к приказу Министерства науки
и высшего образования
Российской Федерации
от 18 апреля 2023 г. N 409
Соответствие качества образования в организации, осуществляющей образовательную деятельность, установленным аккредитационным показателям по образовательным программам высшего образования определяется по значению итогового балла, которое определяется суммарным количеством баллов, установленных по каждому аккредитационному показателю.
Суммарное количество баллов (АПс), рассчитывается по формуле:
АПс = АП1 / АП1.1 + АП2 + АП3 + АП4 + АП5 + АП6.
Минимальное значение итогового балла составляет 90 баллов.
|
Средний балл ЕГЭ обучающихся, принятых по его результатам на обучение по образовательным программам высшего образования - программам бакалавриата и специалитета, (не применяется для образовательных программ высшего образования - программ магистратуры, ординатуры, ассистентуры-стажировки) - АП1 |
Показатель АП1 рассчитывается по каждой образовательной программе (профилю/специальности или специализации (при наличии). Показатель АП1 не применяется для образовательных программ высшего образования - программ магистратуры, ординатуры, ассистентуры-стажировки. Показатель АП1 рассчитывается как отношение суммарного значения баллов ЕГЭ обучающихся, зачисленных на обучение за счет средств соответствующих бюджетов бюджетной системы Российской Федерации, и (или) баллов ЕГЭ обучающихся, зачисленных с оплатой стоимости обучения физическими и (или) юридическими лицами, к общему количеству зачисленных и к количеству учебных предметов ЕГЭ, учитываемых при вступительных испытаниях. Расчет показателя АП1 производится в отношении старшего курса очной формы обучения (при отсутствии очной - очно-заочной, при отсутствии очно-заочной - заочной). При расчете показателя АП1 используются данные по обучающимся на старшем для соответствующей образовательной программы высшего образования курсе обучения в году проведения государственной аккредитации образовательной деятельности. Показатель АП1 рассчитывается по формуле: |
|
|
n - численность обучающихся, зачисленных на обучение за счет средств соответствующих бюджетов бюджетной системы Российской Федерации; k - численность обучающихся, зачисленных с оплатой стоимости обучения физическими и юридическими лицами; Nпредметов - количество учебных предметов ЕГЭ, учитываемых при вступительных испытаниях. Лица, зачисленные без вступительных испытаний, приравниваются к абитуриентам, имеющим средний балл ЕГЭ, равный 100 баллам. При расчете среднего балла ЕГЭ не учитываются баллы за индивидуальные достижения абитуриентов, а также баллы: зачисленных на обучение в пределах установленной квоты, в том числе квоты приема на целевое обучение или отдельной квоты; зачисленных на обучение по результатам вступительных испытаний, проводимых организацией, осуществляющей образовательную деятельность, самостоятельно. Полученное при расчете дробное значение показателя округляется до целого числа. Установленное при расчете показателя АП1 значение сопоставляется с критериальным значением и определяется количество баллов по данному показателю. Отчетный период: информация по показателю АП1 используется за год приема обучающихся, являющихся старшим курсом для соответствующей образовательной программы высшего образования в году проведения государственной аккредитации образовательной деятельности. Источник данных, необходимых для расчета показателя АП1, - федеральная информационная система обеспечения проведения государственной итоговой аттестации обучающихся, освоивших основные образовательные программы основного общего и среднего общего образования, и приема граждан в образовательные организации для получения среднего профессионального и высшего образования и региональных информационных систем обеспечения проведения государственной итоговой аттестации обучающихся, освоивших основные образовательные программы основного общего и среднего общего образования <1> (далее - информационная система ГИА) |
||
|
Средний балл вступительных испытаний (ЕГЭ и дополнительные вступительные испытания (далее - ДВИ) обучающихся, принятых по их результатам на обучение по образовательным программам высшего образования - программам бакалавриата и специалитета, (применяется только для тех образовательных программ высшего образования, правилами приема на которые предусмотрены ДВИ) - АП1.1 |
