к Руководству по безопасности
"Методика оценки риска аварий на
опасных производственных объектах
магистрального трубопроводного
транспорта газа", утвержденному
приказом Федеральной службы по
экологическому, технологическому
и атомному надзору
от 22 декабря 2022 г. N 454
1. При расчетах теплового излучения в качестве основных сценариев горения газа при разрывах газопроводов, определяющих формы пламени пожара (формы факела), рекомендуется принимать:
а) горение невзаимодействующих настильных (слабо наклонных к горизонту) двух (или одной) струй газа, истекающих в сверхкритических режимах в противоположных направлениях из разведенных (относительно исходного положения) концов разрушенного газопровода (группа сценариев - "Струевое пламя");
б) горение газового шлейфа, образующегося при встречном газодинамическом взаимодействии двух потоков газа, истекающих со звуковой скоростью из концов поврежденного участка газопровода и с ориентацией интегрального, относительно низкоскоростного, потока, близкой к вертикальной (группа сценариев - "Пожар в котловане").
2. Расчет радиационного теплового воздействия (удельного теплового потока q(x, y)) на прилегающие к факелу объекты (в точках территории с координатами (x, y) проводится по формуле:
где: v - коэффициент поглощения излучения атмосферой;
Ef - интенсивность излучения с единицы поверхности пламени, кВт/м2, составляющая:
где: Sф - площадь излучающей поверхности, м2 (определяется как сумма площадей верхней и боковой поверхностей цилиндра/наклонного цилиндра/конуса, соответствующих поверхностям горения очага);
Qизл - поток теплового излучения, определяемый как часть общего тепловыделения факела (Qф), кВт/м2, при этом:
где
- коэффициент излучения в окружающее пространство, зависящий от динамики смешения газа с воздухом.
Коэффициент поглощения излучения атмосферой (в основном парами воды) определяется как:
где: r - расстояние от источника до облучаемого объекта, м;
a - коэффициент, зависящий от относительной влажности воздуха w%, определяется по таблице N 1.
Относительная влажность воздуха w определяется из метеорологических данных.
3. Угловой коэффициент облучения
является геометрической характеристикой, зависящей от взаимного расположения и формы поверхностей источника излучения и объекта. Угловой коэффициент облучения единичной площадки F2 от факела с видимой поверхностью F1 имеет следующий вид:
где: F1 - излучающая поверхность факела, видимая со стороны облучаемой площадки;
- угол между нормалью к поверхности факела F1 и направлением на облучаемую площадку F2;
- угол между нормалью к облучаемой площадке F2 и направлением на излучающую поверхность факела F1;
r - расстояние между поверхностью факела F1 и облучаемой площадкой F2.
Приближенное значение интеграла (5), т.е. значения
в конкретной точке территории с координатами (x, y), вычисляется численными методами при предварительном разбиении поверхности факела на элементарные площадки
(рисунок 1) по формуле:
где: fij - подынтегральная функция, вычисляемая для каждой элементарной площадки расположенной на поверхности факела по формуле:
Рис. 1. Схема (пример) аппроксимации усеченного конуса пламени факела усеченной пирамидой
При этом рекомендуется использовать аппроксимацию поверхности пламени следующими приближениями:
приближение лежащим полуцилиндром;
приближение прямым или наклонным цилиндром;
приближение усеченным конусом.
Рекомендуемые к использованию при расчете аналитические выражения коэффициента
для указанных форм факела при расчетах q(x, y) приведены в пунктах 4, 5 настоящего приложения.
4. Расчет геометрических размеров пламени и теплового излучения при горении газа по сценариям из группы "Пожар в котловане".
Для сценариев указанной группы пламя пожара моделируется в виде цилиндрического твердого теплового излучателя, вертикального или наклонного (рисунок 2)
Рис. 2. Схематическое представление пламени пожара на газопроводе при сценариях из группы "Пожар в котловане" в виде вертикального цилиндра
Геометрические параметры пламени (длина (высота) цилиндра пламени
, м, и эффективный диаметр очага пожара
, м) определяются путем решения следующей системы уравнений относительно переменных
и
:
где: Qф - общее тепловыделение пожара, кВт;
- низшая теплота сгорания метана, кДж/кг; G, кг/с - суммарный массовый расход газа при его аварийном истечении из двух кондов разрушенного газопровода на заданный момент времени
(отсчет времени - от момента разрушения газопровода) или его осредненное значение за заданный промежуток времени
.
Коэффициент излучения струевого пламени принимается
. Значение удельной интенсивности излучения пламени Ef при сценариях группы "Пожар в котловане" не может превышать 120 кВт/м2. Если расчеты по формуле (4) дают более высокие значения Ef, то для последующих оценок теплового излучения, воспринимаемого объектом-приемником, используют максимально возможное значение Ef = 120 кВт/м2.
