приказом МЧС России
от 27 июня 2025 г. N 554
1. Настоящая методика устанавливает порядок определения расчетных величин пожарного риска для людей, находящихся в подземных сооружениях метрополитена и на станциях метрополитена, через которые осуществляется движение и перевозка пассажиров, а также сообщающихся с ними помещениях метрополитена (далее - сооружения метрополитена). Объектом расчета пожарного риска является станция с примыкающими к ней помещениями и сооружениями и прилегающие к станции перегоны.
Настоящая методика не распространяется на электродепо, инженерные корпуса метрополитенов и наружные открытые пути.
2. Расчетными величинами, характеризующими величину пожарного риска для людей в сооружениях метрополитена, являются:
а) индивидуальный пожарный риск для работников метрополитена (Rраб);
б) индивидуальный пожарный риск для пассажиров и других находящихся в сооружениях метрополитена людей, не являющихся работниками метрополитена (Rпос).
3. Численным выражением величин, указанных в пункте 2 настоящей методики, являются частоты воздействия опасных факторов пожара <1> (далее - ОФП) на работников метрополитена (далее - работники) и пассажиров и других находящихся в сооружениях метрополитена людей, не являющихся работниками (далее - посетители), находящихся в сооружениях метрополитена.
--------------------------------
<1> Статья 9 Федерального закона от 22 июля 2008 г. N 123-ФЗ "Технический регламент о требованиях пожарной безопасности" (далее - Федеральный закон N 123-ФЗ).
4. Расчеты по оценке пожарного риска для сооружений метрополитена проводятся путем сопоставления расчетных величин пожарного риска с нормативными значениями величин пожарного риска, установленными Федеральным законом N 123-ФЗ, для производственных объектов.
Нормативная величина индивидуального пожарного риска для сооружений метрополитена не должна превышать одну миллионную в год (Rнорм = 10-6 год-1). Для работников, задействованных в тушении пожара, спасении людей, а также выполняющих иные обязанности при возникновении пожара, предусмотренные должностной инструкцией, допускается увеличение нормативной величины индивидуального пожарного риска до одной десятитысячной в год (Rнорм = 10-4 год-1).
5. Определение расчетных величин пожарного риска производится на следующих основаниях:
а) анализ пожарной опасности объектов защиты;
б) определение частоты возникновения пожара (частоты реализации пожароопасных ситуаций);
в) построение полей опасных факторов пожара для различных сценариев его развития;
г) оценка последствий воздействия опасных факторов пожара на работников и посетителей для различных сценариев его развития;
д) анализ состава системы обеспечения пожарной безопасности объектов защиты.
6. Для проведения анализа пожарной опасности осуществляется сбор данных о сооружении метрополитена, который включает:
а) объемно-планировочные решения сооружений метрополитена (далее - объемно-планировочные решения);
б) теплофизические характеристики ограждающих конструкций;
в) вид, количество и размещение горючих веществ и материалов;
г) количество людей и места их вероятного нахождения;
д) информацию о технических средствах системы противопожарной защиты (система пожарной сигнализации, автоматические установки пожаротушения, система оповещения и управления эвакуацией людей при пожаре, системы противодымной защиты);
е) информацию об инженерных системах объекта защиты, влияющих на развитие пожара и эвакуацию людей.
7. На основании полученных данных производится анализ пожарной опасности сооружения метрополитена, при этом рассматриваются:
а) возможная динамика развития пожара;
б) состав и характеристики технических средств системы противопожарной защиты;
в) возможные последствия воздействия пожара на людей.
8. Для получения исходных данных, необходимых для проведения расчетов, предусмотренных настоящей методикой, используются нормативные документы, проектная и иная документация метрополитена, а также научные статьи, монографии, справочники, методические рекомендации, учебники, пособия, материалы конференций, диссертации, авторефераты диссертаций, отчеты о научно-исследовательских работах, отчеты об опытно-конструкторских работах (далее - справочные источники информации) или данные из экспериментальных исследований.