Показатель АП1.1 рассчитывается по каждой образовательной программе (профилю/специальности). Показатель АП1.1 применяется только для тех образовательных программ высшего образования - программам бакалавриата или специалитета, правилами приема на которые предусмотрены ДВИ. Расчет показателя АП1.1 производится в отношении старшего курса очной формы обучения (при отсутствии очной - очно-заочной, при отсутствии очно-заочной - заочной). При расчете показателя АП1.1 используются данные по обучающимся на старшем для соответствующей образовательной программы высшего образования курсе обучения в году проведения государственной аккредитации образовательной деятельности. Показатель АП1.1 рассчитывается как среднеарифметическое значение суммы среднего балла ЕГЭ и среднего балла ДВИ, предусмотренных правилами приема, обучающихся, зачисленных на обучение за счет средств соответствующих бюджетов бюджетной системы Российской Федерации, и (или) с оплатой стоимости обучения физическими и (или) юридическими лицами. При расчете показателя АП1.1 учитываются результаты, полученные с применением 100-балльной системы оценивания ДВИ, в ином случае не учитываются. Показатель рассчитывается по формуле: |
|
|
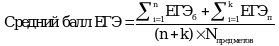
Средний балл ЕГЭ рассчитывается как отношение суммарного значения баллов ЕГЭ обучающихся, зачисленных на обучение за счет средств соответствующих бюджетов бюджетной системы Российской Федерации, и (или) баллов ЕГЭ обучающихся, зачисленных с оплатой стоимости обучения физическими и (или) юридическими лицами, к общему количеству зачисленных и к количеству учебных предметов ЕГЭ, учитываемых при вступительных испытаниях. Лица, зачисленные без вступительных испытаний, приравниваются к абитуриентам, имеющим средний балл ЕГЭ, равный 100 баллам. При расчете среднего балла ЕГЭ не учитываются баллы за индивидуальные достижения абитуриентов, а также баллы: зачисленных на обучение в пределах установленной квоты, в том числе квоты приема на целевое обучение или отдельной квоты; зачисленных на обучение по результатам вступительных испытаний, проводимых организацией, осуществляющей образовательную деятельность, самостоятельно. Полученное при расчете дробное значение показателя АП1.1 округляется до целого числа. Средний балл ЕГЭ рассчитывается по формуле: |
||
|
n - численность обучающихся, зачисленных на обучение за счет средств соответствующих бюджетов бюджетной системы Российской Федерации; k - численность обучающихся, зачисленных с оплатой стоимости обучения физическими и (или) юридическими лицами; Nпредметов - количество учебных предметов ЕГЭ, учитываемых при вступительных испытаниях. Средний балл ДВИ рассчитывается как отношение суммы суммарного значения баллов ДВИ обучающихся, зачисленных на обучение за счет средств соответствующих бюджетов бюджетной системы Российской Федерации, (за исключением лиц, принятых в рамках установленной квоты, в том числе квоты приема на целевое обучение и отдельной квоты) и суммарного значения ДВИ обучающихся, зачисленных с оплатой стоимости обучения физическими и (или) юридическими лицами, к общему количеству зачисленных и к количеству ДВИ. Средний балл ДВИ рассчитывается по формуле: |
||
|
(за исключением лиц, принятых в рамках установленной квоты, в том числе квоты приема на целевое обучение и отдельной квоты);
n - численность обучающихся, зачисленных на обучение за счет средств соответствующих бюджетов бюджетной системы Российской Федерации (за исключением лиц, принятых в рамках установленной квоты, в том числе квоты приема на целевое обучение и отдельной квоты); k - численность обучающихся, зачисленных с оплатой стоимости обучения физическими и (или) юридическими лицами; N - количество ДВИ. Полученное при расчете дробное значение показателя АП1.1 округляется до целого числа. Установленное при расчете показателя АП1.1 значение сопоставляется с критериальным значением и определяется количество баллов по данному показателю. Отчетный период: информация по показателю АП1.1 используется за год приема обучающихся, являющихся старшим курсом для соответствующей образовательной программы высшего образования в году проведения государственной аккредитации образовательной деятельности. Источник данных, необходимых для расчета показателя АП1.1, - информационная система ГИА |
||
|
Наличие электронной информационно-образовательной среды - АП2 |
Значение показателя АП2 "имеется" устанавливается, если организация, осуществляющая образовательную деятельность, подтвердила наличие не менее четырех из следующих компонентов: 1) информация, подтверждающая наличие доступа к информационно-телекоммуникационной сети "Интернет" (далее - сеть "Интернет"); 2) локальный нормативный акт об электронной информационно-образовательной среде; 3) наличие доступа к электронной библиотечной системе; 4) наличие доступа к электронным образовательным ресурсам и (или) профессиональным базам данных (подборкам информационных ресурсов по тематикам) в соответствии с содержанием реализуемой образовательной программы; 5) наличие возможности взаимодействия педагогических работников с обучающимися (личные кабинеты обучающихся и преподавателей) в электронной информационно-образовательной среде; 6) доступ к электронному расписанию (под электронным расписанием понимается сервис, с помощью которого каждый обучающийся может узнать свое актуальное расписание занятий и сессии); 7) наличие возможности формирования электронного портфолио обучающегося, в том числе сохранения его работ и оценок за эти