3.3.1. Численность внешних совместителей
178. В подразделе приводятся данные о численности внешних совместителей. Данные приводятся по состоянию на 1 октября текущего года.
Внешние совместители - лица, принятые на работу по совместительству из других организаций.
179. В графе 3 по строкам 01 - 32 указывается численность внешних совместителей.
По графам 4 - 11 (из графы 3) численность внешних совместителей распределяется по уровню образования. В графе 4 указываются лица, имеющие высшее образование.
180. Из графы 4 выделяются:
лица, имеющие ученую степень (графы 5 - 6). Если кандидат наук имеет степень PhD, то данные о нем должны учитываться по графам 6 и 7. PhD - ученая степень, присуждаемая в английской и немецкой системах образования.
лица, имеющие ученое звание (графы 8 - 9). При этом если сотрудник имеет ученую степень и ученое звание, то он включается в графу 5 или графу 6, а также в графу 8 или графу 9.
181. В графе 10 указываются лица, имеющие среднее профессиональное образование, обученные по программам подготовки специалистов среднего звена, в графе 11 - лица, имеющие среднее профессиональное образование, обученные по программам подготовки квалифицированных рабочих, служащих.
Данные графы 3 могут быть больше суммы данных граф 4, 10, 11 (за счет лиц, имеющих другое образование), либо равны сумме данных граф 4, 10 - 11.
Из общей численности работников (графы 3) выделяется численность женщин (графа 12).
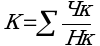
182. В графе 13 показывается численность работников в единицах эквивалента полной занятости по основной занимаемой должности.
Условный расчет численности работников, принятых на работу на неполное рабочее время, в пересчете на полную занятость осуществляется исходя из количества часов, которые имеет работник к установленному количеству часов работников с полной нагрузкой:
Ч - нагрузка (часов) в учебном году, которую имеет работник;
Н - законодательно установленные рабочие часы, которые штатный сотрудник должен отработать в течение учебного года.
Упрощенный пример расчета исходя из законодательно установленных часов - 350 час.:
В организации 5 сотрудников в учебном году имеют нагрузку 175 часов каждый, 3 работника - 150 часов. Численность работников в единицах эквивалента полной занятости составит:
К = 5 * (175 / 350) + 3 * (150 / 350) = 2.5 + 1.6 = 4.1
Работники, принятые на ставки 0.25, 0.5 или 0.75, предусмотренные штатным расписанием, учитываются как целые единицы.
183. По строке 01 отражается общая численность работников организации, а затем по строкам 02 - 20 распределяется по отдельным категориям персонала и занимаемым должностям. Данные строки 01 должны быть равны сумме данных строк 02, 03, 15 - 20.
184. По строке 21 из строки 01 выделяется численность специалистов по информационно-коммуникационным технологиям (ИКТ), а далее по строкам 22 - 31 распределяется по профессиональным группам занятий. Данные строки 21 равны сумме строк 22 - 31. Отнесение работников к специалистам ИКТ подробно изложено в указаниях к подразделу 3.1.
185. По строке 32 из строки 05 выделяется численность работников предприятий и организаций различных видов экономической деятельности (за исключением образовательных организаций), осуществляющих преподавательскую деятельность по реализации образовательных программ высшего образования - программ бакалавриата, программ специалитета, программ магистратуры на условиях внешнего совместительства.
186. Справка 12. В справке из общей численности профессорско-преподавательского состава (из строки 04 графы 3) отражается информация о численности педагогических работников, преподающих дисциплины иностранного языка, физической культуры и военной подготовки, которые не определяют направленность (профиль) образовательной программы (строка 33). В случае, если педагогический работник одновременно осуществляет преподавание указанных дисциплин по нескольким образовательным программам и при этом для одних образовательных программ эти дисциплины определяют направленность (профиль), а для других - нет, то в данной строке такой работник не учитывается.
- Гражданский кодекс (ГК РФ)
- Жилищный кодекс (ЖК РФ)
- Налоговый кодекс (НК РФ)
- Трудовой кодекс (ТК РФ)
- Уголовный кодекс (УК РФ)
- Бюджетный кодекс (БК РФ)
- Арбитражный процессуальный кодекс
- Конституция РФ
- Земельный кодекс (ЗК РФ)
- Лесной кодекс (ЛК РФ)
- Семейный кодекс (СК РФ)
- Уголовно-исполнительный кодекс
- Уголовно-процессуальный кодекс
- Производственный календарь на 2025 год
- МРОТ 2026
- ФЗ «О банкротстве»
- О защите прав потребителей (ЗОЗПП)
- Об исполнительном производстве
- О персональных данных
- О налогах на имущество физических лиц
- О средствах массовой информации
- Производственный календарь на 2026 год
- Федеральный закон "О полиции" N 3-ФЗ
- Расходы организации ПБУ 10/99
- Минимальный размер оплаты труда (МРОТ)
- Календарь бухгалтера на 2026 год
- Частичная мобилизация: обзор новостей
- Постановление Правительства РФ N 1875
, где