Угловые коэффициенты облучения от пламени в общем случае в виде наклонного цилиндра (рисунок 3) для вертикальной
и горизонтальной
единичных площадок на поверхности грунта на удалении x в направлении по ветру и перпендикулярно направлению ветра от центра нижней поверхности цилиндра рассчитываются по формулам (9а, б, в, г).
Рис. 3. Модель излучателя в виде наклонного цилиндра
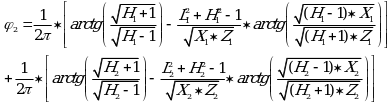
Формулы для угловых коэффициентов облучения от наклонного цилиндра в направлении ветра:
Формулы для излучения от наклонного цилиндра в направлении, перпендикулярном ветру:
,
, X = (H + 1)2 + L2, Z = (H - 1)2 + L2
где
- угол отклонения оси пламени (цилиндра) от вертикали под действием ветра, рассчитываемый по формуле:
где:
;
- средняя в пределах высоты пламени скорость ветра, м/с; m - массовая скорость поступления топлива в зону реакции с единицы поверхности очага горения, кг/м2·с;
- плотность паров топлива при температуре поверхности раздела фаз (можно принимать равной плотности газа при нормальных условиях), кг/м3; g - ускорение силы тяжести, м/с2; Dэф - эффективный (видимый) диаметр очага горения, м.
Для других углов расположения площадок (не по направлению ветра, как в формулах 9а - 9б, и не перпендикулярно ветру, как в формулах 9в - 9г) значения
и
рассчитываются численным интегрированием по формуле (5).
Значения
и
при
можно получить как частный случай общего решения.
Расчет величины
для различных значений
(с подветренной и наветренной стороны) и характерного отношения Lф / Dэф = 3 показан на рисунке 4.
Рис. 4. Угловой коэффициент облучения единичной площадки на уровне поверхности земли от наклонного цилиндра (Rэк = Dэф / 2)
В тех случаях, когда необходимо рассчитать тепловое воздействие пламени не на поверхность грунта, например, на стену или крышу здания, необходимо учитывать эффект оптического затенения. Для случая, показанного на рисунке 4, соответствующий коэффициент облучения для горизонтальных площадок крыши, например, для точки В, рассчитывается как:
Для вертикальных поверхностей стены (например, узла сопряжения с крышей):
Верхние индексы (+ и -) означают соответственно наклон пламени в сторону единичной площадки и от нее.
5. Расчет геометрических размеров пламени и теплового излучения при горении газа по сценариям из группы "Струевое пламя".
а) длина видимой части пламени
настильной (прилегающей к земле) струи увеличивается на 20 - 25% по сравнению с длиной свободного пламени;
б) на поздних стадиях горения концевая часть настильного факела
имеет выраженное отклонение вверх, сгорает в виде отдельных языков пламени (рисунок 5) и вносит относительно незначительный вклад в общее излучение тепла от факела в окружающее пространство;
в) начальный ("слабосветящийся") участок факела длиной
также оказывает незначительное влияние на характеристики теплового излучения;
г) для сценариев группы "Струевое пламя" факел моделируется как твердый тепловой излучатель в виде приподнятого или лежачего усеченного наклонного конуса (рисунок 6).
Рис. 5. Встречное струевое горение. Излучающая поверхность пламени представляется в виде конусов
Рис. 6. Схематическое представление струевого пламени при сценариях из группы "Струевое пламя" (показана одна струя)
Общая длина струи определяется по формуле (13) (с учетом заданной интенсивности истечения G1 (или G2)):
где
- диаметр аварийного газопровода;
Отрыв факела пламени от среза разорванной трубы (отверстия) h, м, определяется по формуле:
Длина видимой части пламени RL, м, определяется по формуле:
При моделировании струи в виде усеченного конуса ширина малого основания W1, м, определяется по формуле:
где
и
- плотности газа соответственно в ударной плоскости и в критическом сечении, рассчитанные по приложению 9 Руководства, кг/м3.
Ширина большого основания усеченного конуса W2, м, определяется по формуле:
При моделировании струи в виде цилиндра (на ранней стадии истечения) ширина основания W0, м, определяется по формуле:
Общая длина настильной струи (т.е. горизонтальной струи с источником выброса на уровне земли) рассчитывается по формуле:
Остальные геометрические размеры настильной струи рассчитываются по формулам (14) - (18).
Коэффициент излучения струевого пламени принимается
. Это консервативная оценка без учета процессов, ослабляющих излучение при интенсивных смешении с воздухом в струе.
При необходимости уточнения величины
рекомендуется использовать следующую формулу
, где uстр - скорость, достигаемая в струе после ее расширения до давления окружающей среды 1 атм. Величина uстр рассчитывается в соответствии с приложением N 9 Руководства.
Значение удельной интенсивности излучения пламени Ef при таком горении не может превышать 200 кВт/м2. Если расчеты по формуле (2) дают более высокие значения Еf, то для последующих оценок теплового излучения, воспринимаемого объектом-приемником, следует использовать максимально возможное значение Ef = 200 кВт/м2.