9. Определение расчетных величин пожарного риска проводится для подтверждения условия соответствия объекта защиты требованиям пожарной безопасности, указанного в пункте 2 части 1 статьи 6 Федерального закона N 123-ФЗ (при невыполнении требований нормативных документов по пожарной безопасности, которые влияют на результаты и промежуточные параметры при проведении расчетов по настоящей методике), а также для подтверждения эффективности мероприятий, разработанных (разрабатываемых) в рамках специальных технических условий, отражающих специфику обеспечения пожарной безопасности зданий и сооружений и содержащих комплекс необходимых инженерно-технических и организационных мероприятий по обеспечению пожарной безопасности или комплекса необходимых инженерно-технических и организационных мероприятий по обеспечению пожарной безопасности.
10. Если расчет величины пожарного риска проводится для подтверждения условия соответствия объекта защиты требованиям пожарной безопасности, указанного в пункте 2 части 1 статьи 6 Федерального закона N 123-ФЗ (при невыполнении требований нормативных документов по пожарной безопасности, которые влияют на результаты и промежуточные параметры при проведении расчетов по настоящей методике), рассматриваются сценарии пожара, при которых анализируются параметры и характеристики сооружений метрополитена, обуславливающие наличие указанных отступлений, в том числе сценарии пожара в помещениях и частях сооружений метрополитена, где имеются отступления. Расчетом величины пожарного риска не допускается обосновывать отказ от оборудования сооружений метрополитена техническими средствами системы противопожарной защиты, а также изменение их характеристик.
11. Индивидуальный пожарный риск является допустимым, если:
где R - расчетная величина индивидуального пожарного риска для работников или посетителей;
Rнорм - нормативное значение индивидуального пожарного риска.
12. Расчетная величина пожарного риска для посетителей в сооружениях метрополитена определяется как сумма произведений частоты реализации i-го сценария пожара на его последствия для человека (Rпос):
где i - номер сценария пожара;
I - количество возможных сценариев пожара;
Qi - частота реализации i-го сценария пожара;
Si - условная вероятность воздействия ОФП на человека при реализации i-го сценария пожара.
13. При выборе сценария развития пожара анализируется место возникновения пожара и характер его развития. Сценарий пожара определяется на основе данных об объемно-планировочных решениях, о размещении горючей нагрузки и нахождении людей в сооружениях метрополитена.
В помещении, имеющем два и более эвакуационных выхода, очаг пожара следует размещать вблизи выхода, имеющего наибольшую пропускную способность. При этом данный выход считается блокированным с первых секунд пожара и при определении расчетного времени эвакуации не используется. В помещении с одним эвакуационным выходом время блокирования выхода определяется расчетом, при котором очаг пожара размещается в центре помещения.
Для помещения, в котором в соответствии с требованиями нормативных документов по пожарной безопасности следует предусматривать два и более эвакуационных выхода, обосновывать расчетом устройство только одного эвакуационного выхода не допускается.
Сценарии пожара, возникновение которых связано с стихийными бедствиями, терактами, поджогами, хранением горючей нагрузки, не предусмотренной назначением сооружения метрополитена, не рассматриваются.
14. Допускается вместо рассмотрения всех сценариев пожара, которые могут реализовываться в сооружениях метрополитена, рассматривать несколько сценариев пожара, каждый из которых характеризует группу аналогичных между собой сценариев пожара (далее - кластер сценариев). При этом в качестве характерного выбирается сценарий пожара с наихудшими последствиями для работников и посетителей. В качестве сценариев пожара с наихудшими последствиями следует рассматривать сценарии пожара, характеризуемые наиболее затрудненными условиями эвакуации людей и (или) наиболее высокой динамикой нарастания ОФП.
Частота реализации каждого из предусмотренных в настоящем пункте сценариев пожара принимается равной сумме частот реализации характеризуемых им сценариев пожара.