работы; 8) наличие доступа к учебным планам, рабочим программам дисциплин (модулей), программам практик, электронным учебным изданиям и электронным образовательным ресурсам, указанным в рабочих программах дисциплин (модулей), программах практик по образовательной программе. Наличие доступа к сети "Интернет" подтверждается соответствующими договором или актами выполненных работ. Доступ к указанным элементам электронной информационно-образовательной среды подтверждается ссылками на соответствующие разделы официального сайта организации, осуществляющей образовательную деятельность, функционирующими в период проведения государственной аккредитации образовательной деятельности. Полученное при расчете показателя АП2 значение сопоставляется с критериальным значением и устанавливается количество баллов по данному показателю. Отчетный период: предоставляется информация, актуальная в период проведения государственной аккредитации образовательной деятельности. Источник информации, необходимой для расчета АП2, - сведения, размещенные на официальном сайте организации, осуществляющей образовательную деятельность, в сети "Интернет", доступ к которому осуществляется по ссылке на страницу организации, осуществляющей образовательную деятельность, в сети "Интернет", указанной в прилагаемых к заявлению о проведении государственной аккредитации образовательной деятельности документах |
|
|
Доля научно-педагогических работников, имеющих ученую степень и (или) ученое звание (в том числе богословские ученые степени и звания), и (или) лиц, приравненных к ним, в общем числе работников, реализующих образовательную программу высшего образования, - АП3 |
Показатель АП3 рассчитывается как отношение количества ставок, занимаемых научно-педагогическими работниками в количестве ставок, занимаемых научно-педагогическими работниками с ученой степенью и (или) ученым званием (в том числе богословскими учеными степенями и званиями) и лицами, приравненными к ним, участвующими в реализации учебного плана образовательной программы высшего образования, к общему количеству ставок, занимаемых научно-педагогическими работниками, участвующими в реализации образовательной программы высшего образования, умноженное на 100. К научно-педагогическим работникам с ученой степенью и (или) ученым званием (в том числе богословскими учеными степенями и званиями) приравниваются лица, имеющие награды, международные почетные звания или премии, в том числе полученные в иностранном государстве и признанные в Российской Федерации, и (или) государственные почетные звания в соответствующей профессиональной сфере, и (или) являющиеся лауреатами государственных премий в соответствующей профессиональной сфере и приравненными к ним членами творческих союзов, лауреатами, победителями и призерами творческих конкурсов, литературных премий, имеющие спортивные звания "Мастер спорта России", "Мастер спорта СССР", "Гроссмейстер России", "Гроссмейстер СССР", "Мастер спорта России международного класса", "Мастер спорта СССР международного класса", Почетные спортивные звания "Заслуженный мастер спорта России", "Заслуженный мастер спорта СССР", "Заслуженный тренер России", "Заслуженный тренер СССР", "Почетный спортивный судья России", Почетные звания "Заслуженный работник физической культуры и спорта Российской Федерации", "Заслуженный работник физической культуры и спорта РСФСР", а также являющиеся лауреатами государственных премий в сфере физической культуры и спорта. Показатель АП3 рассчитывается по формуле: |
|
|
a - количество ставок, занимаемых научно-педагогическими работниками с ученой степенью и (или) ученым званием (в том числе богословскими учеными степенями и званиями) и лицами, приравненными к ним, участвующими в реализации образовательной программы высшего образования, в том числе внешними совместителями, а также количество ставок, эквивалентное нагрузке, осуществляемой лицами, работающими по договорам гражданско-правового характера; b - общее количество ставок, занимаемых лицами, участвующими в реализации образовательной программы высшего образования. Расчет показателя АП3 производится в отношении старшего курса очной формы обучения (при отсутствии очной - очно-заочной, при отсутствии очно-заочной - заочной) за период реализации образовательной программы. При расчете показателя АП3 используются данные по обучающимся на старшем для соответствующей образовательной программы высшего образования курсе обучения в году проведения государственной аккредитации образовательной деятельности. При расчете показателя АП3 используются сведения о научно-педагогических работниках, задействованных в реализации соответствующей образовательной программы высшего образования в текущем учебном году, в котором проводится государственная аккредитация образовательной деятельности, на старшем курсе, обучающемся в организации, осуществляющей образовательную деятельность, по данной программе по очной форме обучения (при отсутствии очной - очно-заочной, при отсутствии очно-заочной - заочной). Установленное при расчете показателя АП3 значение сопоставляется с критериальным значением и определяется количество баллов по данному показателю. Отчетный период: информация по показателю АП3 предоставляется в соответствии с информацией, размещенной организацией, осуществляющей образовательную деятельность, на официальном сайте в сети "Интернет" в год проведения государственной аккредитации образовательной деятельности. Источник данных, необходимых для расчета показателя АП3, - информация, предоставленная организацией, осуществляющей образовательную деятельность |
