к МР 4.3.0387-25
1. Оценка неопределенности результатов измерений с уровнем доверия N = 95% проводится в 4 этапа по следующей схеме.
1.1. Оценивается стандартная неопределенность по типу A (uA) результата, вычисленного как среднее арифметическое
из n измерений по формуле (4):
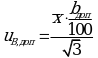
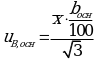
1.2. Оценивается стандартная неопределенность по типу B (uB), обусловленная основной (bосн) и дополнительной (bдоп) приборной погрешностью по формулам (5.1, 5.2):
Если основная (bосн) и дополнительная (bдоп) приборная погрешность выражена в процентах, то стандартная неопределенность по типу B (bB,осн, bB,доп) вычисляется по формулам (6.1, 6.2):
1.3. Вычисляется суммарная стандартная неопределенность (uС) по формуле (7):
1.4. Вычисляется расширенная неопределенность (Uр) по формуле (8):
k - коэффициент охвата, значение которого принимается в зависимости от вида интервала (при одностороннем интервале - 1,645, при двустороннем - 2) и зависит от распределения возможных значений измеряемой величины и уровня доверия.
2. Результат измерения в зависимости от вида интервала представляется в виде:
- Гражданский кодекс (ГК РФ)
- Жилищный кодекс (ЖК РФ)
- Налоговый кодекс (НК РФ)
- Трудовой кодекс (ТК РФ)
- Уголовный кодекс (УК РФ)
- Бюджетный кодекс (БК РФ)
- Арбитражный процессуальный кодекс
- Конституция РФ
- Земельный кодекс (ЗК РФ)
- Лесной кодекс (ЛК РФ)
- Семейный кодекс (СК РФ)
- Уголовно-исполнительный кодекс
- Уголовно-процессуальный кодекс
- Производственный календарь на 2025 год
- МРОТ 2026
- ФЗ «О банкротстве»
- О защите прав потребителей (ЗОЗПП)
- Об исполнительном производстве
- О персональных данных
- О налогах на имущество физических лиц
- О средствах массовой информации
- Производственный календарь на 2026 год
- Федеральный закон "О полиции" N 3-ФЗ
- Расходы организации ПБУ 10/99
- Минимальный размер оплаты труда (МРОТ)
- Календарь бухгалтера на 2026 год
- Частичная мобилизация: обзор новостей
- Постановление Правительства РФ N 1875
(4)
(5.1)
(5.2)
(6.1)
(6.2)
(7)
или
.