Частоты реализации кластеров сценариев определяются в соответствии с приложением N 1 к настоящей методике.
15. При проведении расчета в соответствии с пунктом 14 настоящей методики необходимо рассмотреть следующие кластеры сценариев:
а) пожары технологической пожарной нагрузки в перегонном тоннеле (включая наземные перегоны частично или полностью огражденные строительными и иными конструкциями) и пожары в притоннельных сооружениях метрополитена и помещениях, выходящих в перегонный тоннель;
б) пожары подвижного состава в перегонных тоннелях (рассматривается пожар в аппаратном отсеке, приводящий к остановке состава в тоннеле);
в) пожары подвижного состава в соединительных тоннелях (рассматривается пожар в аппаратном отсеке);
г) пожары в тупиках, где предусматривается ночной отстой составов;
д) пожары в платформенных залах и на платформах станции (рассматривается пожар в подвагонном оборудовании прибывшего на станцию поезда, необходимость рассматривать сценарии пожара непосредственно на платформе или в сообщающихся с ней помещениях определяется по результатам анализа объемно-планировочных решений). При рассмотрении пожара подвагонного оборудования мощность очага пожара следует задавать линейной зависимостью от 0 МВт в момент времени 0 минут до 6 МВт в момент времени 30 минут. Дымообразующую способность следует принимать равной 300 (Нп.м2)/кг, удельный выход CO - равным 0,08 кг/кг, удельный выход CO2 - равным 1,5 кг/кг, удельное потребление O2 - равным 1,53 кг/кг. При этом моментом начала пожара следует считать время отправления поезда с предыдущей станции. Время прибытия на станцию следует определять расчетом исходя из средней скорости движения состава 40 км/ч. В случаях, когда характеристики системы противодымной защиты не обеспечивают отсутствие опасных факторов пожара в перегонных тоннелях, при рассмотрении сценариев пожара, возникающего на станции, перегонные тоннели (или их часть) следует включать в расчетную область с целью подтверждения обеспечения безопасности людей, находящихся в подвижном составе в перегонных тоннелях;
е) пожары в вестибюлях и кассовых залах станции, а также в помещениях (группах помещений), выходящих в вестибюли и кассовые залы;
ж) пожары в межстанционных переходах и переходах между выходом со станции и вестибюлем (при наличии в них горючей нагрузки), а также в помещениях, выходящих в указанные переходы;
з) пожары в блоках технологических, бытовых и служебных помещений, производственных и технических помещениях, не относящиеся ни к одному из кластеров сценариев, предусмотренных подпунктами "а" - "ж" настоящего пункта;
и) пожары в общественных помещениях, не относящиеся ни к одному из кластеров сценариев, предусмотренных подпунктами "а" - "з" настоящего пункта;
к) пожары в пешеходных переходах, проектируемых в составе сооружений метрополитена.
16. В случае, когда в один из кластеров сценариев, предусмотренных пунктом 15 настоящей методики, входят различные типы сценариев пожара, которые не могут быть описаны одним характерным сценарием пожара, кластер сценариев необходимо разделить на несколько кластеров сценариев.
В случаях, когда предусмотренные пунктом 15 настоящей методики кластеры сценариев не отражают всех особенностей сооружения метрополитена, возможно рассмотрение иных кластеров сценариев.
Один или несколько кластеров сценариев могут быть исключены из рассмотрения по результатам проведенного анализа при наличии обоснования такого исключения.
17. Условная вероятность воздействия ОФП на посетителей метрополитена при реализации i-го сценария пожара определяется как максимальное значение вероятности воздействия ОФП из полученных для всех групп эвакуируемых людей (Si):
Si = max{Si,j} для всех j=1, 2,..., J (3)
где Si,j - условная вероятность воздействия ОФП на посетителей метрополитена для j-й группы эвакуируемых людей при реализации i-го сценария пожара;
J - количество групп эвакуируемых людей, определяемых в соответствии с пунктами 2 - 5 приложения N 2 к настоящей методике.
18. Условная вероятность воздействия ОФП на посетителей метрополитена при реализации i-го сценария пожара для j-й группы эвакуируемых людей (Si,j) определяется по следующей формуле:
Si,j = (1 - Kап,i) · Pпр,i,j · (1 - Pэ,i,j) ·
· (1 - Kп.з,i), (4)
где Si - условная вероятность воздействия ОФП на человека при реализации i-го сценария пожара;
Kап,i - коэффициент, характеризующий соответствие установок автоматического пожаротушения (далее - АУП) требованиям нормативных документов по пожарной безопасности. Значение параметра Kап,i принимается равным Kап,i = 0,9, если выполняется хотя бы одно из следующих условий:
сооружение метрополитена оборудовано системой АУП, соответствующей требованиям нормативных документов по пожарной безопасности;
оборудование сооружения метрополитена системой АУП не требуется в соответствии с требованиями нормативных документов по пожарной безопасности;
эффективность системы подтверждена на основании условия соответствия сооружения метрополитена требованиям пожарной безопасности, предусмотренным пунктом 5 части 1 статьи 6 Федерального закона N 123-ФЗ;
в остальных случаях Kап,j принимается равным нулю;
Pпр,i - вероятность присутствия посетителей, определяемая из соотношения Pпр,i,j = tфункц,i / 24, где tфункц,i - время доступа посетителей в сооружения метрополитена в течение суток (в часах);
Pэ,i,j - вероятность эвакуации посетителей;
Kп.з,i - коэффициент, характеризующий соответствие технических средств системы противопожарной защиты, направленной на обеспечение безопасной эвакуации посетителей при пожаре, требованиям нормативных документов по пожарной безопасности.
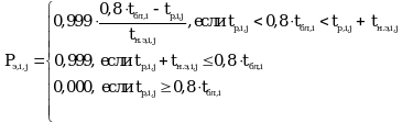
19. Вероятность эвакуации посетителей при пожаре при реализации i-го сценария пожара (Pэ,i,j) определяется по следующей формуле:
где tp,i,j - расчетное время эвакуации для j-й группы эвакуируемых людей при реализации i-го сценария пожара (в минутах);
tнэ,i,j - время начала эвакуации для j-й группы эвакуируемых людей при реализации i-го сценария пожара (в минутах);
tбл,i - время блокирования путей эвакуации при реализации i-го сценария пожара (в минутах).
20. Расчетное время эвакуации людей (tp) из помещений и других частей сооружений метрополитена определяется на основе моделирования движения людей до выхода наружу или в безопасную зону по математической модели индивидуально-поточного движения людей, приведенной в приложении N 7 к методике определения расчетных величин пожарного риска в зданиях, сооружениях и пожарных отсеках различных классов функциональной пожарной опасности, утвержденной приказом МЧС России от 14 ноября 2022 г. N 1140 <2>, согласно приложению N 2 к настоящей методике.
--------------------------------
<2> Зарегистрирован Министерством юстиции Российской Федерации 20 марта 2023 г., регистрационный N 72633.
21. Время начала эвакуации (tнэ) определяется в соответствии с приложением N 3 к настоящей методике.
22. Время блокирования путей эвакуации (tбл) определяется путем расчета времени достижения ОФП предельно допустимых значений на эвакуационных путях в различные моменты времени с помощью полевого метода в соответствии с порядком проведения расчета и математической моделью для определения времени блокирования путей эвакуации опасными факторами пожара, приведенным в приложении N 1 к методике определения расчетных величин пожарного риска в зданиях, сооружениях и пожарных отсеках различных классов функциональной пожарной опасности, утвержденной приказом МЧС России от 14 ноября 2022 г. N 1140 <2>. Для перегонных и других тоннелей строится график зависимости времени блокирования и расчетного времени эвакуации (tp) на высоте 1,7 м по длине тоннеля.
При проведении расчета времени блокирования путей эвакуации (tбл) необходимо указывать расчетную область, начальные и граничные условия, особенности математической модели в части применяемых технических средств системы противопожарной защиты, а также обосновывать их выбор.
При обосновании граничных условий, характеризующих работу системы противодымной защиты, могут быть использованы расчетные данные воздухораспределения вентиляционной сети.
Время выхода установок тоннельной вентиляции на аварийный режим работы, отличающийся от эксплуатационного, следует принимать согласно технической документации завода-изготовителя, но не менее 1 минуты без переключения вентиляции в реверс, не менее 3 минут при переключении вентиляции в реверс.
23. Коэффициент, характеризующий соответствие технических средств системы противопожарной защиты, направленной на обеспечение безопасной эвакуации людей при пожаре, требованиям нормативных документов по пожарной безопасности (Kп.з,i), рассчитывается по следующей формуле:
Kп.з,i = 1 - (1 - Kобн,i · KСОУЭ,i) ·
· (1 - Kобн,i · KПДЗ,i), (6)
где Kобн,i - коэффициент, характеризующий соответствие системы пожарной сигнализации требованиям нормативных документов по пожарной безопасности;
KСОУЭ,i - коэффициент, характеризующий соответствие системы оповещения и управления эвакуацией людей при пожаре требованиям нормативных документов по пожарной безопасности;
KПДЗ,i - коэффициент, характеризующий соответствие системы противодымной защиты требованиям нормативных документов по пожарной безопасности.
24. Эффективность каждой из систем, предусмотренной в пункте 23 настоящей методики, определяется степенью влияния на параметры tp, tбл, tнэ, а также параметрами Kобн, KСОУЭ, KПДЗ, Kап.
Значение параметра Кобн,i принимается равным 0,8 в случае, если выполняется хотя бы одно из следующих условий:
сооружение метрополитена оборудовано системой пожарной сигнализации, соответствующей требованиям нормативных документов по пожарной безопасности;
оборудование сооружения метрополитена системой пожарной сигнализации не требуется в соответствии с требованиями нормативных документов по пожарной безопасности;
эффективность системы подтверждена согласно пункту 5 части 1 статьи 6 Федерального закона N 123-ФЗ.
25. В остальных случаях значение параметра Kобн,i принимается равным нулю.
26. Значение параметра КСОУЭ,i принимается равным 0,8, если выполняется хотя бы одно из следующих условий:
а) сооружение метрополитена оборудовано системой оповещения и управления эвакуацией людей при пожаре, соответствующей требованиям нормативных документов по пожарной безопасности;
б) оборудование сооружения метрополитена системой оповещения и управления эвакуацией людей при пожаре не требуется в соответствии с требованиями нормативных документов по пожарной безопасности;
в) эффективность системы подтверждена согласно пункту 5 части 1 статьи 6 Федерального закона N 123-ФЗ.
27. В остальных случаях KСОУЭ,i принимается равным нулю.
28. Значение параметра КПДЗ,i принимается равным 0,8, если выполняется хотя бы одно из следующих условий:
а) сооружение метрополитена оборудовано системой противодымной защиты, соответствующей требованиям нормативных документов по пожарной безопасности;
б) оборудование сооружения метрополитена системой противодымной защиты не требуется в соответствии с требованиями нормативных документов по пожарной безопасности;
в) эффективность системы подтверждена на основании условия соответствия сооружения метрополитена требованиям пожарной безопасности, предусмотренным пунктом 5 части 1 статьи 6 Федерального закона N 123-ФЗ.
29. В остальных случаях KПДЗ,i принимается равным нулю.
30. Индивидуальный пожарный риск для работников (Rраб) определяется как максимальное значение пожарного риска для конкретного работника из всех находящихся в сооружениях метрополитена:
Rраб = max{Rраб,m} для всех m=1, 2,..., M, (7)
где Rраб,m - расчетная величина пожарного риска для m-го работника;
M - количество работников в сооружениях метрополитена.