В общем случае угловые коэффициенты облучения от пламени при струйном горении рассчитываются численными методами. Исключение составляют факелы настильных струй на ранней стадии (аппроксимируются излучателями в виде лежачих полуцилиндров) и пламя вертикальной струи на поздних стадиях горения (аппроксимируется излучателем в виде усеченного вертикально стоящего конуса).
Угловой коэффициент
для одиночного настильного факела может быть рассчитан аналитически, если принять, что излучающая поверхность факела аппроксимируется боковой поверхностью полуцилиндра, лежащего на поверхности земли с характерной длиной
и диаметром
, где Lmax = 1,25Lф. При консервативных оценках длина полуцилиндра принимается равной 1,25Lф. В этом случае форма пламени имеет вид лежащего на земле полуцилиндра, который имеет три излучающие поверхности: две концевых поверхности, через которые проходит ось цилиндра, SС1 и SС2, и боковую поверхность S3 (рисунок 7). Вблизи места аварии размещаются два полуцилиндра, каждый из них аппроксимирует тепловое излучение от соответствующего пламени факела.
Рис. 7. Модель излучателя в виде двух полуцилиндров
Расчет угловых коэффициентов излучения проводится для точек поверхности земли, расположенных на лучах Л1...Л6 от боковой поверхности пламени, на лучах ЛС1 и ЛС2 от торцевых поверхностей цилиндра. Лучи Л1, Л3, Л4 и Л6 проводятся по нормали к оси цилиндра через боковую поверхность цилиндра, лучи Л2 и Л5 - по нормали к оси цилиндра на половине его длины. Лучи ЛС1 и ЛС2 проводятся по оси цилиндра в направлении от торцевых поверхностей, начало этих лучей лежит на торцевых поверхностях цилиндра.
Для лучей Л1...Л6 угловой коэффициент излучения от лежащего полуцилиндра для вертикально ориентированных площадок-приемников излучения
и для горизонтально расположенных площадок
, расположенных на поверхности грунта, рассчитывается по формулам:
где: Rэкв - эффективный радиус факела пламени, определяется по формуле
- расстояние по горизонтали от оси цилиндра до приемника излучения, м; Lф1 - длина полуцилиндра пламени с одной стороны от луча, проведенного по нормали к оси цилиндра, м; Lф2 - длина полуцилиндра пламени с другой стороны от луча, проведенного по нормали к оси цилиндра, м.
Для лучей ЛС1 и ЛС2 расчет угловых коэффициентов излучения при x > Rэкв проводится по формуле (полуокружность для точек, лежащих на оси):
В силу симметрии течения расчеты проводят только для точек, расположенных на лучах Л1, Л2 и ЛС1. Для луча Л1 Lф1 = 0 и Lф2 = 0.8 · LB. Для луча Л2 Lф1 = Lф2 = 0.4 · LB. Результаты, полученные для луча Л1 переносят на лучи Л3, Л4 и Л6; результаты для луча Л2 - на луч Л5; результаты для луча ЛС1 - на луч ЛС2.
На поверхности земли под нижней поверхностью полуцилиндра предполагается прямой огневой контакт с пламенем при тепловых нагрузках на поверхность объектов не менее 200 кВт/м2.
Расчет угловых коэффициентов от второго настильного факела и дальнейший расчет тепловых потоков в противоположном направлении от места разрыва газопровода строится аналогичным способом.
- Гражданский кодекс (ГК РФ)
- Жилищный кодекс (ЖК РФ)
- Налоговый кодекс (НК РФ)
- Трудовой кодекс (ТК РФ)
- Уголовный кодекс (УК РФ)
- Бюджетный кодекс (БК РФ)
- Арбитражный процессуальный кодекс
- Конституция РФ
- Земельный кодекс (ЗК РФ)
- Лесной кодекс (ЛК РФ)
- Семейный кодекс (СК РФ)
- Уголовно-исполнительный кодекс
- Уголовно-процессуальный кодекс
- Производственный календарь на 2025 год
- МРОТ 2025
- ФЗ «О банкротстве»
- О защите прав потребителей (ЗОЗПП)
- Об исполнительном производстве
- О персональных данных
- О налогах на имущество физических лиц
- О средствах массовой информации
- Производственный календарь на 2026 год
- Федеральный закон "О полиции" N 3-ФЗ
- Расходы организации ПБУ 10/99
- Минимальный размер оплаты труда (МРОТ)
- Календарь бухгалтера на 2025 год
- Частичная мобилизация: обзор новостей
- Постановление Правительства РФ N 1875
(1)
(2)
, (3)
, (5)
, (6)
(7)



,
(9а)
(9б)
(9в)
(9г)
, (10)
.
.

, (11)
. (12)
. (13)
, (14)
, (15)
. (16)
. (17)


,
,
,
;
,
,
, 
(19)