2. Расчет расширенной неопределенности измерений интенсивности ГМП на рабочем месте в помещении
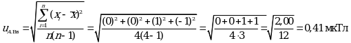
2.1. Для рабочего места вычисляется стандартная неопределенность по типу A (uA) по формуле (4) с учетом того, что определяющим при расчете
является минимальное значение интенсивности ГГМП, Bв, на рабочем месте (п. 5.2):
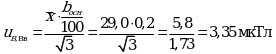
2.2. Для рабочего места вычисляется стандартная неопределенность по типу B (uB), обусловленная основной приборной погрешностью, по формуле (6.1):
2.3. Для рабочего места вычисляется суммарная стандартная неопределенность (uС) по формуле (7):
Расширенная неопределенность измерений интенсивности ГГМП на рабочем месте (UB) определяется по формуле (8), при неизвестном законе распределения принимается коэффициент охвата k = 2:
UBв,ср = 2 · uС,Bв,ср = 2 · 3,4 = 6,8 мкТл
2.4. Результат измерений в помещении: BВ = 29,0 +/- 6,8 мкТл.
- Гражданский кодекс (ГК РФ)
- Жилищный кодекс (ЖК РФ)
- Налоговый кодекс (НК РФ)
- Трудовой кодекс (ТК РФ)
- Уголовный кодекс (УК РФ)
- Бюджетный кодекс (БК РФ)
- Арбитражный процессуальный кодекс
- Конституция РФ
- Земельный кодекс (ЗК РФ)
- Лесной кодекс (ЛК РФ)
- Семейный кодекс (СК РФ)
- Уголовно-исполнительный кодекс
- Уголовно-процессуальный кодекс
- Производственный календарь на 2025 год
- МРОТ 2026
- ФЗ «О банкротстве»
- О защите прав потребителей (ЗОЗПП)
- Об исполнительном производстве
- О персональных данных
- О налогах на имущество физических лиц
- О средствах массовой информации
- Производственный календарь на 2026 год
- Федеральный закон "О полиции" N 3-ФЗ
- Расходы организации ПБУ 10/99
- Минимальный размер оплаты труда (МРОТ)
- Календарь бухгалтера на 2025 год
- Частичная мобилизация: обзор новостей
- Постановление Правительства РФ N 1875