31. Расчетная величина пожарного риска для m-го работника определяется по следующей формуле:
где i - номер сценария пожара;
I - количество возможных сценариев пожара;
Qi - частота реализации i-го сценария пожара;
Si,m - условная вероятность воздействия ОФП на m-го работника при реализации i-го сценария пожара.
32. Условная вероятность воздействия ОФП на m-го работника при реализации i-го сценария пожара определяется по следующей формуле:
где qk - вероятность присутствия работника в k-м помещении;
N - количество помещений, в которых работник может находиться;
Qdik - условная вероятность воздействия на работника опасных факторов пожара при его нахождении в k-м помещении при реализации i-го сценария пожара.
33. Условная вероятность воздействия на работника опасных факторов пожара (Qdik) определяется по следующей формуле:
Qdik = (1 - Kап,i) · (1 - PЭik) · (1 - Kп.з,i), (10)
где PЭik - вероятность эвакуации людей, находящихся в k-ом помещении (зоне) сооружения метрополитена, при реализации i-го сценария пожара.
34. Вероятность эвакуации (PЭik) определяется по следующей формуле:
PЭik = 1 - (1 - PЭ.Пi,k) · (1 - PД.Вik), (11)
где PЭ.Пik - вероятность эвакуации людей, находящихся в k-ом помещении (зоне) сооружения метрополитена, по эвакуационным путям при реализации i-го сценария пожара;
PД.Вik - вероятность выхода из сооружения метрополитена людей, находящихся в k-ом помещении (зоне) сооружения метрополитена, через аварийные или иные выходы.
При отсутствии данных вероятность PД.Вij допускается принимать равной 0,03 при наличии аварийных или иных выходов и 0,001 при их отсутствии.
35. Вероятность эвакуации по эвакуационным путям PЭ.Пik для помещений (зон) сооружения метрополитена, входящих в расчетную область i-го сценария пожара, определяется по формуле (5). Для помещений, не входящих в расчетную область (помещения, в которых отсутствуют ОФП, при реализации i-го сценария пожара), вероятность эвакуации по эвакуационным путям PЭ.Пik принимается равной 0,999.
- Приложение N 1. Частоты реализации кластеров сценариев
- Приложение N 2. Определение расчетного времени эвакуации людей (tp) из помещений и других частей сооружений метрополитена
- Приложение N 3. Определение времени начала эвакуации (tн.э.)
- Приложение N 4. Определение количества пассажиров на станции
- Приложение N 5. Оценка времени срабатывания системы пожарной сигнализации и автоматических установок пожаротушения
- Гражданский кодекс (ГК РФ)
- Жилищный кодекс (ЖК РФ)
- Налоговый кодекс (НК РФ)
- Трудовой кодекс (ТК РФ)
- Уголовный кодекс (УК РФ)
- Бюджетный кодекс (БК РФ)
- Арбитражный процессуальный кодекс
- Конституция РФ
- Земельный кодекс (ЗК РФ)
- Лесной кодекс (ЛК РФ)
- Семейный кодекс (СК РФ)
- Уголовно-исполнительный кодекс
- Уголовно-процессуальный кодекс
- Производственный календарь на 2025 год
- МРОТ 2026
- ФЗ «О банкротстве»
- О защите прав потребителей (ЗОЗПП)
- Об исполнительном производстве
- О персональных данных
- О налогах на имущество физических лиц
- О средствах массовой информации
- Производственный календарь на 2026 год
- Федеральный закон "О полиции" N 3-ФЗ
- Расходы организации ПБУ 10/99
- Минимальный размер оплаты труда (МРОТ)
- Календарь бухгалтера на 2026 год
- Частичная мобилизация: обзор новостей
- Постановление Правительства РФ N 1875
, (2)
, (5)
, (8)
, (9)