||
|
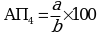
Доля работников из числа руководителей и (или) работников организаций, деятельность которых связана с направленностью (профилем) реализуемой образовательной программы (имеющих стаж работы в данной профессиональной области), в общем числе лиц, реализующих образовательную программу высшего образования, - АП4 |
Показатель АП4 рассчитывается как отношение количества ставок, занимаемых работниками из числа руководителей и (или) работников организаций и (или) образовательных организаций, деятельность которых связана с направленностью (профилем) реализуемой образовательной программы высшего образования (имеющих стаж работы в данной профессиональной области), участвующими в реализации учебного плана образовательной программы высшего образования, к общему количеству ставок, занимаемых работниками, участвующими в реализации образовательной программы высшего образования, умноженное на 100. Показатель АП4 рассчитывается по формуле: |
|
|
a - количество ставок, занимаемых работниками из числа руководителей и (или) работников организаций, деятельность которых связана с направленностью (профилем) реализуемой образовательной программы высшего образования (имеющих стаж работы в данной профессиональной области), участвующими в реализации образовательной программы высшего образования, в том числе внешними совместителями, а также количество ставок, эквивалентное нагрузке, осуществляемой лицами, работающими по договорам гражданско-правового характера; b - общее количество ставок, занимаемых лицами, участвующими в реализации образовательной программы высшего образования. Расчет показателя АП4 производится в отношении очной формы обучения (при отсутствии очной - очно-заочной, при отсутствии очно-заочной - заочной) за период реализации образовательной программы. При расчете показателя АП4 используются сведения о работниках, задействованных в реализации образовательной программы высшего образования в текущем учебном году на старшем курсе, обучающемся в организации, осуществляющей образовательную деятельность, по соответствующей образовательной программе высшего образования по очной форме обучения (при отсутствии очной - очно-заочной, при отсутствии очно-заочной - заочной). Установленное при расчете показателя АП4 значение сопоставляется с критериальным значением и определяется количество баллов по данному показателю. Отчетный период: информация по показателю АП4 предоставляется в соответствии с информацией, размещенной организацией, осуществляющей образовательную деятельность, на официальном сайте в сети "Интернет" в год проведения государственной аккредитации образовательной деятельности. Источник информации, необходимой для расчета показателя АП4, - информация, предоставленная организацией, осуществляющей образовательную деятельность |
||
|
Доля обучающихся, выполнивших 70% и более заданий диагностической работы, сформированной из фонда оценочных средств организации, осуществляющей образовательную деятельность, по соответствующей образовательной программе высшего образования, в общем количестве обучающих, выполнявших диагностическую работу, - АП5 |
Показатель АП5 рассчитывается как отношение количества обучающихся, выполнивших 70% и более заданий диагностической работы к общему количеству обучающих, выполнявших диагностическую работу, умноженное на 100. Показатель АП5 рассчитывается по формуле: |
|
|
a - количество обучающихся, выполнивших 70% и более заданий диагностической работы; b - общее количество обучающихся, выполнявших диагностическую работу. Значение показателя АП5 устанавливается по результатам выполненной обучающимися диагностической работы. Полученное при расчете дробное значение показателя АП5 округляется до целого числа. Для применения показателя АП5 установленное при расчете АП5 значение сопоставляется с критериальным значением и определяется количество баллов по данному показателю. Результаты показателя АП5 учитываются также при проведении федерального государственного контроля (надзора) в сфере образования. Диагностическая работа, целью которой является определение уровня достижения результатов обучения и (или) освоения образовательной программы высшего образования, установленных образовательной программой по соответствующему направлению подготовки или специальности, формируется из фонда оценочных средств организации, осуществляющей образовательную деятельность. Оценочные средства, разработанные организацией, осуществляющей образовательную деятельность, должны обеспечивать надежную и интегративную (комплексную) оценку результатов обучения и (или) освоения образовательной программы высшего образования и отвечать следующим требованиям: соответствие целям и задачам образовательной программы высшего образования, содержанию изучаемых дисциплин (модулей), научно-исследовательской работы, практик; соответствие оценочных средств проверяемому элементу содержания и результатов освоения образовательной программы; использование актуальных редакций понятий, терминов, определений, соответствующих законодательству в определенной сфере общественных отношений, отраслевым регламентам, национальным стандартам. Для формирования диагностической работы оценочные средства предоставляются экспертной группе или лицу, уполномоченному на проведение контрольного (надзорного) мероприятия, организацией, осуществляющей образовательную деятельность, в электронном виде, доступном для редактирования, с приложением "ключей" к заданиям. Количество и состав заданий из фонда оценочных средств организации, осуществляющей образовательную деятельность, должны позволять сформировать не менее двух вариантов заданий для проведения диагностической работы. Задания должны предоставлять возможность для оценивания сформированной индикаторов достижения компетенций в виде действий и (или) знаний, умений, навыков. Диагностическая работа проводится в отношении старшего курса обучения соответствующей образовательной программы высшего образования по каждой реализуемой форме обучения образовательной программы высшего образования. Выбор компетенций, оцениваемых в ходе диагностической работы, осуществляется следующим образом: при наличии (полностью или частично) освоенных обучающимися профессиональных компетенций выбираются до пяти профессиональных компетенций, при этом приоритет отдается профессиональным компетенциям, освоенным в полном объеме; при отсутствии (полностью или частично) освоенных обучающимися профессиональных компетенций выбирается до пяти (полностью или частично) освоенных общепрофессиональных компетенций, при этом приоритет отдается общепрофессиональным компетенциям, освоенным в полном объеме; при отсутствии (полностью или частично) освоенных обучающими общепрофессиональных компетенций осуществляется выбор до пяти (полностью или частично) освоенных универсальных (общекультурных) компетенций, при этом приоритет отдается универсальным (общекультурным) компетенциям, освоенным в полном объеме. |
||
|
Продолжительность выполнения обучающимися диагностической работы не может превышать двух академических часов. В случае участия в выполнении заданий диагностической работы обучающихся с ограниченными возможностями здоровья (далее - обучающиеся с ОВЗ) продолжительность выполнения диагностической работы такими обучающимися может быть увеличена не более чем на один академический час. Численность обучающихся, участвующих в выполнении диагностической работы, должна составлять не менее 70% обучающихся, осваивающих соответствующую образовательную программу высшего образования, от списочного состава академических групп по каждой реализуемой форме обучения образовательной программы высшего образования. Допуск обучающихся, участвующих в выполнении диагностической работы, в аудиторию осуществляется в соответствии с документом, удостоверяющим личность обучающегося. Представитель экспертной группы или лицо, уполномоченное на проведение контрольного (надзорного) мероприятия, обязаны обеспечить идентификацию личности обучающегося в целях установления соответствия его личности и лица, указанного в заявленном списочном составе академических групп, участвующих в выполнении диагностической работы. Обучающиеся с ОВЗ, участвующие в выполнении диагностической работы, наравне с документом, удостоверяющим личность, предъявляют оригиналы или заверенные организацией, осуществляющей образовательную деятельность, копии подтверждающих медицинских документов. Диагностическая работа может проводиться с применением дистанционных образовательных технологий посредством информационной системы Федеральной службы по надзору в сфере образования и науки. В случае проведения диагностической работы посредством информационной системы Федеральной службы по надзору в сфере образования и науки руководитель экспертной или лицо, уполномоченное на проведение контрольного (надзорного) мероприятия, группы в присутствии технического специалиста организации, осуществляющей образовательную деятельность, осуществляют проверку аудитории на предмет наличия компьютеров в рабочем состоянии, обеспечения доступа к сети "Интернет", а также функционирования средств видеонаблюдения. В ходе выполнений диагностической работы обучающимся запрещается разговаривать друг с другом, пользоваться справочной литературой, иными носителями информации, а также техникой, способной принимать и передавать информацию. При проведении диагностической работы организация, осуществляющая образовательную деятельность, обеспечивает осуществление ее видеозаписи. После завершения диагностической работы указанная видеозапись передается руководителю экспертной группы или лицу, уполномоченному на проведение контрольного (надзорного) мероприятия, не позднее дня завершения диагностической работы. Федеральной службой по надзору в сфере образования и науки обеспечивается хранение видеозаписи в течение календарного года с даты проведения диагностической работы. |
||
|
предоставляется актуальная информация. Источник данных, необходимых для расчета показателя АП5, - результаты диагностической работы |
||
|
Наличие внутренней системы оценки качества образования - АП6 |
Значение показателя АП6 "имеется" устанавливается, если на официальном сайте организации, осуществляющей образовательную деятельность, в сети "Интернет" представлены: 1) локальный нормативный акт о внутренней системе оценки качества образования; 2) отчет о самообследовании, включающий информацию о: результатах опросов педагогических и научных работников организации, осуществляющей образовательную деятельность, об удовлетворенности условиями и организацией образовательной деятельности в рамках реализации образовательной программы высшего образования; результатах опросов обучающихся организации, осуществляющей образовательную деятельность, об удовлетворенности условиями, содержанием, организацией и качеством образовательного процесса в целом и отдельных дисциплин (модулей) и практик. Наличие указанных элементов внутренней системы оценки качества образования подтверждается ссылками на соответствующие разделы официального сайта организации, осуществляющей образовательную деятельность, в сети "Интернет". Информация по пункту 2 предоставляется по образовательной программе высшего образования. Полученное при расчете показателя АП6 значение сопоставляется с критериальным значением и устанавливается количество баллов по данному показателю. Результаты показателя АП6 учитываются также при проведении федерального государственного контроля (надзора) в сфере образования. информация по показателю предоставляется за текущий учебный год. Источники данных, необходимых для расчета показателя АП6: информация, размещенная на официальном сайте организации, осуществляющей образовательную деятельность, в сети "Интернет"; отчет о самообследовании организации, осуществляющей образовательную деятельность |
--------------------------------
<1> Постановление Правительства Российской Федерации от 29 ноября 2021 г. N 2085 "О федеральной информационной системе обеспечения проведения государственной итоговой аттестации обучающихся, освоивших основные образовательные программы основного общего и среднего общего образования, и приема граждан в образовательные организации для получения среднего профессионального и высшего образования и региональных информационных системах обеспечения проведения государственной итоговой аттестации обучающихся, освоивших основные образовательные программы основного общего и среднего общего образования".
- Гражданский кодекс (ГК РФ)
- Жилищный кодекс (ЖК РФ)
- Налоговый кодекс (НК РФ)
- Трудовой кодекс (ТК РФ)
- Уголовный кодекс (УК РФ)
- Бюджетный кодекс (БК РФ)
- Арбитражный процессуальный кодекс
- Конституция РФ
- Земельный кодекс (ЗК РФ)
- Лесной кодекс (ЛК РФ)
- Семейный кодекс (СК РФ)
- Уголовно-исполнительный кодекс
- Уголовно-процессуальный кодекс
- Производственный календарь на 2025 год
- МРОТ 2026
- ФЗ «О банкротстве»
- О защите прав потребителей (ЗОЗПП)
- Об исполнительном производстве
- О персональных данных
- О налогах на имущество физических лиц
- О средствах массовой информации
- Производственный календарь на 2026 год
- Федеральный закон "О полиции" N 3-ФЗ
- Расходы организации ПБУ 10/99
- Минимальный размер оплаты труда (МРОТ)
- Календарь бухгалтера на 2026 год
- Частичная мобилизация: обзор новостей
- Постановление Правительства РФ N 1875
,
- суммарное значение баллов ЕГЭ обучающихся, зачисленных за счет средств соответствующих бюджетов бюджетной системы Российской Федерации;
- суммарное значение баллов ЕГЭ обучающихся, зачисленных с оплатой стоимости обучения физическими и (или) юридическими лицами;
.
,
- суммарное значение баллов ЕГЭ обучающихся, зачисленных за счет средств соответствующих бюджетов бюджетной системы Российской Федерации;
- суммарное значение баллов ЕГЭ обучающихся, зачисленных с оплатой стоимости обучения физическими и (или) юридическими лицами;
,
- суммарное значение баллов ДВИ обучающихся, зачисленных на обучение за счет средств соответствующих бюджетов бюджетной системы Российской Федерации
- суммарное значение ДВИ обучающихся, зачисленных с оплатой стоимости обучения физическими и (или) юридическими лицами;
,
,
,