекс (ЗК РФ)
- Лесной кодекс (ЛК РФ)
- Семейный кодекс (СК РФ)
- Уголовно-исполнительный кодекс
- Уголовно-процессуальный кодекс
- Производственный календарь на 2025 год
- МРОТ 2026
- ФЗ «О банкротстве»
- О защите прав потребителей (ЗОЗПП)
- Об исполнительном производстве
- О персональных данных
- О налогах на имущество физических лиц
- О средствах массовой информации
- Производственный календарь на 2026 год
- Федеральный закон "О полиции" N 3-ФЗ
- Расходы организации ПБУ 10/99
- Минимальный размер оплаты труда (МРОТ)
- Календарь бухгалтера на 2026 год
- Частичная мобилизация: обзор новостей
- Постановление Правительства РФ N 1875
, где:
, где:
, где:
, где:
, где:
, где:
, где:
, где:
, где:
, где: