7.1. В случае, если методика измерений или руководство по эксплуатации средства измерений показателя радиационной безопасности не описывают процедуру оценки неопределенности измерений, она выполняется в соответствии с пп. 7.2 - 7.7 на основе общих принципов оценки неопределенности <73>. Данную процедуру также рекомендуется использовать при оценке неопределенности измерений показателей радиационной безопасности при радиационном контроле зданий и сооружений в соответствии с методическими документами <74>.
--------------------------------
<73> ГОСТ 34100.3-2017.
<74> МР 2.6.1.0333-23.
7.2. Расчет суммарной стандартной относительной неопределенности uC для однократного измерения производится по формуле (7):
где: X, ед. изм. - результат измерения (например, отображаемый на экране средства измерений);
, ед. изм. - погрешность результата измерения (например, отображаемая на экране средства измерений);
, % - пределы допускаемых дополнительных относительных погрешностей согласно эксплуатационной документации на средство измерений.
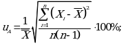
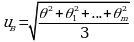
7.3. Для многократных измерений отдельно оценивается стандартная относительная неопределенность по типу A uA (обусловленная источниками неопределенности, имеющими случайный характер) по формуле (8) и стандартная относительная неопределенность по типу B uB (обусловленная неисключенными остатками систематических погрешностей) по формуле (9):
где: Xi, ед. изм. - i-тый результат измерения (например, отображаемый на экране средства измерений);
, ед. изм. - среднее арифметическое значение из n результатов измерений, рассчитываемое по формуле (10):
, % - предел допускаемой основной относительной погрешности согласно эксплуатационной документации на средство измерений.
Расчет суммарной стандартной относительной неопределенности uC для многократных измерений производится по формуле (11):
7.4. Если метрологическая характеристика "неопределенность измерений нуля U0" <75> в эксплуатационной документации на средство измерений не представлена, то суммарная стандартная относительная неопределенность uC измерений в случае, когда результат измерения не превысил нижней границы диапазона измерений (которая принимается за X), оценивается как стандартная относительная неопределенность по типу B uB по формуле (9).
--------------------------------
<75> Пункт 7.19 РМГ 29-2013.
7.5. Расширенная относительная неопределенность
для коэффициента охвата k 2 (Р 95%) рассчитывается по формуле (12):
7.6. Абсолютная расширенная неопределенность U рассчитывается по формуле (13) для однократных измерений и по формуле (14) для многократных измерений:
7.7. Указывать результат измерения в виде X
U (или
для многократных измерений) некорректно, т.к. неопределенность измерений характеризует рассеяние множества возможных значений результатов измерений в рассматриваемой измерительной ситуации, но не погрешность конкретного результата измерения <76>.
--------------------------------
<76> Пункт А.2.3 РМГ 91-2019 "Государственная система обеспечения единства измерений. Использование понятий "Погрешность измерения" и "Неопределенность измерений". Общие принципы", введенных в действие приказом Росстандарта от 30.10.2019 N 1058-ст.
7.8. Для представления в отчетах <77> результата измерения X (или
) и абсолютной расширенной неопределенности измерений U рекомендуется использовать табличную форму.
--------------------------------
<77> Подпункты 7.8.1 - 7.8.3 ГОСТ ISO/IEC 17025-2019 "Общие требования к компетентности испытательных и калибровочных лабораторий", введенного в действие приказом Росстандарта от 15.07.2019 N 385-ст.
- Гражданский кодекс (ГК РФ)
- Жилищный кодекс (ЖК РФ)
- Налоговый кодекс (НК РФ)
- Трудовой кодекс (ТК РФ)
- Уголовный кодекс (УК РФ)
- Бюджетный кодекс (БК РФ)
- Арбитражный процессуальный кодекс
- Конституция РФ
- Земельный кодекс (ЗК РФ)
- Лесной кодекс (ЛК РФ)
- Семейный кодекс (СК РФ)
- Уголовно-исполнительный кодекс
- Уголовно-процессуальный кодекс
- Производственный календарь на 2025 год
- МРОТ 2026
- ФЗ «О банкротстве»
- О защите прав потребителей (ЗОЗПП)
- Об исполнительном производстве
- О персональных данных
- О налогах на имущество физических лиц
- О средствах массовой информации
- Производственный календарь на 2026 год
- Федеральный закон "О полиции" N 3-ФЗ
- Расходы организации ПБУ 10/99
- Минимальный размер оплаты труда (МРОТ)
- Календарь бухгалтера на 2026 год
- Частичная мобилизация: обзор новостей
- Постановление Правительства РФ N 1875
, %,
, %,
, ед. изм.;
, %
, %
, ед. изм.;
, ед. изм.